Persistent Organic Toxicants in Breast Milk of Women From the Sakhalin Region and Health Risk Assessment for Infants
- Authors: Mironova E.K.1, Karakulova A.I.1, Donets M.M.2, Litvinenko A.V.2,3, Tsygankov V.Y.2
-
Affiliations:
- Far Eastern Federal University
- Pacific Geographical Institute оf the Far Eastern Branch of the Russian Academy of Sciences
- Sakhalin State University
- Issue: Vol 32, No 8 (2025)
- Pages: 547-558
- Section: ORIGINAL STUDY ARTICLES
- Submitted: 25.12.2024
- Accepted: 05.09.2025
- Published: 09.10.2025
- URL: https://hum-ecol.ru/1728-0869/article/view/643314
- DOI: https://doi.org/10.17816/humeco643314
- EDN: https://elibrary.ru/CLHHCH
- ID: 643314
Cite item
Full Text
Abstract
BACKGROUND: According to the World Health Organization, the most reliable indicator of the adverse impact of persistent organic pollutants on human health is their concentration in breast milk. As humans occupy the top of the trophic chain, breast milk analysis provides insights into potential sources of environmental contamination and allows assessment of health risks for newborns.
AIM: The work aimed to determine the levels of organochlorine pesticides (hexachlorocyclohexane and dichlorodiphenyltrichloroethane) and polychlorinated biphenyls in breast milk of women from the Sakhalin Region, and to assess the health risks for infants consuming breast milk containing persistent organic pollutants.
METHODS: It was a series of cross-sectional studies (in 2022 and 2023). Samples of breast milk from women permanently residing in the Sakhalin Region were analyzed. Sampling was performed by professionals from several healthcare institutions with written informed consent obtained from participants. Concentrations of organochlorine pesticides and polychlorinated biphenyls in breast milk were determined using gas chromatography–mass spectrometry.
RESULTS: A total of 57 breast milk samples from women residing in the Sakhalin Region were analyzed: 26 samples in 2022 and 31 samples in 2023. Persistent organic pollutants were detected in all samples. Elevated concentrations of dichlorodiphenyltrichloroethane and hexachlorocyclohexane may be associated with periodic outbreaks of pests and subsequent forest treatment with pesticides. The detection of polychlorinated biphenyls indicates technogenic contamination of the environment, primarily from shipping activities and equipment containing these substances (transformers, capacitors, and other devices). The predominance of β-hexachlorocyclohexane, dichlorodiphenyldichloroethylene metabolites, and polychlorinated biphenyls with medium and high degrees of chlorination suggests active degradation of toxicants in the environment and their long-term presence in the Sakhalin Region. Health risk assessment in infants showed that estimated daily intake did not exceed threshold values, confirming the safety of breastfeeding. Comparison of obtained results with global research indicates the establishment of a worldwide background level of persistent organic pollutants, which can be traced across different regions of the world.
CONCLUSION: The total content of persistent organic pollutants in breast milk indicates ongoing degradation processes of parent compounds in the environment and their long-standing presence in the Sakhalin Region. Health risk assessment for infants revealed no exceedance of threshold values, confirming the safety of breastfeeding. At the same time, the findings highlight the need for regular monitoring of persistent organic pollutant concentrations.
Full Text
Обоснование
Грудное молоко является оптимальным видом питания, обеспечивающим здоровый рост и развитие новорождённых. По данным Всемирной организации здравоохранения, грудное вскармливание считают наиболее эффективным способом снижения смертности детей в возрасте до 5 лет [1]. Младенцы находятся на этапе активного роста и развития, поэтому на их здоровье значительно влияет присутствие различных примесей в грудном молоке. В случае, если оно является единственным источником пищи, существует риск воздействия опасных токсикантов, включая стойкие органические загрязнители (СОЗ). Поскольку их использование было широко распространено на территории бывшего Союза Советских Социалистических Республик во второй половине XX века, многие из этих соединений до настоящего времени выявляют как в местах их прежнего применения и хранения, так и в удалённых (арктических) регионах вследствие трансграничного переноса [1]. Опасность СОЗ обусловлена их высокой устойчивостью в окружающей среде, способностью к биоаккумуляции, а также широким спектром токсического воздействия (канцерогенного, тератогенного, гормонального, неврологического, иммунологического и др.) [2]. Одним из наиболее достоверных индикаторов негативного воздействия СОЗ на здоровье человека, согласно рекомендациям Всемирной организации здравоохранения, является определение их содержания в грудном молоке женщин1. Таким образом, учитывая, что человек находится на вершине трофической пирамиды, исследование грудного молока позволяет выявить потенциальные источники загрязнения в окружающей среде и оценить риски для здоровья новорождённых.
Цель
Определение хлорорганических пестицидов (ХОП) [гексахлорциклогексана (ГХЦГ) и дихлордифенилтрихлорэтана (ДДТ)] и полихлорированных бифенилов (ПХБ) в грудном молоке женщин Сахалинской области, а также оценка риска для здоровья младенцев при употреблении грудного молока, содержащего СОЗ.
Методы
Дизайн исследования
Проведена серия одномоментных исследований (в 2022 и 2023 гг.).
Условия проведения исследования
В 2022 и 2023 гг. изучены образцы грудного молока женщин, проживающих на территории Сахалинской области. Работа является этапом регулярного мониторинга СОЗ в связи с планом выполнения Российской Федерацией обязательств, предусмотренных Стокгольмской конвенцией о СОЗ2.
Пробы грудного молока собирали с помощью сотрудников нескольких учреждений здравоохранения при наличии письменного согласия у участниц исследования. Образцы замораживали при температуре –20 ºС и далее транспортировали в лабораторию. Хлорорганические соединения извлекали экстракцией n-гексаном с последующим разрушением жировых компонентов концентрированной серной кислотой [3].
Критерии соответствия
Критерии включения:
- женщины, постоянно проживающие на территории Сахалинской области;
- возраст — от 20 до 43 лет;
- отсутствие острых инфекционных и тяжёлых хронических заболеваний, влияющих на метаболизм токсических веществ;
- наличие письменного информированного согласия на участие в исследовании.
Критерии невключения:
- отсутствие грудного вскармливания в момент исследования;
- острые инфекционные и тяжёлые хронические заболевания, влияющие на метаболизм токсических веществ;
- приём лекарственных средств или пищевых добавок, способных изменить метаболизм или концентрацию токсинов в грудном молоке;
- непостоянное проживание на территории Сахалинской области.
Целевые показатели исследования
Основной показатель исследования
В качестве основного показателя исследования рассматривали определение содержания ХОП (ГХЦГ и ДДТ) и ПХБ в грудном молоке женщин Сахалинской области.
Дополнительные показатели исследования
Оценка риска для здоровья младенцев при употреблении грудного молока, содержащего СОЗ.
Методы измерения целевых показателей
Химический анализ
Для приготовления стандартных растворов ХОП [α-, β-, γ-, δ-ГХЦГ, o.p’-ДДТ, p.p’-ДДТ, o.p’-дихлордифенилдихлорэтан (ДДД), p.p’-ДДД, o.p’-дихлордифенилдихлорэтилен (ДДЕ), p.p’-ДДЕ] и ПХБ (28, 52, 101, 118, 153, 138, 180) использовали стандартные образцы [Dr. Ehrenstorfer, Германия; AccuStandard, Соединённые Штаты Америки (США) и Sigma Aldrich, США и Германия] с установленными метрологическими характеристиками — содержание основного вещества 99,5–99,9% с погрешностью определения 0,3%. Для хроматографии использовали рабочие стандартные растворы СОЗ в диапазоне концентрации 1–100 нг/мл, приготовленные путём разбавления растворов стандартов соответствующим объёмом очищенного п-гексана.
Инструментальный анализ
Массовое содержание СОЗ в грудном молоке определяли методом газовой хромато-масс-спектрометрии на газовом хромато-масс-спектрометре GCMS-QP2010Ultra® (Shimadzu, Япония). Более подробные параметры прибора представлены в нашей предыдущей работе [4].
Оценка риска для младенцев
Для оценки суточного потребления СОЗ младенцами мы рассчитывали суточное употребление токсиканта с пищей (Estimated Daily Intake, EDI) по концентрации ксенобиотиков в грудном молоке. Предполагается, что ребёнок массой тела 5 кг потребляет около 700 г грудного молока в день [5]. Средние суточные нормы потребления СОЗ младенцем из грудного молока оценивали по следующему уравнению:
(1)
где EDI — предполагаемая суточная доза, нг/кг массы тела в день; Cmilk — концентрация СОЗ в грудном молоке, нг/г липидов; F — процентное содержание жира (1% — 0,01). Потребление СОЗ младенцами сравнивали с условно переносимым суточным поступлением (Provisional Tolerable Daily Intake, PTDI), рекомендованным Объединённым экспертным комитетом Продовольственной и сельскохозяйственной организации Объединённых Наций и Всемирной организацией здравоохранения по пищевым добавкам1 [6].
Этическая экспертиза
Проведение исследования одобрено локальным этическим комитетом при Школе биомедицины Дальневосточного федерального университета (протокол заседания № 5 от 19.12.2017). Все участницы исследования до включения в исследование добровольно подписали форму информированного согласия, утверждённую этическим комитетом в составе протокола.
Статистические процедуры
Запланированный размер выборки
Размер выборки предварительно не рассчитывали в связи со сложностью сбора материала.
Статистические методы
Статистический анализ проводили с помощью пакета IBM SPSS Statistics® 21 (IBM, CША): использовали медианный критерий, критерий Манна–Уитни при доверительном интервале (p ≥0,95). Данные представлены в виде Min–Max (Me), где Min и Max — минимальное и максимальное значение соответственно, а Me — медиана. Данные на рисунках представлены в виде процентных диаграмм и «ящиков с усами», которые отражают минимальные и максимальные значения, процентили и медиану.
Результаты
Характеристики выборки
Всего в исследование включено 57 женщин, постоянно проживающих на территории Сахалинской области. Возраст женщин варьировал от 20 до 43 лет. В 2022 году исследовано 26 образцов грудного молока, в 2023 году — 31.
Основные результаты исследования
ХОП обнаружены во всех пробах грудного молока женщин Сахалинской области за период 2022–2023 гг.
Содержание стойких органических загрязнителей в грудном молоке в 2022 году
Концентрации СОЗ (∑ГХЦГ+∑ДДТ+∑ПХБ) в образцах грудного молока варьировали от 11 до 2553 нг/г липидов (Me 182). Содержание ХОП [∑ изомеров ГХЦГ (α, β, γ, δ), ДДТ и его метаболитов (o.p’-ДДТ, p.p’-ДДТ, o.p’-ДДД, p.p’-ДДД, o.p’-ДДЕ, p.p’-ДДЕ)] находилось в диапазоне 3–2524 нг/г липидов (Me 182). Концентрации конгенеров ПХБ (28, 52, 101, 118, 153, 138, 180) составляли 2–58 нг/г липидов (Me 14). Концентрации ∑ГХЦГ и ∑ДДТ варьировали от 2 до 1071 (Me 10) и от 2 и 2470 нг/г липидов (Me 102) соответственно. Изомеры ГХЦГ обнаружены в 81% проб, при этом наиболее часто встречали β-ГХЦГ (73%). Концентрации отдельных изомеров составили:
- α-ГХЦГ — 3–22 нг/г липидов (Me 5);
- β-ГХЦГ — 2–36 нг/г липидов (Me 7);
- γ-ГХЦГ — 1–10 нг/г липидов (Me 3);
- δ-ГХЦГ — 1–1027 нг/г липидов (Me 3).
Из метаболитов ДДТ наиболее определяемыми были соединения группы ДДЕ: o.p’-ДДЕ (92%) и p.p’-ДДЕ (54%) — 2–76 (Me 31) и 2–2322 нг/г липидов (Me 891) соответственно. В пределах обнаружения оказались o.p’-ДДД (42%) — 24–66 нг/г липидов (Me 37), а также в одной пробе p.p’-ДДТ — 26 нг/г липидов. Следует отметить, что ПХБ обнаружены во всех образцах грудного молока. Наиболее часто выявляли конгенер ПХБ 28, обнаруженный во всех пробах (100%) с концентрацией 2–58 нг/г липидов (Me 10). Кроме того, определяли следующие конгенеры ПХБ:
- ПХБ 52 (19%) — 2–77 нг/г липидов (Me 4);
- ПХБ 153 (15,4%) — 6–10 нг/г липидов (Me 7);
- ПХБ 101 (11,5%) — 20–40 нг/г липидов (Me 34).
В одном образце обнаружен ПХБ 138 — 5 нг/г липидов. Средняя жирность грудного молока у женщин Сахалинской области в 2022 году составила 3,7%.
Содержание стойких органических загрязнителей в грудном молоке 2023 году
Концентрации СОЗ (∑ГХЦГ+∑ДДТ+∑ПХБ) в образцах грудного молока женщин Сахалинской области варьировали от 12 до 190 нг/г липидов (Me 34). Диапазоны концентраций ХОП [∑ изомеров ГХЦГ (α, β, γ, δ), ДДТ и его метаболитов (o.p’-ДДТ, p.p’-ДДТ, o.p’-ДДД, p.p’-ДДД, o.p’-ДДЕ, p.p’-ДДЕ)] и конгенеры ПХБ (28, 52, 101, 118, 153, 138, 180) составили 5–121 (Me 18) и 4–68 нг/г липидов (Me 18) соответственно. Концентрации ∑ГХЦГ и ∑ДДТ варьировали от 1 до 28 (Me 4) и от 3 до 119 нг/г липидов (Me 11) соответственно. Изомеры ГХЦГ обнаружены во всех пробах грудного молока, при этом наиболее часто выявляли α-ГХЦГ (100%). Концентрации отдельных изомеров составили:
- α-ГХЦГ — 1–7 нг/г липидов (Me 3);
- β-ГХЦГ — 2–15 нг/г липидов (Me 5);
- γ-ГХЦГ — 4–10 нг/г липидов (Me 7);
- δ-ГХЦГ обнаружен в одной пробе — 2,4 нг/г липидов.
Из метаболитов ДДТ наиболее определяемыми были соединения группы ДДЕ: p.p’-ДДЕ (100%) и o.p’-ДДЕ (45%) — 3–106 (Me 10) и 2–14 нг/г липидов (Me 4) соответственно. Также в пределах обнаружения оказались o.p’-ДДД (13%) и p.p’-ДДД (16%) — 0,5–0,7 (Me 0,6) и 3–8 нг/г липидов (Me 5) соответственно. ПХБ обнаружены во всех образцах грудного молока. Наиболее часто выявляли конгенер ПХБ 153, обнаруженный в 94% проб с концентрацией 2–30 нг/г липидов (Me 6). Кроме того, определяли следующие конгенеры ПХБ:
- ПХБ 28 (87%) — 1–3 нг/г липидов (Me 1);
- ПХБ 118 (90%) — 2–21 нг/г липидов (Me 6);
- ПХБ 138 (81%) — 3–17 нг/г липидов (Me 5);
- ПХБ 180 (55%) — 3–20 нг/г липидов (Me 7).
Средняя жирность грудного молока у женщин Сахалинской области в 2023 году составила 3,4%.
Дополнительные результаты исследования
На основании содержания СОЗ в грудном молоке рассчитано суточное потребление (EDI) (табл. 1). Концентрации отдельных соединений ХОП и ПХБ, а также ∑ГХЦГ и метаболитов ДДТ за исследуемый период не превышали расчётного суточного потребление.
Таблица 1. Расчётное суточное потребление токсикантов (EDI) младенцами Сахалинской области (2022–2023 гг.) на основе концентраций ксенобиотиков в материнском молоке
Table 1. Estimated daily intake (EDI) of toxicants by infants in the Sakhalin Region (2022–2023) based on xenobiotic concentrations in breast milk
Стойкие органические загрязнители | Расчётное суточное потребление токсикантов, нг/кг массы тела в день | PTDI1 (нг/кг массы тела в день) | |
2022 | 2023 | ||
α-Гексахлорциклогексан | 35,6 | 15,0 | 5000 |
β-Гексахлорциклогексан | 50,6 | 25,8 | |
γ-Гексахлорциклогексан | 19,1 | 27,5 | |
δ-Гексахлорциклогексан | 377,5 | 11,4 | |
ΣГексахлорциклогексан | 482,7 | 79,8 | |
o,p’-Дихлордифенилдихлорэтилен | 174,2 | 24,6 | 10 000 |
p,p’-Дихлордифенилдихлорэтилен | 3964,2 | 52,6 | |
o,p’-Дихлордифенилдихлорэтилен | 194,5 | 2,7 | |
p,p’-Дихлордифенилдихлорэтилен | — | 24,8 | |
o,p’-Дихлордифенилдихлорэтилен | — | — | |
p,p’-Дихлордифенилдихлорэтилен | 98,7 | 34,6 | |
ΣДихлордифенилдихлорэтилен | 4431,5 | 139,2 | |
Полихлорированный бифенил 28 | 67,9 | 7,7 | 1000 |
Полихлорированный бифенил 52 | 19,8 | - | |
Полихлорированный бифенил 101 | 202,0 | 10,1 | |
Полихлорированный бифенил 118 | 23,8 | 28,7 | |
Полихлорированный бифенил 138 | 26,0 | 26,3 | |
Полихлорированный бифенил 143 | — | — | |
Полихлорированный бифенил 153 | 34,1 | 33,6 | |
Полихлорированный бифенил 155 | — | — | |
Полихлорированный бифенил 180 | — | 34,5 | |
ΣПолихлорированные бифенилы | 373,6 | 140,9 | |
Примечание. PTDI (Provisional Tolerable Daily Intake) — условно переносимое суточное поступление, рекомендованное Объединённым экспертным комитетом Продовольственной и сельскохозяйственной организации Объединённых Наций и Всемирной организацией здравоохранения по пищевым добавкам.
Обсуждение
Резюме основного результата исследования
СОЗ обнаружены во всех пробах грудного молока женщин, постоянно проживающих на территории Сахалинской области. Наличие СОЗ в грудном молоке свидетельствует о продолжающихся процессах деградации исходных соединений в окружающей среде и их давнем поступлении на территорию Сахалинской области. При оценке риска для здоровья младенцев превышения пороговых значений не выявлено, что говорит о безопасности грудного вскармливания.
Интерпретация результатов исследования
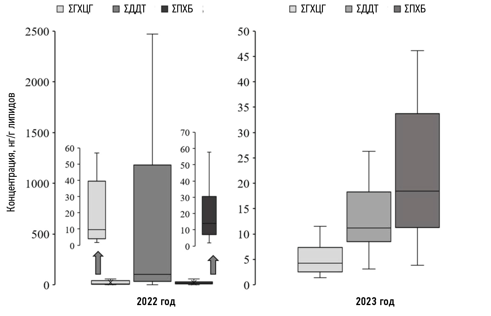
При сравнении концентраций поллютантов в образцах грудного молока, собранных в 2022 и 2023 гг. (рис. 1), статистически значимых различий не выявлено (p ≥0,05).
Рис. 1. Концентрации токсикантов в грудном молоке жительниц Сахалинской области в 2022 и 2023 гг. Данные представлены в виде минимальных и максимальных значений, процентилей и медианы. ГХЦГ — гексахлорциклогексан; ДДТ — дихлордифенилтрихлорметан; ПХБ — полихлорированный бифенил.
Тем не менее концентрации всех исследуемых поллютантов (см. рис. 1) были существенно выше в 2022 году по сравнению с 2023 годом. Высокое содержание ДДТ и присутствие изомеров ГХЦГ в образцах грудного молока у женщин, проживающих на территории Сахалинской области, могут быть обусловлены с периодическими вспышками численности вредителей и последующей обработкой лесных массивов ядохимикатами [7]. Кроме того, эти вещества поступают на остров с материка посредством атмосферных переносов [8]. Наличие таких соединений отражает доминирующую роль химических веществ в защите растений, что в дальнейшем негативно влияет на сельскохозяйственные культуры и, следовательно, на здоровье человека. Согласно постановлению Правительства Сахалинской области № 410 от 27 августа 2010 г.3, на территории острова размещались полигоны для хранения пришедших в негодность или запрещённых пестицидов, и на момент вступления постановления в силу их хранение осуществляли с нарушениями, способными привести к серьёзному загрязнению окружающей среды. Присутствие в пробах концентраций ПХБ указывает на значительный вклад техногенных источников загрязнения, вероятно, связанный с влиянием судоходства и действующих трансформаторов, конденсаторов и прочих агрегатов, содержащих ПХБ [8].
Распределение поллютантов в грудном молоке жительниц Сахалинской области в течение двух лет представлено на рис. 2.
Рис. 2. Распределение стойких органических загрязнителей в грудном молоке женщин Сахалинской области в 2022 и 2023 гг.: a — изомеры гексахлорциклогексана; b — метаболиты дихлордифенилтрихлорметана; c — конгенеры полихлорированных бифенилов. ГХЦГ — гексахлорциклогексан; ДДЕ — дихлордифенилдихлорэтилен; ДДД — дихлордифенилдихлорэтан; ПХБ — полихлорированный бифенил.
Известно, что путь деградации изомеров ГХЦГ протекает от наименее к более устойчивым формам (γ→α→δ→β) [9]. Полученные результаты свидетельствуют о преобладание δ-ГХЦГ (более 70%) в пробах 2022 года и β-ГХЦГ (более 60%) — в 2023 года, что может быть связанно с активной продолжающейся деградации в окружающей среде и давним нахождением этих поллютантов на исследуемой территории. Среди метаболитов ДДТ в 2022 и 2023 гг. преобладали соединения класса ДДЕ, что указывает на распад исходного ДДТ, а также на давнее поступлении в среду этого токсиканта. Среди ПХБ в пробах за весь исследуемый период преобладали средне- и высокохлорированные конгенеры (ПХБ 101, 118, 138, 153 и ПХБ 180 соответственно). Такие соединения имеют более высокую молекулярную массу, менее летучи, более устойчивы в окружающей среде и практически не выводятся из организма [10].
Мы сравнили полученные результаты с данными других исследований, проведённых в России и других стран.
Из табл. 2 видно, что концентрации ΣГХЦГ в пробах 2022 года, полученных в Сахалинской области, находятся примерно на одном уровне с показателями, зафиксированными в таких странах, как Ливия и Саудовская Аравия [11, 12]. Концентрации ΣГХЦГ в пробах грудного молока 2023 года сопоставимы с результатами, полученными в развитых странах, таких как Бельгия, Швеция и Новая Зеландия [13–15]. В то же время содержания ΣГХЦГ в пробах обоих годов ниже, чем в таких развивающихся странах, как Китай, Иран и Вьетнам, где фиксируют значительно более высокие концентрации поллютантов [16–18]. При сравнении концентраций ГХЦГ по регионам России выявлено, что показатели Сахалинской области в 2023 году ниже, чем в Приморском крае, Чукотском автономном округе и Бурятии [19, 20], тогда как результаты 2022 года находятся на одном уровне с данными Приморского края.
Таблица 2. Содержание стойких органических загрязнителей в грудном молоке женщин России и других стран
Table 2. Content of persistent organic pollutants in breast milk of women from Russia and other countries
Регион или страна | Год | Содержание, нг/г липидов | Ссылка | |||
ΣГХЦГ | ΣДДТ | ΣПХБ инд. | ΣПХБ | |||
Сахалинская область** | 2022 | 10 | 102 | 14 | — | Эта работа |
Сахалинская область** | 2023 | 4 | 16,7 | 18 | — | Эта работа |
Чукотский автономный округ | 2019 | 20 | 11 | 24 | 58 | [19] |
Приморский край | 2017–2018 | 76 | 13 | 20 | 78 | [19] |
Иркутск* | 1997–2009 | 4,3 | 534 | 155 | 267 | [27] |
Забайкальский край* | 1997–2009 | 2,5 | 1122 | 106 | 2125 | [27] |
Республика Бурятия* | 2003-2004 | 810 | 660 | — | 240 | [20] |
Австралия** | 2002–2003 | 33,36 | 359 | — | — | [29] |
Бангладеш** | 2018 | 9,42 | 5513 | — | — | [23] |
Иран** | 2018 | 1567 | 1120 | — | — | [16] |
Китай** | 2020 | 638 | 1105 | 9,63 | — | [17] |
Колумбия** | 2016 | 3,93 | — | — | — | [38] |
Корея | 2011 | 24±16 | 114±67 | — | 14,2±11,8 | [30] |
Ливия* | 2007 | 70 | 2201 | — | — | [11] |
Ливан* | 2017 | 8,6±0,6 | 21 | 10,3 | — | [24] |
Мексика | 2004–2014 | 11±192 | 972±828 | — | — | [21] |
Польша | 2020 | 20±6 | 1195±475 | — | 526±3349 | [22] |
Соединённые Штаты Америки | 2004 | 18,9±19 | 65±75 | — | — | [31] |
Северная Танзания** | 2012 | 1,11 | 205 | 4,19 | — | [36] |
Тунис** | 2015 | — | 196,493 | 61,74 | — | [32] |
Турция* | 2021 | — | 1,122±0,5310 | 8,154±2,1794 | — | [37] |
Япония* | 2020 | — | 138,53 | — | — | [33] |
Вьетнам* | 2007–2008 | 1402 | 1200 | — | 84 | [18] |
Индия | 2017 | 47±107 | 519±1017 | — | 33±68 | [8] |
Норвегия* | 2002–2009 | 12,32 | 1671 | — | 541,6 | [28] |
Хорватия* | 2011–2014 | 3,4 | 16,8 | 25 | 66 | [25] |
Чехия | 2022 | 3,627 | 27,3386 | 25,98 | — | [26] |
Новая Зеландия* | 2013 | 8,43±3,42 | 379±421 | — | — | [13] |
Саудовская Аравия* | 2021 | 70,2±302 | 48 | — | — | [12] |
Швеция** | 2021 | 8,12 | 733 | — | — | [14] |
Бельгия** | 2012 | 6,12 | 56,93 | 445 | — | [15] |
Тайвань* | 2000–2001 | 3,4±2,27 | 333±2531 | — | — | [34] |
Пакистан | 2015 | 26,7 | 83,8 | — | — | [35] |
Примечание. 1 — p,p’-дихлордифенилдихлорэтилен и p,p’-дихлордифенилтрихлорметан; 2 — только β-гексахлорциклогексан; 3 — только p,p’-дихлордифенилдихлорэтилен; 4 — полихлорированные бифенилы 138, 153, 180; 5 — полихлорированные бифенилы 28, 52, 101, 118, 138, 153, 180; 6 — без о,p’-дихлордифенилдихлорэтилен; 7 — только β- и γ-гексахлорциклогексан; 8 — полихлорированные бифенилы 28, 101, 138, 153, 180; 9 — полихлорированные бифенилы 81, 77, 123, 118, 114, 105, 126, 167, 156, 157, 169, 189; * — среднее значение; ** — медиана; ГХЦГ — гексахлорциклогексан; ДДТ — дихлордифенилтрихлорметан; ПХБ — полихлорированный бифенил.
Концентрации ΣДДТ в грудном молоке женщин также демонстрируют региональные различия. В большинстве исследованных стран показатели значительно превышают минимальные концентрации, что свидетельствует о широком распространении этого загрязнителя. Особенно высокие концентрации ΣДДТ наблюдают в таких странах, как Вьетнам, Иран, Китай, Польша и Мексика [16–18, 21, 22]. В Сахалинской области концентрации ДДТ в грудном молоке в 2022 году сопоставимы с таковыми в таких странах, как Бангладеш, Индия и Новая Зеландия [6, 13, 23], тогда как в 2023 году — с показателями, характерными для Ливана, Хорватии и Чехии [24–26]. Следует отметить, что концентрации ∑ДДТ в Забайкальском крае остаются одними из самых высоких не только по России, но и в мире в целом [27].
Наиболее высокие концентрации ПХБ среди проанализированных регионов, зарегистрированы в Польше и Норвегии [22, 28]. Концентрации ПХБ, выявленные в настоящем исследовании, сопоставимы с данными, полученными в Чехии [26]. Среди регионов России выявленные показатели сопоставимы с Приморским краем и Чукотским автономным округом [19]. Следует отметить, что в некоторых странах зафиксированы умеренные и низкие содержания отдельных СОЗ (см. табл. 2) [29–38]. Обнаруженные на территориях разных стран концентрации поллютантов указывают на их сформировавшийся глобальный фоновый уровень.
Несмотря на отсутствие риска от употребления грудного молока существуют данные, свидетельствующие о негативном влиянии ПХБ на развитие патологий, снижение иммунитета, замедление роста и набора массы тела ребёнка [10]. Особенно это актуально в ситуациях, когда грудное молоко является единственным источником пищи для новорождённых. Учитывая, что организм младенцев находится в стадии интенсивного роста и формирования, присутствие различных примесей в молоке может спровоцировать отклонения от нормального развития, что подчёркивает необходимость постоянного мониторинга содержания поллютантов в биологических жидкостях человека.
Ограничения исследования
При планировании и проведении исследования размер выборки для достижения требуемой статистической мощности результатов не рассчитывали. В связи с этим полученную выборку участников невозможно считать в достаточной степени репрезентативной, что не позволяет экстраполировать полученные результаты и их интерпретацию на генеральную совокупность аналогичных женщин за пределами исследования.
Заключение
Таким образом, во всех образцах грудного молока обнаружены СОЗ. Их содержание в грудном молоке в 2022 и 2023 гг. указывает на продолжающиеся процессы деградации в окружающей среде исходных соединений, а также наличие давнего поступления этих поллютантов на территорию Сахалинской области.
При сравнении полученных концентраций СОЗ с результатами других стран выявлена неоднородность уровней загрязнения в зависимости от года и региона исследования. Полученные концентрации сопоставимы с результатами подобных исследований в России и в мире. Такие данные свидетельствуют о воздействии СОЗ на окружающую среду и, следовательно, возможном негативном влиянии на экосистемы и здоровье населения в целом.
При оценке риска для здоровья младенцев выявлено, что EDI не превышало пороговых значений, что говорит о безопасности грудного вскармливания. Результаты исследования подтверждают необходимость регулярной оценки СОЗ в биологических жидкостях с целью своевременного выявления потенциальных рисков для здоровья.
Дополнительная информация
Вклад авторов. Е.К. Миронова — сбор биологического материала, анализ литературных данных, написание и редактирование текста рукописи; А.И. Каракулова — подготовка проб для определения, анализ литературных данных, построение таблиц и рисунков; М.М. Донец — инструментальное исследование образцов, редактирование текста рукописи; А.В. Литвиненко — сбор биологического материала, редактирование текста рукописи; В.Ю. Цыганков — общее руководство работой, редактирование текста рукописи. Все авторы одобрили рукопись (версию для публикации), а также согласились нести ответственность за все аспекты работы, гарантируя надлежащее рассмотрение и решение вопросов, связанных с точностью и добросовестностью любой её части.
Благодарности. Авторы выражают свою признательность Областному государственному бюджетному учреждению здравоохранения «Магаданский родильный дом» и Государственному бюджетному учреждению здравоохранения Сахалинской области «Южно-Сахалинская детская городская поликлиника» за предоставление возможности взятия проб грудного молока. Также авторы благодарят сотрудников учреждений здравоохранения В.В. Неверову, В.В. Купину и Т.К. Фигурину за помощь в сборе биологического материала.
Этическая экспертиза. Проведение исследования одобрено локальным этическим комитетом при Школе биомедицины Дальневосточного федерального университета (протокол заседания № 5 от 19.12.2017). Все участницы исследования до включения в исследование добровольно подписали форму информированного согласия, утверждённую в составе протокола исследования этическим комитетом.
Источники финансирования. Исследование проведено с использованием денежных средств гранта Российского научного фонда (грант РНФ № 23-74-10032).
Раскрытие интересов. Авторы заявляют об отсутствии отношений, деятельности и интересов за последние три года, связанных с третьими лицами (коммерческими и некоммерческими), интересы которых могут быть затронуты содержанием статьи.
Оригинальность. При создании настоящей работы применены данные содержания стойких органических загрязнителей в грудном молоке женщин юга и севера Дальнего Востока, использованные при создании ранее опубликованной работы ([DOI:10.47470/0869-7922-2023-31-2-99-108], распространяется на условиях лицензии CC-BY 4.0).
Доступ к данным. Редакционная политика журнала по вопросам доступа к данным к настоящей работе неприменима.
Генеративный искусственный интеллект. При создании настоящей рукописи технологии генеративного искусственного интеллекта не использовали.
Рассмотрение и рецензирование. Настоящая работа подана в журнал в инициативном порядке и рассмотрена по обычной процедуре. В рецензировании участвовали два внешних рецензента, член редакционной коллегии и научный редактор издания.
ADDITIONAL INFORMATION
Author contributions: E.K. Mironova: resources, formal analysis, writing—original draft, writing—review & editing; A.I. Karakulova: investigation, formal analysis, visualization; M.M. Donets: investigation, writing—review & editing; A.V. Litvinenko: resources, writing—review & editing; V.Yu. Tsygankov: supervision, writing—review & editing. All the authors approved the version of the manuscript to be published and agreed to be accountable for all aspects of the work, ensuring that questions related to the accuracy or integrity of any part of the work are appropriately investigated and resolved.
Acknowledgments: The authors express their gratitude to the Magadan Regional Maternity Hospital and the Yuzhno-Sakhalinsk City Children’s Polyclinic of the Sakhalin Region for providing the opportunity to collect breast milk samples. The authors also thank the healthcare professionals V.V. Neverova, V.V. Kupina, and T.K. Figurina for their assistance in collecting biological material.
Ethics approval: The study was approved by the Local Ethics Committee of the School of Biomedicine, Far Eastern Federal University (Protocol No. 5 dated December 19, 2017). All participants provided written informed consent, approved by the Ethics Committee as part of the study protocol, prior to inclusion in the study.
Funding sources: The study was supported by a grant from the Russian Science Foundation (Grant No. 23-74-10032).
Disclosure of interests: The authors have no relationships, activities, or interests for the last three years related to for-profit or not-for-profit third parties whose interests may be affected by the content of the article.
Statement of originality: This article is based on the authors’ own data on the content of persistent organic pollutants in breast milk of women from the south and north of the Far East, which were also used in a previously published study ([DOI: 10.47470/0869-7922-2023-31-2-99-108], distributed under the terms of the CC BY 4.0 license).
Data availability statement: The editorial policy regarding data sharing does not apply to this work.
Generative AI: No generative artificial intelligence technologies were used to prepare this article.
Provenance and peer review: This paper was submitted unsolicited and reviewed following the standard procedure. The peer review process involved two external reviewers, a member of the editorial board, and the in-house scientific editor.
1 The FAO/WHO Codex Alimentarius Commission [Internet]. В: Report of the twenty-eighth session. Rome. 2005–2024. Режим доступа: https://openknowledge.fao.org/server/api/core/bitstreams/ Дата обращения: 12.12.2024.
2 Приказ Министерства природных ресурсов и экологии Российской Федерации № 529 от 03 октября 2017 г. ««Об утверждении Плана выполнения Российской Федерацией обязательств, предусмотренных Стокгольмской конвенцией о стойких органических загрязнителях». Режим доступа: https://www.garant.ru/products/ipo/prime/doc/ Дата обращения: 12.12.2024.
3 Постановление Правительства Сахалинской области № 410 от 27 августа 2010 г. «Об утверждении Положения комиссии по предотвращению бесконтрольного использования на территории Сахалинской области пестицидов и агрохимикатов». Режим доступа: https://www.garant.ru/hotlaw/sahalin/275837/ Дата обращения: 12.12.2024.
About the authors
Ekaterina K. Mironova
Far Eastern Federal University
Author for correspondence.
Email: mironova_kate@bk.ru
ORCID iD: 0000-0002-3746-1084
SPIN-code: 2358-3800
Russian Federation, Vladivostok
Anna I. Karakulova
Far Eastern Federal University
Email: annya0704030@gmail.com
ORCID iD: 0009-0001-7566-6056
Russian Federation, Vladivostok
Maksim M. Donets
Pacific Geographical Institute оf the Far Eastern Branch of the Russian Academy of Sciences
Email: maksim.donecz@mail.ru
ORCID iD: 0000-0002-2108-4448
SPIN-code: 9023-6473
Russian Federation, Vladivostok
Anna V. Litvinenko
Pacific Geographical Institute оf the Far Eastern Branch of the Russian Academy of Sciences; Sakhalin State University
Email: litvinenko.av@bk.ru
ORCID iD: 0000-0002-3423-3860
SPIN-code: 6061-5847
Cand. Sci. (Biology), Associate Professor
Russian Federation, Vladivostok; Yuzhno-SakhalinskVasiliy Yu. Tsygankov
Pacific Geographical Institute оf the Far Eastern Branch of the Russian Academy of Sciences
Email: tsig_90@mail.ru
ORCID iD: 0000-0002-5095-7260
SPIN-code: 5047-8410
Dr. Sci. (Biology), Associate Professor
Russian Federation, VladivostokReferences
- Dudarev AA, Odland JO. Human Health in Connection With Arctic Pollution - Results and Perspectives of International Studies Under the Aegis of Amap. Ekologiya cheloveka (Human Ecology). 2017;24(9):3–14. doi: 10.33396/1728-0869-2017-9-3-14 EDN: ZFVNJL
- Carpenter DO. Effects of Persistent and Bioactive Organic Pollutants on Human Health. New Jersey: John Wiley & Sons; 2013. ISBN: 978-111-867-965-4 doi: 10.1002/9781118679654
- Tsygankov VY, Boyarova MD, Kiku PF, Yarygina MV. Hexachlorocyclohexane (HCH) in Human Blood in the South of the Russian Far East. Environmental Science and Pollution Research. 2015;22(18):14379–14382. doi: 10.1007/s11356-015-4951-3 EDN: UZYOXD
- Tsygankov V, Donets MM, Gumovskaya YuP, et al. Methods to Determine Persistent Organic Pollutants in Various Components of Ecosystems in the Far Eastern Region. In: Persistent Organic Pollutants in the Ecosystems of the North Pacific. Cham: Springer; 2023. P. 49–56. doi: 10.1007/978-3-031-44896-6_2 EDN: XWKCJQ
- Van Oostdam J, Donaldson SG, Feeley M, et al.. Human Health Implications of Environmental Contaminants in Arctic Canada: A Review. Sci Total Environ. 2005;351-353:165–246. doi: 10.1016/j.scitotenv.2005.03.034
- Bawa P, Bedi JS, Gill JPS, et al. Persistent Organic Pollutants Residues in Human Breast Milk from Bathinda and Ludhiana Districts of Punjab, India. Archives of Environmental Contamination and Toxicology. 2018;75(4):512–520. doi: 10.1007/s00244-018-0512-3 EDN: VRSIJB
- Kuznetsov VN. On the Problem of Gypsy Moth (Lymandtria dispar L.) and Siberian (Dendrolimus superans Bult) Silkworms in Primorsky Krai. Bulletin of the Far Eastern Branch of the Russian Academy of Sciences. 1997;(3):24–31. (In Russ).
- Khristoforova NK, Latkovskaya EM. Chloroorganic Compounds in the bays of northeastern Sakhalin. Bulletin of the Far Eastern Branch of the Russian Academy of Sciences.1998;(2):34–44. (In Russ.). EDN: TRHDON
- Wu L, Liu Y, Liu X, et al. Isotope Fractionation Approach to Characterize the Reactive Transport Processes Governing the fate of Hexachlorocyclohexanes at a Contaminated Site in India. Environment International. 2019;132:105036. doi: 10.1016/j.envint.2019.105036
- Raffetti E, Donato F, De Palma G, et al. Polychlorinated biphenyls (PCBs) and risk of hypertension: A population-based cohort study in a North Italian highly polluted area. Science of The Total Environment. 2020;714:136660. doi: 10.1016/j.scitotenv.2020.136660 EDN: WAMRID
- Zeinab HM, Refaat G, El-Dressi AY. Organochlorine Pesticide Residues in Human Breast Milk in El-Gabal Al-Akhdar, Libya. In: Proceedings of the International Conference on Life Science and Technology IPCBEE. Singapore: IACSIT Press; 2011.
- EL-Saeid MH, Hassanin AS, Bazeyad AY. Levels of Pesticide Residues in Breast Milk and the Associated Risk Assessment. Saudi Journal of Biological Sciences. 2021;28(7):3741–3744. doi: 10.1016/j.sjbs.2021.04.062 EDN: GKTICU
- Mannetje A, Coakley J, Bridgen P, et al. Current Concentrations, Temporal Trends and Determinants of Persistent Organic Pollutants in Breast Milk of New Zealand Women. Science of The Total Environment. 2013;458-460:399–407. doi: 10.1016/j.scitotenv.2013.04.055
- Gyllenhammar I, Aune M, Fridén U, et al. Are Temporal Trends of Some Persistent Organochlorine and Organobromine Compounds in Swedish Breast Milk Slowing Down? Environmental Research. 2021;197:111117. doi: 10.1016/j.envres.2021.111117 EDN: FEWFFG
- Croes K, Colles A, Koppen G, et al. Persistent Organic Pollutants (POPs) in Human Milk: A Biomonitoring Study in Rural Areas of Flanders (Belgium). Chemosphere. 2012;89(8):988–994. doi: 10.1016/j.chemosphere.2012.06.058
- Shahmoradi B, Maleki A, Kohzadi S, et al. Levels of Organochlorine Pesticides in Human Breast Milk in Marivan, West of Iran. Journal of Advances in Environmental Health Research. 2019;7(1):32–37. doi: 10.22102/JAEHR.2019.155318.110
- Hu L, Luo D, Wang L, et al. Levels and Profiles of Persistent Organic Pollutants in Breast Milk in China and Their Potential Health Risks to Breastfed Infants: A Review. Science of The Total Environment. 2021;753:142028. doi: 10.1016/j.scitotenv.2020.142028 EDN: BHKPKV
- Haraguchi K, Koizumi A, Inoue K, et al. Levels and Regional Trends of Persistent Organochlorines and Polybrominated Diphenyl Ethers in Asian Breast Milk Demonstrate POPs Signatures Unique to Individual Countries. Environment International. 2009;35(7):1072–1079. doi: 10.1016/j.envint.2009.06.003 EDN: MMTEJD
- Mironova EK, Donets MM, Gumovskiy AN, et al. Organochlorine Pollutants in Human Breast Milk from North of the Far Eastern Region of Russia. Bulletin of Environmental Contamination and Toxicology. 2023;110(5):95. doi: 10.1007/s00128-023-03732-6 EDN: OMSPUD
- Tsydenova OV, Sudaryanto A, Kajiwara N, et al. Organohalogen Compounds in Human Breast Milk from Republic of Buryatia, Russia. Environmental Pollution. 2007;146(1):225–232. doi: 10.1016/j.envpol.2006.04.036 EDN: LKONVF
- Chávez-Almazán LA, Diaz-Ortiz J, Alarcón-Romero M, et al. Organochlorine Pesticide Levels in Breast Milk in Guerrero, Mexico. Bulletin of Environmetal Contamination and Toxicology. 2014;93(3): 294–298. doi: 10.1007/s00128-014-1308-4
- Grešner P, Zieliński M, Ligocka D, et al. Environmental exposure to persistent organic pollutants measured in breast milk of lactating women from an urban area in central Poland. Environmental Science and Pollution Research. 2020;28(4):4549–4557. doi: 10.1007/s11356-020-10767-3 EDN: DVUENH
- Bergkvist C, Aune M, Nilsson I, et al. Occurrence and Levels of Organochlorine Compounds in human breast milk in Bangladesh. Chemosphere. 2012;88(7):784–790. doi: 10.1016/j.chemosphere.2012.03.083 EDN: PHSSTR
- Helou K, Harmouche-Karaki M, Karake S, Narbonne JF. A Review of Organochlorine Pesticides and Polychlorinated Biphenyls in Lebanon: Environmental and Human Contaminants. Chemosphere. 2019;231: 357–368. doi: 10.1016/j.chemosphere.2019.05.109
- Jovanović G, Romanić SH, Stojić A, et al. Introducing of Modeling Techniques in the Research of POPs in Breast Milk-A Pilot Study. Ecotoxicology and Environmental Safety. 2019;172:341–347.
- Parizek O, Gramblicka T, Parizkova D, et al. Assessment of Organohalogenated Pollutants in Breast Milk from the Czech Republic. Science of The Total Environment. 2023;871:161938. doi: 10.1016/j.scitotenv.2023.161938 EDN: YTZARY
- Mamontova EA, Tarasova EN, Mamontov AA. PCBs and OCPs in Human Milk in Eastern Siberia, Russia: Levels, Temporal Trends and Infant Exposure Assessment. Chemosphere. 2017;178:239–248. doi: 10.1016/j.chemosphere.2017.03.058 EDN: YVKRNT
- Lenters V, Iszatt N, Forns J, et al. Early-life Exposure to Persistent Organic Pollutants (OCPs, PBDEs, PCBs, PFASs) and Attention-Deficit/Hyperactivity Disorder: A Multi-Pollutant Analysis of a Norwegian Birth Cohort. Environment International. 2019;125:33–42. doi: 10.1016/j.envint.2019.01.020
- Mueller JF, Harden F, Toms LM, et al. Persistent Organochlorine Pesticides in Human Milk Samples from Australia. Chemosphere. 2008; 70(4):712–720. doi: 10.1016/j.chemosphere.2007.06.037 EDN: MGCUZT
- Lee S, Kim S, Lee HK, et al. Contamination of Polychlorinated Biphenyls and Organochlorine Pesticides in Breast Milk in Korea: Time-course Variation, Influencing Factors, and Exposure Assessment. Chemosphere. 2013;93(8):1578–1585. doi: 10.1016/j.chemosphere.2013.08.011 EDN: SOJOMR
- Johnson-Restrepo B, Addink R, Wong C, et al. Polybrominated Diphenyl Ethers and Organochlorine Pesticides in Human Breast Milk From Massachusetts, USA. Journal of Environmental Monitoring. 2007;9(11):1205. doi: 10.1039/b711409p EDN: MMTECZ
- Ennaceur S, Gandoura N, Driss MR. Organochlorine Pesticide Residues in Human Milk of Mothers Living in Northern Tunisia. Bulletin of Environmental Contamination and Toxicology. 2007;78(5):325–329. doi: 10.1007/s00128-007-9185-8 EDN: DTAOQP
- Plouffe L, Bosson-Rieutort D, Madaniyazi L, et al. Estimated Postnatal p,p’-DDT and p,p’-DDE Levels and Body Mass Index at 42 Months of Age in a Longitudinal Study of Japanese Children. Environmental Health. 2020;19(1):. doi: 10.1186/s12940-020-00603-zEDN: GZYKJR
- Chao HR, Wang SL, Lin TC, Chung XH. Levels of Organochlorine Pesticides in Human Milk from Central Taiwan. Chemosphere. 2006;62(11): 1774–1785. doi: 10.1016/j.chemosphere.2005.07.036 EDN: MGCUYF
- Yasmeen H, Qadir A, Mumtaz M, et al. Risk Profile and Health Vulnerability of Female Workers who Pick Cotton by Organanochlorine Pesticides from Southern Punjab, Pakistan. Environmental Toxicology and Chemistry. 2016;36(5):1193–1201. doi: 10.1002/etc.3633 EDN: YYLMGR
- Müller MHB, Polder A, Brynildsrud OB, et al. Organochlorine Pesticides (OCPs) and Polychlorinated Biphenyls (PCBs) in Human Breast Milk and Associated Health Risks to Nursing Infants in Northern Tanzania. Environmental Research. 2017;154:425–434. doi: 10.1016/j.envres.2017.01.031 EDN: YYGQRR
- Cok I, Yelken Ç, Durmaz E, et al. Polychlorinated Biphenyl and Organochlorine Pesticide Levels in Human Breast Milk from the Mediterranean City Antalya, Turkey. Bulletin of Environmental Contamination and Toxicology. 2011;86(4):423–427. doi: 10.1007/s00128-011-0221-3 EDN: HKWEWI
- Rojas-Squella X, Santos L, Baumann W, et al. Presence of Organochlorine Pesticides in Breast Milk Samples from Colombian Women. Chemosphere. 2013;91(6):733–739. doi: 10.1016/j.chemosphere.2013.02.026 EDN: RIQWSN
Supplementary files






