Changes in complex bioclimatic indicators in Crimea since the middle of the 20th century
- Authors: Stefanovich A.A.1,2, Voskresenskaya E.N.1,2
-
Affiliations:
- Institute of Natural and Technical Systems
- Sevastopol State University
- Issue: Vol 30, No 1 (2023)
- Pages: 65-77
- Section: ORIGINAL STUDY ARTICLES
- Submitted: 07.10.2022
- Accepted: 09.01.2023
- Published: 04.03.2023
- URL: https://hum-ecol.ru/1728-0869/article/view/111767
- DOI: https://doi.org/10.17816/humeco111767
- ID: 111767
Cite item
Full Text
Abstract
BACKGROUND: Observed global climate changes can significantly influence on the regional climate anomalies and recreational conditions over the Crimean peninsula.
AIM: To study the features of complex bioclimatic indicators changes on the territory of Crimea over a multidecadal period (~70 years), paying special attention to each month of the year, and on bases of obtained results to show the possible way of recreational activities development associated with these changes.
METHODS: For calculations, we used daily hydrometeorological data for each month from the archive of observations at the network of European weather stations E-OBS (v. 17.0) from 22 stations and NCEP/NCAR R1 reanalysis for the period of 1950–2018. The obtained arrays were verified in accordance with an open database of standard daily station observations in Crimea in 2005–2018. To assess the impact of climate change on the human body, the equivalent effective temperature, normal equivalent effective temperature, weight content of oxygen in the air (partial oxygen density) (ρO2), wet wind chill index Hill (Hw) and index Bodmann dry wind chiller (S) were calculated. The features of their linear trends for each month in the Crimean Peninsula were analysed.
RESULTS: Monthwise analyses of the bioclimatic indicator trends demonstrated an increase or decrease in recreational comfort in certain seasons. The most pronounced positive normal equivalent effective temperature trends over Crimea were observed from winter to spring. This indicated improved complex recreational conditions in recent decades and the possibility to extend the duration of the holiday season. The pO2, Hw and S indices had opposite tendencies throughout the year (except for December). According to the pO2 index, in the period from August to October, a physiological oxygen deficiency may be experienced throughout Crimea. Windy and uncomfortable bioclimatic conditions tend to increase in the steppes of Crimea in December.
CONCLUSION: The patterns of changes in bioclimatic indicators revealed through this study can be used as a regulatory factor for effectively organising and conducting recreational activities in the territory of Crimea and thus ensure the duration of the recreational period.
Full Text
ВВЕДЕНИЕ
В последние несколько десятилетий имеет место увеличение масштабов и темпов изменения климатических характеристик, неоднородность распределения сезонных аномалий во времени и пространстве, выраженная контрастность погоды. Многие исследователи отмечают потепление климата и на территории России [1–3]. Анализ данных многолетних наблюдений выявил некоторые особенности в Карелии [4], в Северо-Западном регионе России [5], в Азиатско-Тихоокеанском регионе [6–9]. Однако на фоне роста глобально-осреднённой температуры может наблюдаться и её снижение в отдельных регионах [10, 11]. Что касается Черноморского региона, незначительное повышение температуры отмечается с 1970-х гг. XX в. [12, 13].
Территория Крымского полуострова, несмотря на его относительно небольшие размеры, обладает разнообразием природно-климатических условий, что благоприятствует развитию рекреационной деятельности и климатотерапии. Для количественной оценки рекреационной способности территорий анализируют воздействие на человека комплекса гидрометеорологических параметров. При этом в качестве интегральной оценки воздействия обычно пользуются биоклиматическими индексами, разработанными разными авторами.
В России для оценки уровня биоклиматической комфортности в работах используют наиболее универсальные и доступные для разных регионов страны биометеорологические индексы: эффективная температура (ЭТ), эквивалентно-эффективная температура (ЭЭТ), радиационная эффективно-эквивалентная температура (РЭЭТ), индекс дискомфорта (индекс ID), индекс суровости (S), индекс изменчивости класса погоды момента (K), весовое содержание кислорода в воздухе (pO2) [14]. Часто также встречаются такие показатели, как сальдо теплового баланса тела человека (Qs); индекс патогенности погоды (I); комплексный показатель, определяющий тип и класс погоды момента (TP). Все они считаются информативными и активно применяются для комплексной оценки влияния погоды на здоровье.
Стоит отметить, что в основном работы по оценке рекреационных условий Крымского полуострова проводились для его приморских территорий. Есть отдельные исследования, посвящённые изменениям гидрометеопараметров на территории Крыма [15, 16], но оценок комплексных характеристик рекреационных условий, их динамики для приморских и других местностей Крымского полуострова за продолжительный период (более чем 50 лет) для каждого месяца года не проводилось.
Цель исследования. Изучить особенности изменения комплексных биоклиматических показателей на территории Крыма за многолетний период (около 70 лет), уделяя отдельное внимание каждому месяцу года, и на основе полученных результатов показать возможное влияние этих изменений на развитие рекреационной деятельности.
МАТЕРИАЛЫ И МЕТОДЫ
Доступные в настоящее время ежесуточные массивы станционных данных метеонаблюдений, которые необходимы для расчёта биоклиматических индексов, имеют многочисленные пропуски, а качественные ряды данных для большинства этих параметров начинаются лишь с 2005 года. В этой связи в работе применяли данные реанализа. Для расчёта использовали ежесуточные данные приземного реанализа NCEP/NCAR R1 с пространственным разрешением 2,5×2,5 за период 1950–2018 гг. и реконструированные данные наблюдений европейских метеостанций E-OBS (v. 17.0), приуроченные к узлам пространственной сетки 0,25×0,25 за тот же период.
Для нивелирования искажений применяемых баз данных проведено их уточнение с помощью доступных станционных наблюдений за 2005–2018 гг., информация о которых взята на информационном портале компании ООО «Расписание погоды» [17]. Для этого данные используемых массивов интерполировались в точки станций методом сплайновой поверхности типа «тонкая пластина». Далее для каждого метеопараметра в один и тот же синоптический срок были рассчитаны коэффициенты корреляции, среднеквадратические отклонения данных реанализа и станционных данных, а также отношение дисперсий рядов. На этой основе проводили корректировку данных реанализа. Процедуру уточнения выполняли для каждого месяца отдельно. Таким образом, с поправками для каждой станции были получены новые ряды.
Для характеристики биоклиматических изменений на территории Крымского полуострова в работе оцениваются биоклиматические показатели в 22 точках расположения метеорологических станций. Учитывая, что в среднем пространственное распределение метеостанций в центральной Европейской части России составляет 1 станция на 4,6 тыс. км2 [18], репрезентативности имеющейся сети в Крыму достаточно для того, чтобы дать характеристику практически для всей территории полуострова, за исключением Главной гряды Крымских гор и внутренних районов Тарханкутского и Керченского полуостровов (рис. 1). При этом следует обратить внимание на то, что территория Крымского полуострова характеризуется наличием трёх основных типов климата: степной, горный и южнобережный. Климат степного, равнинного Крыма на его большей части (север, запад и центр полуострова) — континентальный, а в районах городов Евпатории, Феодосии и Керчи — степной приморский. Континентальность климата снижается в Крымских горах и предгорье. Самый мягкий климат, имеющий черты субтропического или субсредиземноморского — на южном побережье Крыма. Климат на большей части территории Севастополя также относится к субтропическому. Соответственно, районы расположения метеостанций на территории Крыма по своим климатическим условиям неоднородны, что объясняется влиянием Крымских гор и омывающих полуостров Черного и Азовского морей. Горы выступают барьером, задерживающим приходящий холодный континентальный и арктический воздух, а моря служат регулятором тепла, смягчая климат побережья.
Рис. 1. Географическое положение района исследования и расположение метеостанций.
Ишунь — Yishun; Раздольное — Razdolnoye; Черноморское — Chernomorskoye; Евпатория — Yevpatoria; имферополь — Simferopol; Почтовое — Pochtovoye; Севастополь — Sevastopol; Ай-Петри — Ai-Petri; Ялта — Yalta; Никита — Nikita; Джанкой — Jankoy; Клепинино — Klepinino; Нижнегорский — Nyzhnegorskiy; Белогорск — Belogorsk; Ангарский перевал — Angarsk Pass; Алушта — Alushta; Владиславовка — Vladislavovka; Феодосия — Feodosia; Курортное — Kurortnoye; Мысовое — Mysovoye; Керчь — Kerch; Опасное — Opasnoye.
При выборе биоклиматических индексов для характеристики комфортности территорий учитывались их региональные особенности, эффективность показателей применительно к конкретным городам, а также наличие качественных метеорологических данных. Например, индекс сухого ветрового охлаждения (суровости) Бодмана (S) не будет показательным для Южного берега Крыма и Севастополя, так как для этих территорий характерен субсредиземноморский тип климата, а суровые погодные условия здесь наблюдаются нечасто. Зима обычно мягкая, непродолжительная, малоснежная, преимущественно с положительными температурами. Однако для местностей, расположенных в более северных широтах и не защищённых горами, индекс Бодмана вполне применим. Для преобладающего степного приморского типа климата северных районов Крыма в холодный период года характерны резкие понижения температуры воздуха и частая повторяемость сильных северо-восточных ветров. Период, когда северо-восточные ветры становятся максимально продолжительными и сильными, начинается с поздней осени и длится всю зиму. При этом температура воздуха обычно понижается на 8–10 ºC. Это намного ниже, чем при ветрах других направлений. Усиление охлаждающего эффекта происходит за счёт повышенной влажности воздуха, а также при вторжении арктического воздуха с материка (за счёт действия сильных северо-восточных ветров) — тогда на территории Крымского полуострова наступают периоды интенсивного похолодания. В первом случае весьма показательным будет расчёт индекса влажного ветрового охлаждения Хилла (Hw), во втором — индекс сухого ветрового охлаждения Бодмана. В работе В.В. Виноградовой [19] данные индексы рекомендованы как наиболее независимые по сравнению с другими для оценки суровости климата по результатам проведённого корреляционного анализа. Оценка их чувствительности к изменению входящих в расчётные формулы метеорологических величин показала, что оба индекса лучше других зависят от изменения температуры воздуха и скорости ветра, особенно при отрицательных и близких к нулю температурах, что очень важно для характеристики суровости климата в зимнее время и переходные сезоны [20]. Среди комфортных значений Hw выделяются три интервала: 31–50 мкал/см2·с (территория относится к относительно комфортной зоне); 11–30 мкал/см2·с (территория относится к умеренно комфортной); <10 мкал/см2·с (территория характеризуется комфортными условиями). При высоких дискомфортных значениях Hw (более 50 мкал/см2·с) он выступает в роли индикатора, ограничивающего пребывание человека на открытом воздухе и определяющего потребность в соответствующей одежде. Рассчитывают индекс по формуле [21]:
, (1)
где Hc=(0,13+υ0,5)(36,6–t); υ — скорость ветра, м/с; t — температура воздуха, °C; e — упругость водяного пара, гПа.
Индекс Hw обычно используют для биоклиматической оценки в зимнее время и переходные сезоны, но для тёплого времени года он также применим. Так, при высоких температурах воздействие влажного ветрового потока уменьшает ощущение дискомфортности человека [22].
Индекс S рассчитывают только для холодного периода (зима и межсезонье) по формуле [21]:
, (2)
где t — температура воздуха, °C; υ — скорость ветра, м/с.
Суровость погоды оценивают в баллах: при S <1 — не суровая, 1–2 — мало суровая, 2–3 — умеренно суровая, 3–4 — суровая, 4–5 — очень суровая, 5–6 — жёстко суровая, S >6 — крайне суровая.
К эффективным методам оценки биоклиматических условий Крымского полуострова в тёплый период года относится расчёт различных температурных индексов. Такие индексы, как индекс эквивалентной температуры, ЭЭТ и РЭЭТ, применяют для оценки тепловой чувствительности раздетого (по пояс) человека в летние месяцы. Для весенне-осеннего периода обычно используют индекс НЭЭТ (нормальной эквивалентно-эффективной температуры), так как она учитывает теплоощущения одетого человека, защищённого одеждой одного типа (одежда с теплоизоляцией 1 кло — платье, костюм и др.). Данный показатель особенно значим для оценки биоклиматического потенциала прибрежных местностей Крымского полуострова, так как курортный сезон в Крыму не ограничивается только летними месяцами: его продолжительность в среднем составляет от 130 до 160 дней в зависимости от части полуострова. В настоящей работе рассчитывались оба индекса — ЭЭТ и НЭЭТ. Расчёты ЭЭТ производятся по формуле F.A. Missenard [23]:
(3)
где t — температура воздуха, °С; υ — скорость ветра, м/с; f — относительная влажность, %; e — упругость водяного пара, гПа.
Для определения НЭЭТ используют формулу И.В. Бутьевой [24]:
, (4)
где ЭЭТ — эквивалентно-эффективная температура, °С.
Индекс НЭЭТ напрямую связан с ЭЭТ, в связи с чем их годовой ход совпадает, но значения НЭЭТ значительно превышают значения ЭЭТ. Комфортные значения индекса ЭЭТ располагаются в диапазонах от +12 до +18 °C («комфорт (умеренно тепло)») и от +18 до +24 °C («комфорт (тепло)»), а для индекса НЭЭТ — в диапазоне от +12 до +24°C («умеренно тепло (комфортно)»).
В летние месяцы на территории Крымского полуострова в безветренную погоду при высокой температуре воздуха и повышенной влажности возникают неблагоприятные условия, которые могут привести к обострению различных хронических заболеваний. Одновременно с повышением температуры и влажности понижается содержание кислорода в воздухе. При этом самочувствие людей определяется не концентрацией кислорода в воздухе, а его весовым содержанием в единице объёма — парциальной плотностью кислорода (pO2). Нормой для жизни человека считаются значения от 240 до 300 г/м3 [14]. Распределение парциальной плотности кислорода в воздухе во времени и пространстве имеет суточный и сезонный характер и оценивается по величине суточного отклонения данного показателя от средних значений (285 г/м3). В случае, если отклонение весового содержания кислорода не превышает 5 г/м3, погода характеризуется как благоприятная, при снижении весового содержания кислорода на 5–10 г/м3 — как умеренно неблагоприятная, а если значения весового содержания кислорода уменьшаются на 15 г/м3 и более — неблагоприятная [25]. Для определения парциальной плотности кислорода в воздухе используют следующую формулу [26]:
, (5)
где P — атмосферное давление, мб; е — парциальное давление водяного пара, мб; R — удельная газовая постоянная для сухого воздуха при давлении, выраженном в миллибарах, равная 2,87×103 см2/с2·град; T — абсолютная температура, равная 273 + температура воздуха, °C; 0,2315 — доля кислорода по весу в сухом воздухе; 106 — коэффициент перевода величин pO2 из кг/м3 в г/м3.
Для расчётов биоклиматических индексов в работе использовали среднесуточные данные следующих метеорологических параметров: температура воздуха, относительная влажность, скорость ветра и атмосферное давление на уровне моря. Для всех временны´х рядов проведены контроль качества и проверка на пропуски. С целью оценки тенденций изменения значений биоклиматических показателей во времени рассчитывали коэффициенты линейного тренда для точек на пространственной сетке Крыма, приуроченных к каждой станции, с оценкой статистической значимости. Отметим, что биоклиматические показатели анализировали для трендов с уровнем значимости выше 80%. Биоклиматические показатели рассчитывали для «среднего человека», при этом не учитывались индивидуальные особенности (механизмы адаптации). В настоящее время учёными принят стандарт параметров среднестатистического человека: взрослый человек ростом 170 см с массой тела 67 кг [27].
РЕЗУЛЬТАТЫ
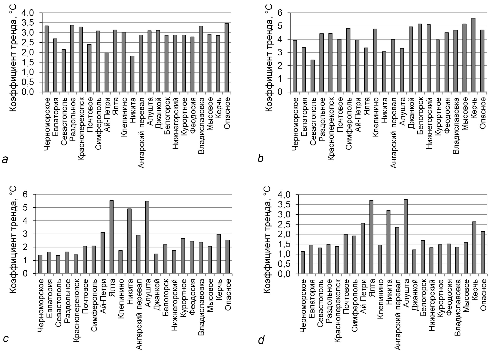
Полученные оценки трендов НЭЭТ на территории Крымского полуострова, характеризующие комплексное влияние на человека температуры, влажности воздуха и скорости ветра, показали рост НЭЭТ за 68 лет на всех станциях Крыма во все сезоны и месяцы года, за исключением декабря. Наиболее выражен положительный линейный тренд НЭЭТ с января по март, а также в августе и сентябре (рис. 2). В зимние месяцы значения статистически значимых положительных трендов составляют от 1,8 до 4,6 °С за 68 лет. В марте значения трендов заметно выше и составляют на разных станциях от 2,43 до 5,59 °С. При этом минимальные величины отмечаются на юге полуострова, в зоне субсредиземноморского климата. В августе и сентябре, наоборот, более заметное повышение НЭЭТ наблюдается на некоторых приморских станциях южной и восточной частей полуострова, где величина коэффициентов тренда составляет от 2,20 до 5,52 °С за 68 лет. В марте и августе значимость трендов НЭЭТ по критерию Стьюдента достигает максимального уровня (99%). Анализ основных параметров, входящих в расчётную формулу НЭЭТ, показал, что основной вклад в наблюдаемые тренды вносят изменения температуры воздуха и влажности. Подобные изменения установлены и в годовом ходе индекса ЭЭТ, так как он напрямую зависит от НЭЭТ.
Рис. 2. Тренды среднемесячных значений нормальной эквивалентно-эффективной температуры в январе (a), марте (b), августе (c) и сентябре (d) за 1950–2018 гг.
Коэффициент тренда (°С) — Trend coefficient (°С); Черноморское — Chernomorskoye; Евпатория — Yevpatoria; Севастополь — Sevastopol; Раздольное — Razdolnoye; Красноперекопск — Krasnoperekopsk; Почтовое — Pochtovoye; Симферополь — Simferopol; Ай-Петри — Ai-Petri; Ялта — Yalta; Клепинино — Klepinino; Никита — Nikita; Ангарский перевал — Angarsk Pass; Алушта — Alushta; Джанкой — Jankoy; Белогорск — Belogorsk; Нижнегорский — Nyzhnegorskiy; Курортное — Kurortnoye; Феодосия — Feodosia; Владиславовка — Vladislavovka; Мысовое — Mysovoye; Керчь — Kerch; Опасное — Opasnoye.
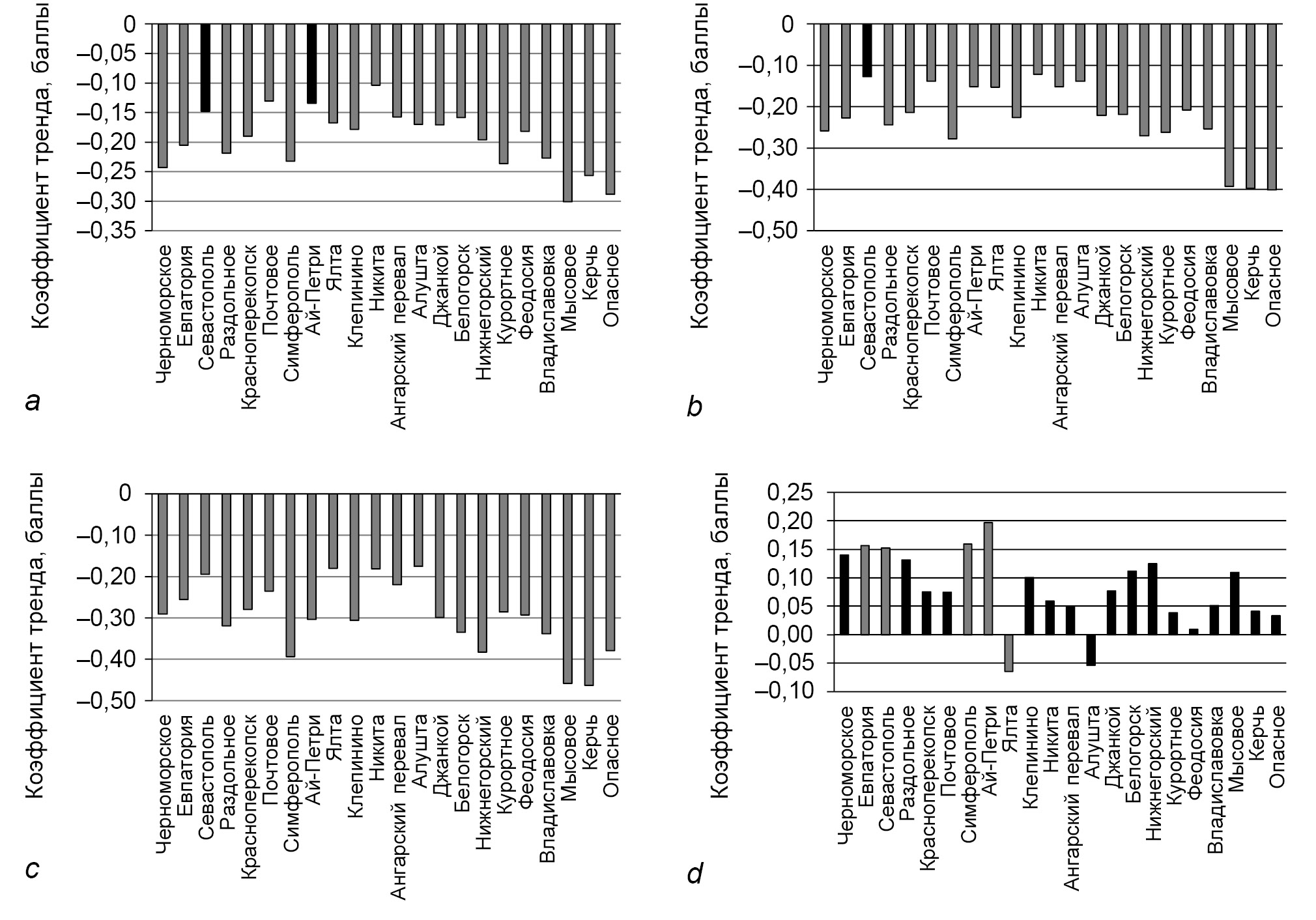
Повышение ЭТ в течение года сопровождается уменьшением значений индексов S и Hw. Оценка трендов значений индекса S подтвердила неравномерность проявления изменений в разные месяцы года. Наиболее чётко отрицательный линейный тренд выражен в марте (рис. 3) и составляет на разных станциях от –0,18 до –0,46 балла за 68 лет, причём это значимые на 99% уровне оценки. Максимальные значения отрицательных трендов в этом месяце относятся к приазовским местностям (Керчь, Мысовое, Опасное), а также к степной части Крыма (Симферополь и Нижнегорский). В январе и феврале для этих же станций характерны выраженные значимые отрицательные тренды со значениями от –0,20 до –0,46 балла за 68 лет. В декабре отрицательные тенденции сменяются на положительные почти на всех станциях (кроме Алушты и Ялты), но при этом значимые линейные тренды (выше 80%) выявлены для станций Ялта, Ай-Петри, Севастополь, Евпатория и Симферополь. Наибольший по величине положительный коэффициент тренда отмечается на станции Ай-Петри (0,20 балла за 68 лет), а отрицательный — в Ялте (–0,06 балла за 68 лет).
Рис. 3. Тренды среднемесячных значений S в январе (a), феврале (b), марте (c) и декабре (d) за 1950–2018 гг.; чёрным цветом обозначены незначимые коэффициенты.
Коэффициент тренда (баллы) — Trend coefficient (score); Черноморское — Chernomorskoye; Евпатория — Yevpatoria; Севастополь — Sevastopol; Раздольное — Razdolnoye; Красноперекопск — Krasnoperekopsk; Почтовое — Pochtovoye; Симферополь — Simferopol; Ай-Петри — Ai-Petri; Ялта — Yalta; Клепинино — Klepinino; Никита — Nikita; Ангарский перевал — Angarsk Pass; Алушта — Alushta; Джанкой — Jankoy; Белогорск — Belogorsk; Нижнегорский — Nyzhnegorskiy; Курортное — Kurortnoye; Феодосия — Feodosia; Владиславовка — Vladislavovka; Мысовое — Mysovoye; Керчь — Kerch; Опасное — Opasnoye.
Аналогичные результаты получены и для индекса Hw, где также отмечаются преимущественно отрицательные тенденции. Наиболее заметные понижения значений Hw характерны для месяцев холодного периода (январь–март) и конца лета. В эти месяцы аномалии не только отрицательны, но и наибольшие по величине и значимости. На всех станциях в марте наблюдаются наиболее выраженные отрицательные тренды (рис. 4). Такое понижение значений индекса весьма неоднородно в пространстве. Так, для станций, расположенных в восточной части полуострова, значения тренда достигают –11,43 мкал/см2·с за 68 лет, а для станций южного берега Крыма это –4,89 мкал/см2·с за 68 лет. В августе максимальные значения отрицательных трендов индекса Hw характерны также для Южного берега Крыма и Керченского полуострова, где они достигают отметки в –8,41 мкал/см2·с за 68 лет. В декабре, как и для индекса суровости, знак тренда меняется на плюс, при этом значимые тренды отмечаются на станциях юго-западной, западной и северной части полуострова. Наибольшее значение тренда в этом месяце установлено на станции Ай-Петри — 5,8 мкал/см2·с за 68 лет.
Рис. 4. Тренды среднемесячных значений Hw в январе (a), феврале (b), марте (c), августе (d) и декабре (e) за 1950–2018 гг.; чёрным цветом обозначены незначимые коэффициенты.
Коэффициент тренда (мкал/см2∙с) — Trend coefficient (mcal/cm2∙s); Черноморское — Chernomorskoye; Евпатория — Yevpatoria; Севастополь — Sevastopol; Раздольное — Razdolnoye; Красноперекопск — Krasnoperekopsk; Почтовое — Pochtovoye; Симферополь — Simferopol; Ай-Петри — Ai-Petri; Ялта — Yalta; Клепинино — Klepinino; Никита — Nikita; Ангарский перевал — Angarsk Pass; Алушта — Alushta; Джанкой — Jankoy; Белогорск — Belogorsk; Нижнегорский — Nyzhnegorskiy; Курортное — Kurortnoye; Феодосия — Feodosia; Владиславовка — Vladislavovka; Мысовое — Mysovoye; Керчь — Kerch; Опасное — Opasnoye.
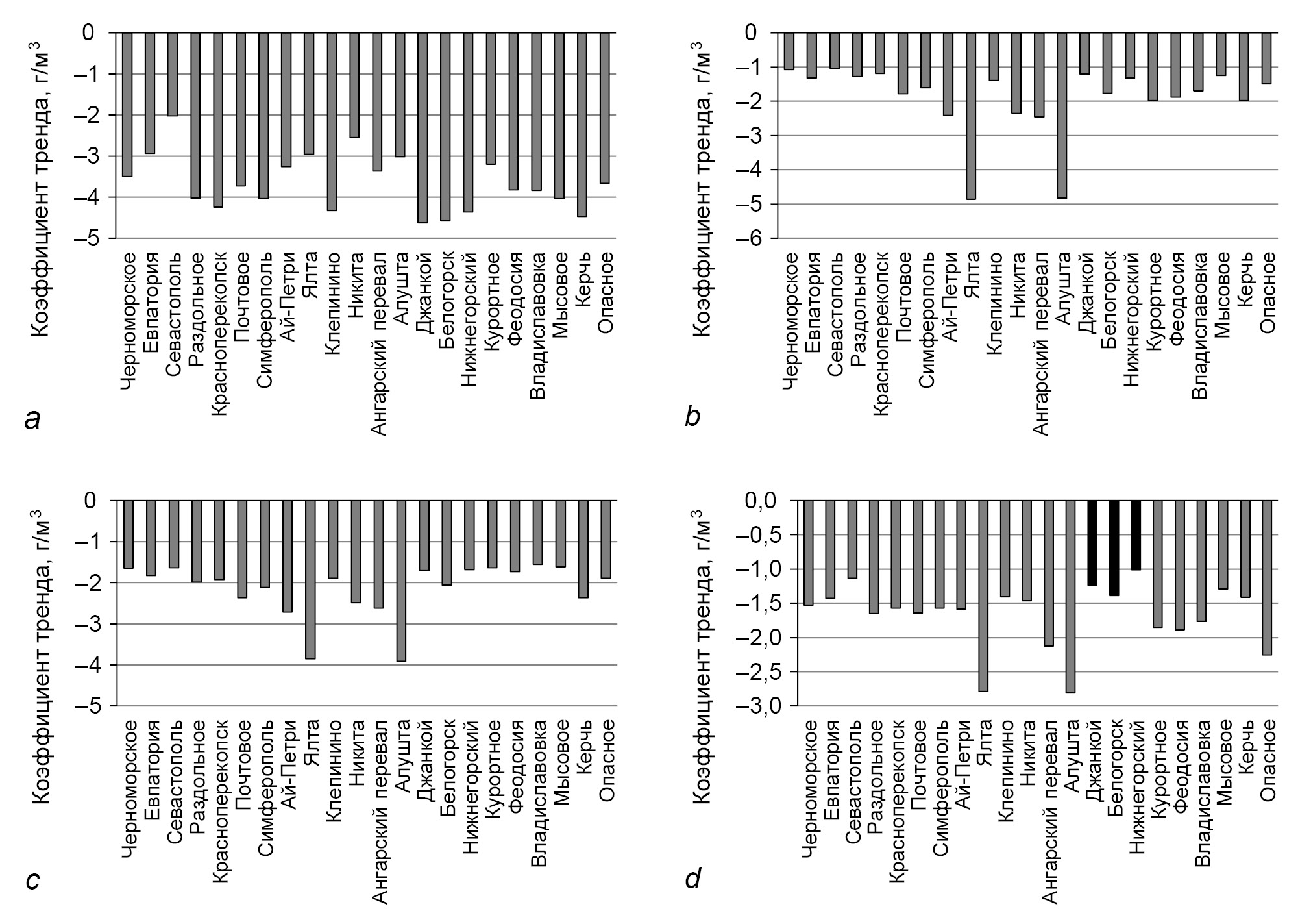
Анализ трендов pO2 выявил в исследуемый период отрицательные тенденции в каждом месяце года на всех станциях за исключением декабря, хотя тренд в этом месяце незначим. Более быстрыми темпами уменьшается содержание кислорода в марте в степной части Крыма, на севере и востоке полуострова (от –3,50 до –4,62 г/м3 за 68 лет) (рис. 5). С августа по октябрь более существенны изменения pO2 в южной приморской части полуострова, где значения трендов превышают 3–4 г/м3 за 68 лет. Для остальной территории характерно более медленное понижение содержания кислорода (до 2 г/м3 за 68 лет). Анализ тенденций изменений pO2 выявил статистически значимые на 99% уровне отрицательные тренды для марта, августа и сентября. В октябре значимость трендов варьирует от 80 до 99%.
Рис. 5. Тренды среднемесячных значений pO2 в марте (a), августе (b), сентябре (c) и октябре (d) за 1950–2018 гг. * серым цветом обозначены незначимые коэффициенты.
Коэффициент тренда (г/м3) — Trend coefficient (g/m3); Черноморское — Chernomorskoye; Евпатория — Yevpatoria; Севастополь — Sevastopol; Раздольное — Razdolnoye; Красноперекопск — Krasnoperekopsk; Почтовое — Pochtovoye; Симферополь — Simferopol; Ай-Петри — Ai-Petri; Ялта — Yalta; Клепинино — Klepinino; Никита — Nikita; Ангарский перевал — Angarsk Pass; Алушта — Alushta; Джанкой — Jankoy; Белогорск — Belogorsk; Нижнегорский — Nyzhnegorskiy; Курортное — Kurortnoye; Феодосия — Feodosia; Владиславовка — Vladislavovka; Мысовое — Mysovoye; Керчь — Kerch; Опасное — Opasnoye.
ОБСУЖДЕНИЕ
На улучшение биоклиматических условий в холодный период и в начале весны на всей территории Крыма указывают положительные коэффициенты линейных трендов ЭЭТ и НЭЭТ. Наибольший вклад в рост эквивалентных температур за год вносят зимние и первый весенний месяцы на станциях западных, северных и восточных районов полуострова, а также август и сентябрь на южных приморских станциях. Отмеченное увеличение индексов ЭЭТ и НЭЭТ в зимне-весенний период говорит о тенденции к более раннему началу курортного сезона, что повышает возможность организации эффективного отдыха и лечения в холодные месяцы года. Летом рост эквивалентных температур свидетельствует о вероятности более жарких погодных условий, а в начале осени — об увеличении продолжительности тёплого периода.
Линейные тренды индекса pO2 имеют отрицательный знак, при этом наиболее интенсивно количество кислорода уменьшается в степной части Крыма, на севере и востоке полуострова в марте, а также в период с августа по октябрь. Такие изменения вместе с повышением температуры воздуха обеспечивают в осенние месяцы ощущение физиологического дефицита кислорода. Весной же понижение значений кислорода свидетельствует о более раннем потеплении.
Отрицательные знаки трендов индексов Hw и S, более выраженные в январе-феврале и ранней весной, говорят об улучшении биоклиматических условий, что свидетельствует о расширении границ тёплого периода года с комфортными значениями биоклиматических показателей, приемлемого для организации рекреационных мероприятий. В конце лета отрицательные тренды Hw более типичны для территории Керченского полуострова и южного берега Крыма. В этот период они характеризуют ужесточение засушливых и жарких условий. Положительные тренды S и Hw в декабре на большей части степного Крыма свидетельствуют об усилении ветреных и дискомфортных биоклиматических условий.
Изменение биоклиматических условий непременно наложит отпечаток на характер рекреационной деятельности в Крыму, включая оздоровительный туризм, с особенностями в разные сезоны года. При этом должно учитываться влияние соответствующих погодных факторов на здоровых людей и лиц с хроническими заболеваниями. В зависимости от того, какой эффект оказывают погодные условия, рекреационные мероприятия разделяются на два основных вида: активные и пассивные. К активной рекреации относятся прогулки на свежем воздухе, терренкуры, плавание в море, различные спортивные игры. Обычно при активной рекреации (кроме купания в море) в весенне-осенний период люди одеты (лёгкая одежда с уровнем защиты 0,5–1 кло), что делает их времяпрепровождение на открытом воздухе более комфортным и при более низких температурах. В таком случае требования к погоде могут быть менее жёсткими [28]. К пассивной рекреации относятся солнечные и воздушные ванны. Данный вид рекреации требует более жёстких требований к погоде. При обоих видах рекреации существенными ограничениями являются высокая влажность воздуха, духота, сильный штормовой ветер и обильные осадки, затрудняющие пребывание на открытом воздухе. К дополнительным ограничивающим факторам рекреационной деятельности относятся также состояние здоровья (наличие хронических заболеваний, особенно патологий кардиореспираторной и нервной систем) и возраст человека (детский, пожилой, старческий, преклонный) [28, 29]. Для рекреантов, которые относятся к той или иной категории, лечение климатом должно проводиться в щадящем режиме и дозированно.
В зимние месяцы (январь и февраль) зачастую возникают периоды (окна) ослабления холодовой нагрузки на организм, тогда появляется возможность проведения солнечных и воздушных ванн на открытом воздухе. В периоды устойчивых северо-восточных ветров такие мероприятия проводятся в защищённых от ветра сооружениях. За счёт увеличения значений эквивалентных температур в конце зимы и начале весны появляется возможность начинать курортный сезон раньше, чем обычно. В марте преобладают холодные ветры, однако они становятся слабее, заметно теплеет, что благоприятствует активным видам рекреации (кроме купания в море). В летние же месяцы аналогичный рост температур может привести к дискомфортным значениям, а в сочетании с пониженным количеством кислорода в воздухе — создать существенные риски для людей с болезнями органов дыхания и сердечно-сосудистыми заболеваниями. Данные особенности необходимо учитывать и по мере необходимости вводить полный запрет на рекреационную деятельность или частично ограничивать определённые категории рекреантов. Повышение значений эквивалентных температур в начале осени увеличивает в целом продолжительность курортного сезона с комфортными условиями. Однако стоит отметить, что в это же время может отмечаться бόльшая вероятность душных погод, вызывающих дискомфорт для здоровых людей и опасных для людей с рядом хронических заболеваний. В середине осени также повторяется улучшение биоклиматических условий, благоприятных для проведения рекреационных процедур. В это время происходит смена основных видов рекреации: отдых на пляже и купание замещаются на прогулки у берега, походы, терренкуры, спортивные игры и др.
ЗАКЛЮЧЕНИЕ
Проведённый анализ динамики биоклиматических индексов за 1950–2018 гг. показал, что изменения климата проявляются в соответствующих изменениях рекреационного потенциала территории Крыма. Выявленные особенности этих изменений позволят заблаговременно корректировать планы проведения рекреационной деятельности в регионе. В начале весны на прибрежных станциях Керченского полуострова, а также в северной и восточной частях Крыма отмечаются тенденции к более раннему началу рекреационного сезона. Благодаря улучшению комфортности погодных условий в будущем в данных районах могут расшириться границы рекреационных периодов в несезонные месяцы. На приморских станциях южной и юго-восточной частей Крыма в летние месяцы повышается вероятность ощущения физиологического дефицита кислорода. Такие особенности впоследствии могут привести к сокращению сезона в летний период и увеличению — в начале осени, когда биоклиматические условия остаются близки к летним, но считаются более благоприятными для проведения активных видов рекреационных мероприятий.
Выявленные закономерности изменений биоклиматических показателей могут выступать регулирующим фактором для планирования и организации различных видов рекреационных мероприятий на территории Крыма и таким образом обеспечивать продолжительность рекреационного периода.
ДОПОЛНИТЕЛЬНАЯ ИНФОРМАЦИЯ / ADDITIONAL INFORMATION
Вклад авторов. Оба автора подтверждают соответствие своего авторства международным критериям ICMJE (оба автора внесли существенный вклад в разработку концепции, проведение исследования и подготовку статьи, прочли и одобрили финальную версию перед публикацией). Наибольший вклад распределён следующим образом: А.А. Стефанович — концепция и дизайн исследования, получение, анализ и интерпретация данных, их графическое представление, подготовка первого варианта статьи; Е.Н. Воскресенская — редакция текста статьи, окончательное утверждение присланной в редакцию рукописи.
Authors’ contribution. Both authors confirm that their authorship meets the international ICMJE criteria (both authors have contributed significantly to the development of the concept, research, and preparation of the article, read, and approved the final version before publication). The greatest contribution is distributed as follows: A.A. Stefanovich — study concept and design, acquisition, analysis, interpretation and visualization of data, preparation of the first version of the article; E.N. Voskresenskaya — correction of the text, final approval of the manuscript.
Источники финансирования. Работа выполнена в рамках государственного задания Института природно-технических систем «Фундаментальные и прикладные исследования закономерностей и механизмов формирования региональных изменений природной среды и климата под влиянием глобальных процессов в системе океан-атмосфера и антропогенного воздействия» (номер государственной регистрации 121122300072-3) и стратегического проекта № 3 программы «Приоритет-2030» Севастопольского государственного университета (номер государственной регистрации 121121700314-3).
Funding sources. The work was made within the framework of the state task of the Institute of Natural and Technical Systems "Fundamental and applied research on the regularities and mechanisms of formation of regional changes in the natural environment and climate under the influence of global processes in the ocean-atmosphere system and anthropogenic impact" (No 121122300072-3) and the program "Prioritet-2030" of Sevastopol State University (strategic project No 3) (No 121121700314-3).
Конфликт интересов. Авторы подтверждают отсутствие конфликта интересов.
Conflict of interest. The authors declare no conflict of interest.
About the authors
Anna A. Stefanovich
Institute of Natural and Technical Systems; Sevastopol State University
Email: amazurenko@mail.ru
ORCID iD: 0000-0002-4076-7623
SPIN-code: 7723-0167
junior research associate
Russian Federation, Sevastopol; SevastopolElena N. Voskresenskaya
Institute of Natural and Technical Systems; Sevastopol State University
Author for correspondence.
Email: elena_voskr@mail.ru
ORCID iD: 0000-0003-4889-0180
SPIN-code: 3183-6409
MD, Dr. Sci. (Geogr.), professor
Russian Federation, Sevastopol; SevastopolReferences
- Vasiliev MS, Nikolashkin SV, Karimov RR. Comparison of surface air temperature in Yakutia derived from reanalysis and ground measurements. Vestnik of the M.K. Ammosov North-Eastern Federal University. 2014;11(5):82–88. (In Russ).
- Rybak OO, Rybak EA. Climate change in the South of Russia: tendencies and possibilities for prediction. Polythematic Online Scientific Journal of Kuban State Agrarian University. 2015;(111):538–552. (In Russ).
- Federal'naja sluzhba po gidrometeorologii i monitoringu okruzhajushhej sredy (Rosgidromet). Doklad ob osobennostjah klimata na territorii Rossijskoj Federacii za 2021 god. Moscow, 2022. 104 p. (In Russ). Available from: https://www.meteorf.gov.ru/images/news/20220324/4/Doklad.pdf
- Nazarova LE. Izmenchivost' klimata vodosbora Onezhskogo ozera In: VI Semenovskie chtenija: nasledie P.P. Semenova-Tjan-Shanskogo i sovremennaja nauka: materialy mezhdunarodnoj nauchnoj konferencii, posvjashhennoj 190-letiju so dnja rozhdenija P.P. Semenova-Tjan-Shanskogo; 2017 May 19–20; Lipeck, Russia. Lipeck: Lipeckij gosudarstvennyj pedagogicheskij universitet imeni P.P. Semenova-Tjan-Shanskogo; 2017. P. 90–91. (In Russ).
- Donchenko JaV, Lemeshko NA, Binenko VI. Itogovyj tehnicheskij otchet: ocenka sostojanija klimata v predelah territorii Leningradskoj oblasti, v tom chisle ocenka faktorov vlijanija antropogennoj dejatel'nosti na klimat, razrabotka mer po adaptacii k izmenenijam klimata. Saint Petersburg, 2015. 121 p. (In Russ).
- Gorohov AN, Fedorov AN. Current trends in climate change in Yakutia. Geografia i prirodnye resursy. 2018;(2):111–119. (In Russ). doi: 10.21782/GiPR0206-1619-2018-2(111-119)
- Rostov ID, Dmitrieva EV, Vorontsov AA. Manifestations of global climate changes in coastal waters and adjacent areas of the Okhotsk Sea. Vestnik of the Far East Branch of the Russian Academy of Sciences. 2018;(6):20–34. (In Russ). doi: 10.25808/08697698.2018.202.6.003
- Gajko LA. Variability of water and air temperature along the coast of Eastern Primorye and Khabarovsk Territory based on the weather station data. Morskoi gidrofizicheskii zhurnal. 2022;38(4):389–404. (In Russ). doi: 10.22449/0233-7584-2022-4-389-404
- Ponomarev VI, Dmitrieva EV, Shkorba SP. Features of climate regimes in the North Asian Pacific. Monitoring systems of environment (Sistemy kontrolya okruzhayushchej sredy). 2015;(1):67–72. (In Russ).
- Hansen J, Sato M, Ruedy R, et al. Global temperature change. Proc Natl Acad Sci U S A. 2006;103(39):14288–14293. doi: 10.1073/pnas.0606291103
- Perevedencev JuP, Sherstjukov BG, Shantalinskij KM, et al. Izmenenija temperatury vozduha i atmosfernyh osadkov na territorii Rossii v XX–XXI vekah. In: Klimaticheskie riski i kosmicheskaja pogoda. Materialy Mezhdunarodnoj konferencii, posvjashhennoj pamjati Niny Konstantinovny Kononovoj; 2021 June 14–17; Irkutsk, Rossija. Irkutsk: Irkutskij gosudarstvennyj universitet; 2021. P. 292–298. (In Russ).
- Prihodko IA, Verbitsky AYu, Sergeev AE. Climate change on the Black Sea coast of Russia. International Agricultural Journal. 2022;65(1):366–383. (In Russ). doi: 10.55186/25876740-2022-6-1-23
- Rybak OO, Rybak EA. Implementation of observations at regular meteorological stations for mass balance calculation of mountain glaciers (on the example of the Dzhankuat glacier, Central Caucasus). Monitoring systems of environment (Sistemy kontrolya okruzhayushchej sredy). 2017;9(29):100–108. (In Russ).
- Trubina M, Hasso L, Dyachko Zh. Methods of the bioclimatic estimation of the Northwest region of Russia. Uchenye zapiski Rossijskogo gosudarstvennogo gidrometeorologicheskogo universiteta. 2010;(13):121–137. (In Russ).
- Jarosh AM, Soldatchenko SS, Korshunov JuP, et al. Sravnitel'naja mediko-klimatologicheskaja harakteristika osnovnyh primorskih kurortnyh mestnostej Evropy i prilegajushhih k nej regionov Azii i Afriki. Simferopol': Sonat; 2000. 135 p. (In Russ).
- Voskresenskaja EN. Izmenchivost' klimaticheskih harakteristik kurortnyh mestnostej Chernogo i Sredizemnogo morej pod vlijaniem global'nyh processov v sisteme okean-atmosfera. Jekologicheskaja bezopasnost' pribrezhnoj i shel'fovoj zon i kompleksnoe ispol'zovanie resursov shel'fa. 2003;(9):39–48. (In Russ).
- https://rp5.ru/ [Internet]. Raspisanie pogody [cited 28.04.2018]. Available from: https://rp5.ru
- Anisimov OA, Zhil'tsova EL. Сlimate change estimates for the regions of Russia in the 20th century and in the beginning of the 21st century based on the observational data. Russian Meteorology and Hydrology. 2012;37(6)421–429. (In Russ). doi: 10.3103/S1068373912060106
- Vinogradova VV. Vozdejstvie global'nogo poteplenija na surovost' klimata severnyh i vostochnyh territorij Rossii v 80-e gg. XX veka. Izvestiya Rossiiskoi akademii nauk. Seriya geograficheskaya. 1997;(2):126–132. (In Russ).
- Perevedentsev YuP, Zandi R, Aukhadeev TR, Shantalinskii KM. Assessment of climate influence on a man in droughty conditions of Southwest Iran. Bulletin of Udmurt University. Series Biology. Earth Sciences. 2015;25(1):104–113. (In Russ).
- Isaev AA. Jekologicheskaja klimatologija. Moscow: Nauchnyj mir; 2001. 456 p. (In Russ).
- Zolotokrylin AN, Kancebovskaja IV, Krenke AN. Rajonirovanie territorii Rossii po stepeni jekstremal'nosti prirodnyh uslovij dlja zhizni cheloveka. Izvestiya Rossiiskoi akademii nauk. Seriya geograficheskaya. 1992;(6):16–30. (In Russ).
- Missenard FA. Température effective d’une atmosphere Généralisation température résultante d’un milieu. In: Encyclopédie Industrielle et Commerciale, Etude physiologique et technique de la ventilation. Librerie de l’Enseignement Technique. Paris, 1933. P. 131–185. (In France).
- But'eva IV, Shejnova TG. Metodicheskie voprosy integral'nogo analiza mediko-klimaticheskih uslovij. In: Kompleksnye bioklimaticheskie issledovanija. Moscow; 1988. P. 97–108. (In Russ).
- Ovcharova VF. Gomeokinez v pogodnuju gipoksiju i giperoksiju. In: Trudy Mezhdunarodnogo simpoziuma VMO/VOZ/JuNEP «Klimat i zdorov'e cheloveka». Leningrad: Gidrometeoizdat; 1988. P. 142–149. (In Russ).
- But'eva IV, Galahova JeN, Il'icheva M, et al. Formuly i nomogrammy dlja raschetov mediko-meteorologicheskih pokazatelej. Materialy meteorologicheskih issledovanij. 1984;(8):151–159. (In Russ).
- Emelina SV. Prognoz pogodnyh uslovij, neblagoprijatnyh dlja naselenija s serdechno-sosudistymi i allergicheskimi zabolevanijami [dissertation]. Moscow, 2020. (In Russ).
- Ezhov VV, Kaladze NN, Jarosh AM. Metodicheskie rekomendacii po klimatolecheniju. Pljazhi i pljazhnye sooruzhenija. Simferopol'; 2010. 72 p. (In Russ).
- Razumov AN, Starodubov VI, Ponomarenko GN. Sanatorno-kurortnoe lechenie: nacional'noe rukovodstvo. Moscow: GЕOTAR-Media; 2021. 704 p. (In Russ).
Supplementary files









