Age-related anthropometric changes in physical development among aboriginal schoolchildren in Russia’s North-East
- Authors: Loskutova A.N.1
-
Affiliations:
- Scientific Research Center «Arktika» Far Eastern Branch of the Russian Academy of Sciences
- Issue: Vol 30, No 12 (2023)
- Pages: 879-890
- Section: ORIGINAL STUDY ARTICLES
- Submitted: 16.02.2024
- Accepted: 15.04.2024
- Published: 28.12.2023
- URL: https://hum-ecol.ru/1728-0869/article/view/627050
- DOI: https://doi.org/10.17816/humeco627050
- ID: 627050
Cite item
Full Text
Abstract
BACKGROUND: Schoolchildren from an educational institution of Severo-Evensk District Magadan Region, participated in an anthropometric survey.
AIM: To assess anthropometric characteristics of indigenous schoolchildren in the Magadan Region across different age-groups.
MATERIAL AND METHODS: Two hundred and eight boys and one hundred and ninety girls from the Evens, Koryaks and Itelmen ethnic groups participated in the 2021–2023 Anthropometric Survey. They accounted for 67.2% of all schoolchildren surveyed. Body height (BH), body mass (BM), chest circumference (CC), sitting height (HSit), right- and left-hand grip strength were measured. We also calculated annual increase in weight and height, as well as proportionality of physical development of the children.
RESULTS: A natural increase in the absolute body indicators of BH, BM, HSit, CC, and right and left hand strength have been observed parallel to increase in age from 8 to 17 years. The rate of annual growth indicated different timing of the periods of accelerated increase in the anthropometric characteristics. Girls exhibited a CC maximum increase at 10–11 years old with simultaneous increase in BH, BM, HSit, and hand grip strength at 11–12 years old. During the same age-periods, boys showed a pronounced BH growth with BM and CC increase at 12–13 years of age. After a slight attenuation in the growth rate, we observed a substantial increase in BH at the age of 14–15, associated with gender-related aspects in older children groups. Sex-related characteristics of BH increase were primarily associated with differences in the leg growth rates during the puberty, and tend to be greater in boys. Most of the studied boys had an asthenic somatotype. At the same time, most girls had a proportional body type with high percentage of those with relatively short legs.
CONCLUSION: We observed that girls were ahead of boys in their physical development. Boys demonstrated a continuous development in their main anthropometric characteristics with more pronounced dynamics in adolescence. Our findings suggest that indigenous schoolgirls have better physical development and adaptive adjustments compared to boys.
Full Text
ВВЕДЕНИЕ
В своём исследовании А.И. Козлов и соавт. [1] отмечают, что антропологическая уникальность коренного населения высокоширотных регионов России складывалась веками, способствуя формированию специфических адаптивных экотипов человека, направленных на обеспечение состояния равновесия популяций в экстремальных климатогеографических условиях среды. В данном контексте под коренным населением Севера понимаются представители народов, во многом сохраняющих самобытный уклад жизни и являющихся «этническими меньшинствами» на территории своего основного расселения (в работе применимы синонимы «малочисленные народы», «аборигены Севера» и др.). Проблема терминологической путаницы во многих работах физиолого-экологической направленности подчеркивается И.В. Аверьяновой и соавт. [2], которые отмечают, что часто между понятиями «коренной» и «аборигены» ставится знак равенства, хотя европеоиды, родившиеся и постоянно проживающие в различных северных регионах, также могут считаться коренными жителями, но при этом не являются аборигенами (лат. ab origine — от начала). В свою очередь, к аборигенам относят малочисленные северные народности, которые исторически (столетиями, тысячелетиями) проживают на определенных территориях с сохранением традиционного уклада жизни.
Исследования этнических особенностей адаптации аборигенного населения к социально-экономическим изменениям в обществе во многом показывают возникающую изменчивость конституциональных свойств организма. Медико-демографические проблемы и депопуляция коренных и малочисленных народов Севера становятся всё более актуальными [3, 4]. При этом наиболее уязвимой группой являются дети и подростки в сенситивные периоды развития, когда формируются индивидуально-типологических особенности организма [5].
Климат Северо-Востока России отличается особой контрастностью, что обусловлено огромной протяжённостью территории. Магаданская область представлена двумя принципиально различными климатогеографическими зонами: приморской и внутриконтинентальной, где воздействующие на человека экстремальные природные факторы окружающей среды оказывают разнонаправленное влияние на формирование морфофункциональных характеристик человека [6]. Одним из отдалённых и труднодоступных городских округов проживания представителей аборигенного населения (коренных малочисленных народов Севера) в Магаданской области является административный центр пгт Эвенск (61°55'04'' с.ш., Северо-Эвенский район), который находится в приморской субарктической зоне на северо-востоке от Магадана (59°33'49'' с.ш.). Как отмечает Л.Н. Хаховская [7], в связи с отдалённостью и отсутствием постоянной наземной транспортной связи район имеет «островное» положение, в ходе негативного последствия реформ (с 1991 по 2007 гг.) его покинула большая часть жителей из числа мигрантов. Согласно Всероссийской переписи населения 2020 г., большинство жителей из числа коренных малочисленных народов Севера, проживающих в регионе и указавших национальную принадлежность, составляют эвены и коряки [8].
Цель исследования. Оценка возрастных изменений основных антропометрических показателей школьников из числа аборигенного населения Магаданской области.
МАТЕРИАЛ И МЕТОДЫ
В 2021–2023 гг. на базе медицинского кабинета муниципальной общеобразовательной школы пгт Эвенск (Магаданская область, Северо-Эвенский район) в зимне-весенний период (март-апрель) обследовали 592 школьника. Критерии включения в обследование были следующие: учащиеся школы в возрасте 7–18 лет, согласие законных представителей ребёнка и самого ребёнка на обследование, отсутствие хронических заболеваний и жалоб на самочувствие. В работе соблюдали этические принципы, предъявляемые Хельсинкской декларацией Всемирной медицинской ассоциации (World Medical Association Declaration of Helsinki, 1964 г., 2000 г. ред.).
На основании списка социального паспорта классов с отражением этнической принадлежности школьников было выделено 208 мальчиков и 190 девочек из числа эвенов, коряков и ительменов — 67,2% общей выборки. Мальчиков/девочек соответственно разделили на возрастные группы по антропологическому принципу: 8 лет (от 7 лет 6 мес. до 8 лет 5 мес. 29 дней) — 23/14 чел., 9 лет — 26/16, 10 лет — 17/14, 11 лет — 14/17, 12 лет — 18/25, 13 лет — 19/29, 14 лет — 21/24, 15 лет — 23/16, 16 лет — 20/16 лет, 17–18 лет — 27/19.
Используя общепринятые методики, регистрировали основные замеры: длину тела (ДТ, см), массу тела (МТ, кг), рост сидя (Рс, см), окружность грудной клетки в паузе (ОГК, см). С использованием ручного динамометра оценивали силу мышц левой и правой кистей рук (кг).
Рассчитывали и принимали за основу критерии оценки следующих индексов физического развития: индекса Пинье (ИП)=ДТ–(ОГК+МТ), усл. ед.; индекса Бругша (ИБ)=ОГК/ДТ×100%; пропорциональности телосложения (ПТ)=[(ДТ–Рс)/Рс]×100%; индекса массы тела (ИМТ)=МТ/ДТ2, кг/м2; площади тела по формуле Дюбуа [9].
Статистическую обработку данных выполняли с использованием программы Statistica 6. Для проверки выборки на нормальность распределения использовали тест Шапиро–Уилка. При соблюдении нормального распределения переменных применяли параметрические методы анализа данных: для сравнения независимых выборок t-критерий Стьюдента, F — однофакторный анализ (ANOVA), при несоблюдении нормального распределения — Манна–Уитни (U) соответственно. Для сравнения долей рассчитывали критерий χ2 с поправкой на непрерывность Йетса. Результаты представили выборочной средней (М) и ошибкой средней (m), медианой (Md), 25–75 процентилями: первого (Q1) и третьего (Q3) квартилей. Критическое значение уровня статистической значимости различий при проверке статистических гипотез принимали р <0,05.
РЕЗУЛЬТАТЫ
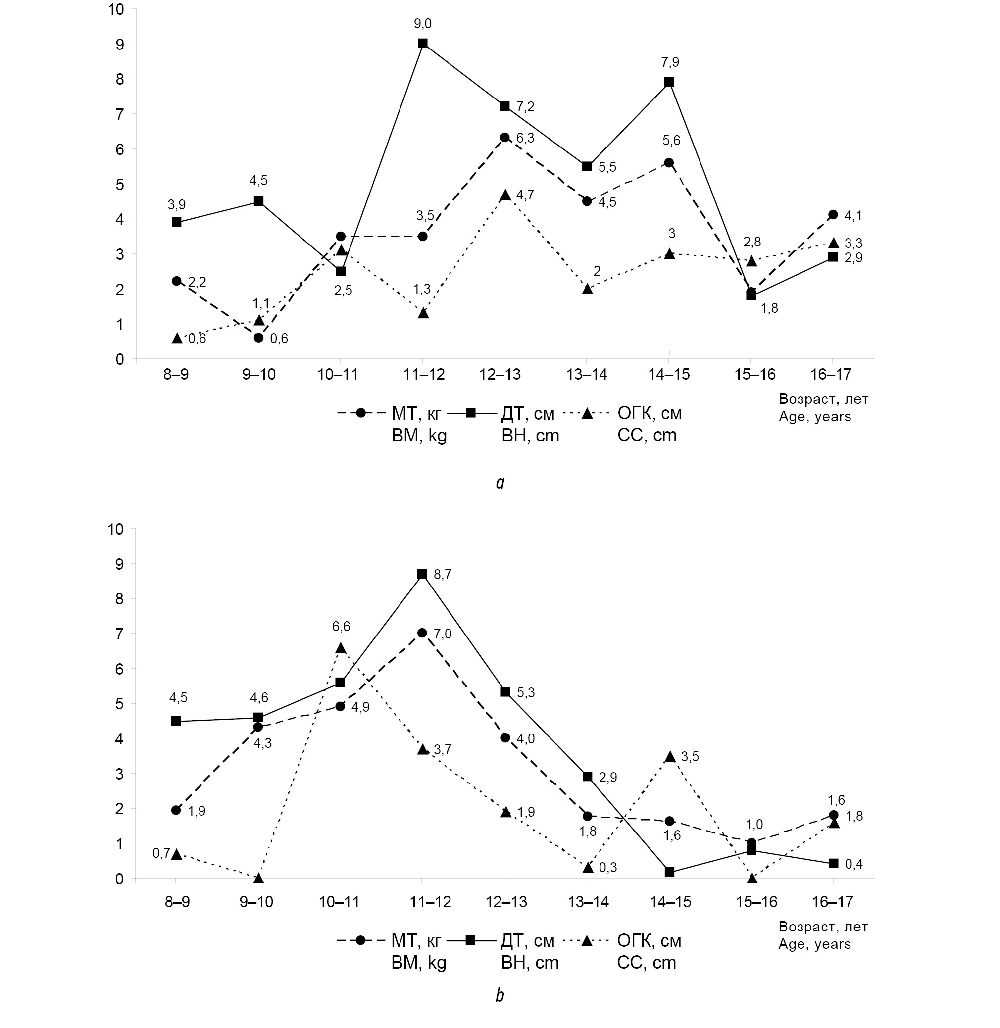
В табл. 1 показано, что у мальчиков и девочек происходит направленное увеличение изучаемых тотальных параметров тела — ДТ, МТ, Рс, ОГК, силы мышц левой и правой кистей рук (р <0,001). Наиболее интенсивное увеличение ДТ у мальчиков наблюдается в период пубертата с 11 до 15 лет, с максимальным годовым приростом в 11–12 и 14–15 лет (рис. 1).
Рис. 1. Возрастная динамика среднегодовых приростов окружности грудной клетки (ОГК), длины и массы тела (ДТ и МТ) у мальчиков (а) и девочек (b).
Fig. 1. Annual increase in chest circumference (CC), body height (BH) and body mass (BM) in boys (a) and girls (b).
Для девочек характерно интенсивное увеличение ДТ с 8 до 13 лет, наиболее значимая прибавка ДТ отмечалась в 11–12 лет. В этот период у девочек одновременно с увеличением ДТ определён максимальный годовой прирост МТ (на 7,0 кг/год), тогда как у мальчиков наблюдается их разновременность: прибавка МТ приходится на 12–13 и 14–15 лет. Средневозрастные показатели ДТ мальчиков только после пубертатного ростового скачка статистически значимо больше, чем у девочек в 15–17 лет (р <0,05). Половые различия по МТ наблюдаются только в 17 лет соответственно.
Таблица 1. Основные антропометрические показатели школьников 8–17 лет, проживающих на территории Магаданской области, М±m
Table 1. Basic anthropometric characteristics of schoolchildren aged 8-17 living in Magadan Oblast, M±m
Показатель Indicator | Пол Gender | Возраст, лет | Age (years) | |||||||||
8 | 9 | 10 | 11 | 12 | 13 | 14 | 15 | 16 | 17 | ||
Масса тела, кг Body weight (kg) | м | 27,90±1,33 | 30,10±1,02 | 30,80±1,59 | 34,30±1,63 | 37,80±1,73 | 44,10±2,06* | 48,60±2,16 | 54,20±2,00* | 55,90±2,96 | 60,80±2,23 |
д | 24,30±1,01 | 26,80±1,40 | 30,70±1,53 | 36,10±2,53 | 43,10±2,09* | 47,20±1,85 | 48,80±1,82 | 50,60±2,04 | 51,60±2,81 | 54,10±1,75& | |
Длина тела, см Body height (cm) | м | 126,00±1,30 | 129,90±1,20* | 134,80±1,71* | 137,30±1,53 | 146,30±2,38* | 153,50±2,39* | 159,00±2,34* | 166,90±1,75* | 168,50±1,68 | 172,00±1,34 |
д | 123,30±1,15 | 129,10±1,07* | 133,20±1,44* | 139,40±1,61* | 148,10±1,56* | 153,30±1,05* | 156,30±1,08 | 156,50±1,39& | 157,30±1,27& | 157,90±1,12& | |
Рост сидя, см Sitting height (cm) | м | — | — | 72,90±1,18 | 72,50±0,83 | 74,90±1,15 | 78,70±0,97* | 81,90±1,08* | 87,00±1,06* | 88,20±1,29 | 88,70±0,80 |
д | — | — | 72,60±0,76 | 73,40±1,22 | 78,40±0,84*& | 80,80±0,91 | 83,10±0,74 | 84,40±0,97 | 84,30±0,57& | 84,70±0,56& | |
Объём грудной клетки, см Chest circumference (cm) | м | 63,50±0,96 | 64,10±1,05 | 65,30±1,12 | 68,40±1,55 | 69,70±1,12 | 74,40±1,57* | 76,40±1,35 | 79,40±1,41 | 82,20±1,46 | 86,20±1,40 |
д | 61,30±1,29 | 62,20±0,88 | 63,00±1,21 | 70,30±2,0* | 74,00±1,32& | 75,90±1,45 | 76,20±1,31 | 80,50±1,19* | 80,00±1,18 | 82,10±1,20& | |
Динамометрия левой кисти, кг Left hand grip strength (kg) | м | 6,20±0,45 | 7,90±0,50* | 9,10±0,96 | 12,10±0,97* | 17,20±1,14* | 21,60±1,68* | 25,30±1,85 | 30,10±1,70* | 30,90±1,71 | 34,70±1,40 |
д | 5,60±0,63 | 6,00±0,38& | 7,60±0,60* | 11,90±0,95* | 16,50±1,23* | 18,70±1,27 | 18,60±0,55& | 20,60±0,91& | 22,60±1,18& | 24,90±1,27& | |
Динамометрия правой кисти, кг Right hand grip strength (kg) | м | 7,40±0,48 | 8,50±0,47 | 9,80±1,05 | 14,10±0,98* | 18,70±1,09* | 23,50±1,85* | 27,20±1,72 | 31,80±1,72* | 31,90±2,64 | 35,50±1,48 |
д | 6,50±0,50 | 7,40±0,64 | 8,70±0,59 | 13,10±0,99* | 18,60±1,14* | 20,20±1,36 | 20,90±0,78& | 22,60±0,94& | 23,80±1,20& | 26,90±1,10& | |
Примечание для табл. 1, 2. Здесь и далее по тексту: * статистически значимые различия по сравнению с предыдущим возрастом, р <0,05; & различия между одновозрастными группами разного пола; м — мальчики, д — девочки.
Note for Tables 1, 2. Hereinafter in the text: * statistically significant differences compared to the previous age, p <0.05; & gender differences in the same-age group; м — boys, д — girls.
У девочек в период 11–12 лет отмечается значительное увеличение Рс с максимальным годовым приростом (5,0 см/год). Тогда как у мальчиков выраженные изменения параметра установлены с 13 до 15 лет, с максимальным увеличением в 14–15 лет (5,1 см/год), что определяет половые различия в следующих возрастных группах.
По показателю ОКГ у мальчиков в 12–13 лет установлено статистически значимое увеличение средних значений с максимальной годовой прибавкой. Для девочек характерны несколько статистически значимых периодов увеличения ОГК — в 10–11 и 14–15 лет. У них максимальное увеличение обхватных размеров тела наблюдается в 10–11 лет с последующим незначительным увеличением ОГК на уровне тенденции в 11–12 лет (р=0,062). Также можно отметить преобладание средних значений ОГК у девочек в 12 лет по отношению к мальчикам. Однако после ростового скачка у мальчиков в 14–15 лет наблюдается возрастной перекрест и обхватные размеры тела у 17-летних мальчиков преобладают. Половых статистически значимых различий в других возрастах не наблюдали.
Возрастная динамика мышечной силы кистей рук в основном совпадает с динамикой изменения основных тотальных размеров тела. Однако абсолютные годовые приросты этих показателей имеют существенные половые различия. Так, статистически значимое увеличение силовых показателей кистей рук в возрастной динамике отмечено у мальчиков в 8–9, 10–13 и 14–15 лет, а у девочек — в 8–12 лет.
Максимальный погодовой прирост силовых показателей у мальчиков происходит с 11 до 13 лет (для правой руки — 4,6 и 4,8 кг, для левой — 5,1 и 4,4 кг) и в 14–15 лет (для правой руки — 4,6 кг, для левой — 4,8 кг), тогда как у девочек — в 11–12 лет (5,5 и 4,6 кг соответственно). Необходимо отметить, что в 12 лет наблюдается возрастной перекрест, с 14 лет показатели мышечной силы кистей рук статистически значимо преобладают у мальчиков по отношению к девочкам. Возрастные изменения наблюдали также по расчётным индексам показателей физического развития (табл. 2).
Таблица 2. Индексы физического развития школьников 8–17 лет, проживающих на территории Магаданской области
Table 2. Physical development indices of schoolchildren aged 8-17 residing in Magadan Oblast
Показатель Indicator | Пол Gender | Возраст, лет | Age (years) | |||||||||
8 | 9 | 10 | 11 | 12 | 13 | 14 | 15 | 16 | 17 | ||
Индекс Пинье2, усл. ед. Pinier index2 (units) | м | 35 (27; 40) | 35 (33; 43) | 38 (33; 43) | 37 (31; 39) | 38 (34; 42) | 34 (27; 44) | 34 (29; 44) | 36 (30; 42) | 36 (25; 37) | 29 (22; 36) |
д | 37 (34; 44) | 42 (37; 43) | 41 (37; 42) | 38 (34; 42) | 34 (23; 39) | 33 (26; 41) | 34 (25; 39) | 24 (18; 30)& | 26 (17; 34) | 22 (16; 28) | |
Пропорциональность телосложения1, % Body proportionality1, (%) | м | — | — | 88,20±1,56 | 90,80±1,35 | 95,30±0,95* | 95,10±1,51 | 94,10±1,57 | 92,10±1,72 | 91,50±2,09 | 94,00±1,08 |
д | — | — | 84,60±1,38& | 91,20±2,40* | 88,60±1,18& | 90,20±1,48& | 89,00±1,31& | 85,50±1,37& | 86,70±1,16 | 86,40±2,89& | |
Индекс Бругша 1, % Brugsch index1 (%) | м | 50,7±0,67 | 49,2±0,71 | 48,30±0,69 | 49,80±0,92 | 47,80±0,88 | 48,50±0,81 | 48,10±0,75 | 47,70±0,82 | 48,80±0,77 | 50,10±0,71 |
д | 49,7±1,26 | 48,2±0,77 | 46,30±1,0 | 50,20±1,68 | 50,20±1,07 | 50,00±1,07 | 50,50±0,93 | 52,70±0,72 | 50,60±0,62 | 52,40±0,65 | |
Индекс массы тела1, кг/м2 Body mass index1 (kg/m2) | м | 17,4±0,6 | 17,8±0,50 | 16,90±0,59 | 18,10±0,62 | 17,50±0,51 | 18,50±0,51 | 19,20±0,86 | 19,40±0,54 | 19,60±0,88 | 20,60±0,86 |
д | 16±0,64 | 16,1±0,75 | 17,20±0,68 | 18,50±1,08 | 19,50±0,85 | 21,80±1,77 | 19,90±0,65 | 20,60±0,71 | 20,70±0,98 | 21,70±0,63 | |
Площадь тела1, м2 Body surface1 (m2) | м | 0,98±0,03 | 1,04±0,02 | 1,08±0,03 | 1,14±0,03 | 1,25±0,04* | 1,38±0,04* | 1,47±0,04 | 1,60±0,03* | 1,64±0,05 | 1,71±0,03 |
д | 0,91±0,02 | 0,98±0,02* | 1,07±0,03* | 1,18±0,04* | 1,33±0,03* | 1,39±0,03 | 1,46±0,03 | 1,48±0,03& | 1,50±0,04& | 1,53±0,02& | |
Примечание. 1 параметрический критерий t-Стьюдента, М±m; 2 непараметрический критерий Манна–Уитни MD (Q1–Q3).
Note. 1parametric t-Student test, M±m; 2nonparametric Mann-Whitney test MD (Q1–Q3).
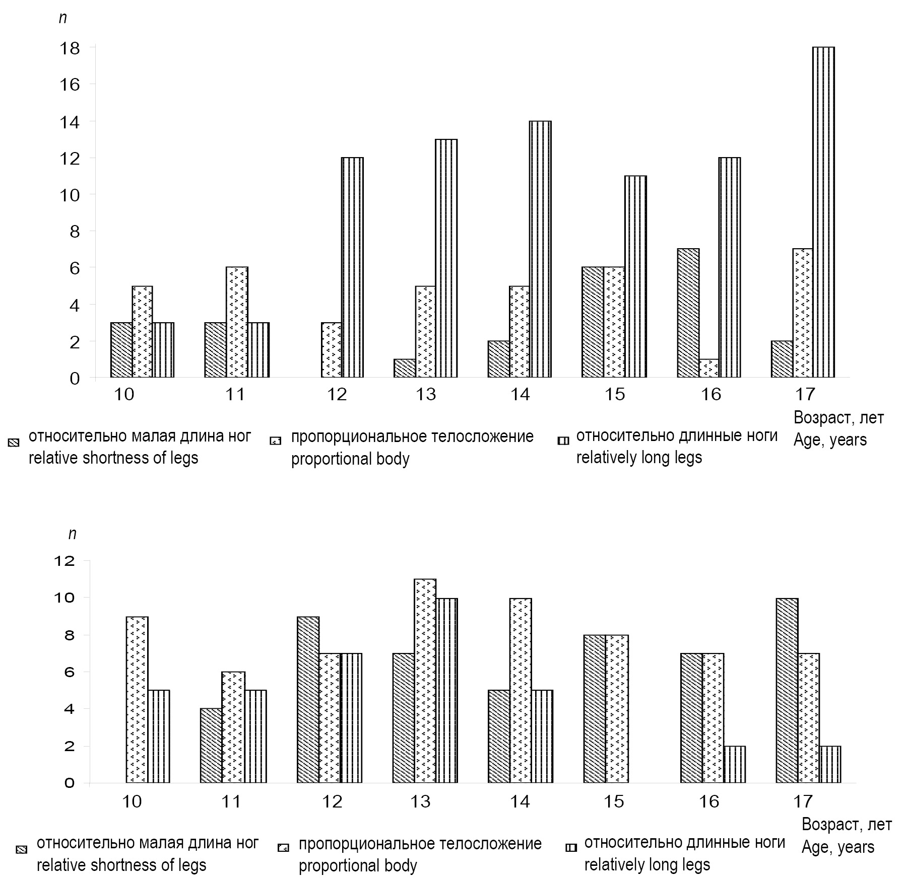
У мальчиков и девочек ИП характеризовался снижением средних значений, вплоть до 17-летнего возраста (чем ниже ИП, тем выше крепость телосложения). Половые различия по данному показателю наблюдались только в 15 лет, значения были меньше у девочек. Показатель ПТ имеет статистически значимые различия в 10–11 лет у девочек и 11–12 лет у мальчиков. Распределение школьников по типам телосложения показало их значительную вариативность в возрастных группах (рис. 2).
Рис. 2. Частота встречаемости типов пропорциональности телосложения у мальчиков (а) и девочек (b).
Fig. 2. Prevalence of different body proportionality types among boys (a) and girls (b).
Среди мальчиков увеличение ДТ в 11–12 лет идет за счёт относительного увеличения длины ног с последующим нарастанием частоты их встречаемости в старших возрастных группах. В отличие от мальчиков, распространённость ПТ у девочек имела инвертированную U-образную форму. Преобладающий вклад в изменение ДТ наблюдается за счёт относительного увеличения длины ног только в возрастных группах до 13 лет, а в последующих возрастах их численным уменьшением на фоне других вариантов телосложения.
ОБСУЖДЕНИЕ
Средние значения ДТ у обследованных мальчиков и девочек из числа аборигенного населения практически во всех возрастных группах были ниже разработанных нормативных показателей для коренного населения Магаданской области, тогда как по МТ в большинстве групп наблюдались сопоставимые значения [10]. Полученные данные согласуются с результатами сравнительных исследований морфофункционального развития детей и подростков, в которых доказано, что у большинства аборигенных народов (коренных малочисленных народов Севера) ДТ и МТ ниже стандартов нормативных значений [1, 11, 12].
Антропометрические показатели отражают соматические признаки половой дифференцировки и являются важными показателями физического развития ребёнка и успешного старта полового созревания. Это наблюдается в ускорении ростовых процессов, при этом пик ростовой активности у девочек наступает раньше мальчиков [5]. Ранее в исследованиях А.Я. Соколова и соавт. [13] были показаны половые и этнические различия физического развития 11–16-летних подростков Северо-Востока России. Установлено, что у проживающих в прибрежных регионах пришлых мальчиков-подростков период «острого» пубертата приходится на 12–13 лет, у аборигенов — на 13–14 лет. У пришлых девочек отчётливый пубертатный скачок по ДТ отмечен в 11–13 лет, у аборигенок — в 12–14 лет. Аборигены характеризуются более поздним пубертатным спуртом и замедленной скоростью прироста ДТ после периода «острого» пубертата.
Согласно исследованиям [14], у родившихся и постоянно проживающих в Магадане современных школьников из представителей европеоидной расы в возрастной период с 10 до 17 лет ДТ у девочек и мальчиков увеличилась на 24,9 см и 35,9 см, МТ — 22,7 кг и 33,1 кг, ОГК — 16,1 см и 20,3 см соответственно. Сроки наступления годовых скачков прироста МТ у современных мальчиков наблюдаются в период 12–13 лет, ДТ и ОГК — в период 12–14 лет с последующим снижением скорости роста всех антропометрических показателей. У современных девочек активная прибавка МТ, ДТ, ОГК начинается в 11–13 лет, при этом в 16–17 лет вновь происходит незначительное увеличение ОГК.
По нашим данным, в возрастной период с 10 до 17 лет у девочек и мальчиков из аборигенного населения увеличение ДТ (на 24,7 см и 37,2 см), МТ (на 23,4 кг и 30,0 кг), ОГК (на 19,1 см и 20,9 см) не уступает школьникам из представителей европеоидной расы. Для мальчиков и девочек аборигенного населения характерно смещение на более ранние сроки годовых скачков по ряду показателей и более длительный пролонгированный период изменения параметров тела. У мальчиков-аборигенов ДТ увеличивается в период 13–15 лет за счёт Рс со снижением последующей погодовой прибавки. Продольные изменения параметров тела мальчиков также связаны с относительным увеличением длины ног с 12 до 17 лет, на что указывают средние значения индекса ПТ, отражающего увеличение процентного отношения длины ног к ДТ (ПТ >92%). Показано, что у юношей из числа аборигенного населения Магаданской области продолжаются дальнейшие приросты ДТ в 18 лет и в 20–21 год за счёт увеличения Рс [15]. Согласно средним значениям ПТ, для девочек с 11 до 14 лет характерен пропорциональный тип телосложения, в старших возрастных группах цифровые значения указывают на относительно малую длину ног (ПТ <87%). Это отражает сохранение общей тенденции длины конечностей у представителей арктического адаптивного типа. Также в исследованиях Т.И. Алексеевой [16] подчеркивается, что общими чертами в арктических группах являются почти полное отсутствие астенического типа телосложения, значительный процент лиц мускульного типа, значительное развитие грудной клетки преимущественно цилиндрической формы.
Динамика ростовых процессов с 8 до 17 лет показывает увеличение ОГК у мальчиков и девочек — на 22,7 и 20,8 см соответственно. Данные особенности связаны с высокими темпами развития грудной клетки у девочек в пубертатный период. О слабом развитии грудной клетки среди мальчиков свидетельствует ИБ <50%, тогда как среди девочек преобладают средние значения (ИБ в диапазоне 50–55%), указывающие на хорошее развитие грудной клетки. В соответствии с классификацией М.В. Черноруцкого, мальчики во всех возрастах характеризуются очень слабым телосложением с преобладанием астенического соматотипа [17]. У девочек проявляются аналогичные конституциональные особенности, но в старших возрастах преобладает нормостенический тип конституции. Варианты среднего и хорошего телосложения практически в 2 раза чаще встречаются у девочек по сравнению с мальчиками — 27,4 и 14,4% (р=0,002). Ростовые процессы не завершаются в юношеском возрасте, в 19–21 лет аборигены характеризуются средним телосложением и нормостеническим типом конституции [15].
В настоящее время во всем мире выявлено увеличение числа детей и подростков с избыточной МТ и ожирением. Для определения данных отклонений физического развития людей рекомендуемым параметром является ИМТ [18]. По нашим данным, у мальчиков и девочек в возрастной динамике с 8 до 17 лет средние значения показателя ИМТ закономерно увеличивались на 3,2 и 5,7 кг/м2 соответственно. В возрастных группах ИМТ не превышал общероссийских нормативов для детей и подростков в соответствии с возрастом и полом [19]. При этом в половозростных группах статистически значимые различия отсутствуют. Площадь тела является одним из важных адаптивных показателей теплоотдачи с поверхности тела, которая в динамике с 8 до 17 лет у мальчиков увеличилась на 75%, у девочек — на 68%.
Показатели динамометрии кистей рук — важная характеристика физической силы и состояния здоровья в целом у детей [20]. В период с 8 до 17 лет выраженный прирост этого параметра был у мальчиков: увеличение динамометрии правой и левой кистей рук составило 28,1 и 28,5 кг, у девочек — 20,4 и 19,3 кг соответственно. Силовые показатели статистически значимо не изменяются в погодовой динамике у девочек после 12 лет, что может свидетельствовать о снижении темпов формирования мышечной массы и мышечной силы к концу пубертатного периода. Это определяет половозрастные особенности силовых показателей в подростковом возрасте, которые были выше у мальчиков по сравнению с девочками. Согласно исследованиям [15], силовые показатели в группе юношей продолжают увеличиваться гетерохронно до 20–21-летнего возраста. При этом более выраженный прирост силовых показателей за возрастной период с 17 до 21 года установлен в группе юношей-аборигенов, чем у европеоидов.
Воздействие факторов среды приводит к изменению продолжительности и интенсивности ростовых процессов, что способствует появлению региональных особенностей роста и развития, которые могут радикально отличаться от общепринятых нормативов. Как отмечается в многочисленных исследованиях, применение в диагностике общероссийских центильных шкал (нормативов, стандартов) для детей и подростков аборигенного населения может стать причиной гиподиагностики, в том числе артериального давления [1, 11, 12, 21]. Методически правильное определение категории нормы и отклонений позволяет при скрининговых исследованиях школьников выделить группы повышенного риска, рекомендовать профилактические или лечебные мероприятия.
ЗАКЛЮЧЕНИЕ
Формирование возрастных и половых различий у аборигенного населения Северо-Востока России происходит в пубертатный период, когда резко изменяется гормональный баланс в организме. При этом у девочек выраженный период отмечается в 11–12 лет и характеризуется интенсивным увеличением анализируемых тотальных показателей физического развития. После пубертатного спурта у девочек скорость роста значительно снижается, показатели физического развития изменяются более плавно по сравнению с мальчиками. Тогда как у мальчиков интенсивные ростовые изменения пролонгированы до ростового скачка в 14–15 лет, которые в последующем замедляются.
Поскольку девочки достигают дефинитивного морфологического статуса раньше мальчиков, то половые различия в возрастной динамике особенно заметны именно в 15–17 лет. Половые особенности по темпам роста связаны в первую очередь с различиями в скорости роста конечностей (ног), которая выше у мальчиков. Также наблюдаются высокие темпы увеличения ДТ у мальчиков-подростков.
При этом девочки не уступают мальчикам по показателям ОГК, что определяет их конституциональные особенности тела. Мальчики характеризуются слабым телосложением с преобладанием астенического соматотипа (длинные ноги, слабое развитие грудной клетки). Среди девочек наиболее часто встречается пропорциональный тип телосложения и высокая доля лиц с относительно малой длиной ног. Полученные данные позволяют полагать, что у девочек определяются наилучшие показатели крепости телосложения и уровень физического развития, чем у мальчиков.
Половая дифференциация в этот период осуществляется также на основе признаков, характеризующих энергетические процессы. При этом адаптивные изменения основных антропометрических показателей у девочек направлены на снижение теплоотдачи с поверхности тела. И здесь наибольшую адаптивную значимость приобретают ДТ, относительная длина ног, площадь тела, которые меньше у девочек.
Несмотря на метизацию аборигенного населения, у девочек в большей степени сохраняются параметры физического развития арктического адаптивного типа по сравнению с мальчиками, что согласуется с фактом большей экочувствительности мужского пола к социально-экономическим изменениям в обществе.
ДОПОЛНИТЕЛЬНАЯ ИНФОРМАЦИЯ
Источники финансирования. Работа выполнена за счёт бюджетного финансирования НИЦ «Арктика» ДВО РАН в рамках темы «Изучение межсистемных и внутрисистемных механизмов реакций в формировании функциональных адаптивных резервов организма человека «северного типа» на разных этапах онтогенеза лиц, проживающих в дискомфортных и экстремальных условиях с определением интегральных информативных индексов здоровья» (рег. номер АААА-А21-121010690002-2).
Информированное согласие на участие в исследовании. Все законные представители участников до включения в исследование добровольно подписали форму информированного согласия.
Конфликт интересов. Авторы декларируют отсутствие явных и потенциальных конфликтов интересов, связанных с публикацией настоящей статьи.
ADDITIONAL INFORMATION
Funding source. The study was performed with the state budget funding by the Scientific Research Center “Arktika”, Far Eastern Branch of the Russian Academy of Sciences, as part of the implementation of the topic “Study of intersystem and intrasystem mechanisms of reactions in the formation of functional adaptive reserves of the human body of the “Northern type” at different stages of ontogenesis of people living in uncomfortable and extreme conditions, with defining integral informative indices of health” (Reg. No. AAAAA21-121010690002-2).
Patients’ consent. Before inclusion in the study, all parents of participants provided written informed consent for voluntary participation.
Competing interests. The author declares no competing interests.
About the authors
Alesya N. Loskutova
Scientific Research Center «Arktika» Far Eastern Branch of the Russian Academy of Sciences
Author for correspondence.
Email: lesa82@inbox.ru
ORCID iD: 0000-0001-5350-8893
SPIN-code: 2570-0124
Cand. Sci. (Biology)
Russian Federation, 24 avenue Karl Marx, Magadan, 685000References
- Kozlov A, Vershubsky G. Medical Anthropology of thе Native Inhabitants of the North of Russia. Moskow: MNEPU Publ; 1999. (In Russ.).
- Averyanova IV, Maksimov AL. Adaptation of functional systems in different generations of Caucasians in the North-East of Russia. Ekologiya cheloveka (Human Ecology). 2023;30(4):259–273. EDN: EPDVUK doi: 10.17816/humeco321856
- Astahova TA, Rychkova LV, Pogodina AV, et al. Status of health of adolescents of main ethnic groups of Eastern Siberia. Medical News of North Caucasus 2018;13(1–1):14–17. EDN: MCQNVA doi: 10.14300/mnnc.2018.13004
- Nadtochiy LA, Smirnova SV, Bronnikova EP. The depopulation of indigenous and small-numbered peoples and problem of preserving of ethnic groups of the north-east of hanty. Ekologiya cheloveka (Human Ecology). 2015;22(3):3–11. EDN: TMITDX doi: 10.17816/humeco17087
- Bezrukikh MM, Sonkin VD, Farber DA. Age physiology (Physiology of child development). Moscow: Akademiya; 2003. EDN: QKQNIL
- Sukhanova IV, Vdovenko SI, Maximov AL. Morphofunctional profiles observed in male subjects inhabiting different climato-geographic areas of Magadan region. Ekologiya cheloveka (Human Ecology). 2010;(3):24–30. EDN: KZVBBV
- Khakhovskaya LN. The modern social-economical status of indigenous population in the North Even area of Magadan region. The Bulletin of the North-East Scientific Center. 2007;(4):98–104. EDN: KUHHSR
- Results of the 2020 All-Russian Population Census. Available from: https://27.rosstat.gov.ru/folder/64093 Accessed: Dec 25, 2023. (In Russ.)
- Bunak VV. Anthropometry. Moscow: Uchpedgiz; 1941. (In Russ.).
- Nikitjuk DB, Popov VI, Skoblina NA., et al. Standards for assessing the physical development of children and adolescents in the Russian Federation. Part 2. Moscow: Nauchnaya kniga; 2023. (In Russ.) EDN: SWBDWI
- Baitrak OA, Mescheryakov VV, Girsh YaV. Characteristics of sexual development of ethnic hanty and alien population in the Middle Ob region. Doctor.Ru. 2021;20(3):45–49. EDN: ZENXHM doi: 10.31550/1727-2378-2021-20-3-45-49
- Nifontova OL. Konkova KS. Physical development of high school students living on the territory of Khanty-Mansi autonomous okrug — Ugra. Ekologiya cheloveka (Human Ecology). 2018;(10):24–31. EDN: YLBXOH doi: 10.33396/1728-0869-2018-10-24-31
- Sokolov AYa, Grechkina LI. Sex-related and ethnic differences of physical development of adolescents in Russian North-East. Ekologiya cheloveka (Human Ecology). 2008;(8):22–25. EDN: JUUNGB
- Karandasheva VO. Child and adolescent anthropometric dynamics in ontogeny of 10-17 age in regional aspect of Magadan. Lomonosov Journal of Anthropology (Moscow University Anthropology Bulletin). 2023;(3):41–51. EDN: QKIRZP doi: 10.32521/2074-8132.2023.3.041-051
- Averyanova IV. Age-related anthropometric characteristics of young aboriginal residents in the Northeast of Russia. Ekologiya cheloveka (Human Ecology). 2020;27(7):21–26. EDN: GRMIDZ doi: 10.33396/1728-0869-2020-7-21-26
- Alexeeva TI. Geographic Environment and Human Biology. Moscow: Mysl’; 1977. (In Russ.)
- Yur’ev VV, Simakhodskiy AS, Voronovich NN, Khomich MM. Growth and Developments of a Child. Saint Petersburg: Piter; 2007. (In Russ.) EDN: VSLEZZ
- World Health Organisation (WHO). Adolescent Health. Available at: https://www.who.int/ru/health-topics/obesity#tab=tab_1 Accessed: Dec 25, 2023.
- Aleksandrov AA, Kisliak OA, Leontyeva IV. Clinical guidelines on arterial hypertension diagnosis, treatment and prevention in children and adolescents. Systemic Hypertension. 2020;17(2):7–35. EDN: MIRZHC doi: 10.26442/2075082X.2020.2.200126
- Milushkina OYu, Skoblina NA, Prusov PK, et al. The influence of physical development indicators on the formation of muscle strength in adolescent boys. Pacific Medical Journal. 2018;(2):66-69. EDN: XPUYHJ doi: 10.17238/PmJ1609-1175.2018.2.66-69
- Baitrak OA, Meshcheryakov VV, Somova TM. Comparative analysis of indicators of blood pressure in children and adolescents of foreign and indigenous population in the Middle Priobye. Vestnik Surgu. Medicina. 2020;(2):33–44. EDN: TXJTMZ doi: 10.34822/2304-9448-2020-2-33-40
Supplementary files





