Ventricular repolarization in apparently healthy young men under short-term normobaric isocapnic and hypercapnic hypoxic exposure
- Authors: Zamenina E.V.1, Ivonina N.I.1, Fokin A.A.2, Roshchevskaya I.M.1
-
Affiliations:
- Komi Science Centre of the Ural Branch of the Russian Academy of Sciences
- Pitirim Sorokin Syktyvkar State University
- Issue: Vol 32, No 2 (2025)
- Pages: 123-134
- Section: ORIGINAL STUDY ARTICLES
- Submitted: 27.12.2024
- Accepted: 03.06.2025
- Published: 20.07.2025
- URL: https://hum-ecol.ru/1728-0869/article/view/643503
- DOI: https://doi.org/10.17816/humeco643503
- EDN: https://elibrary.ru/WQWAIA
- ID: 643503
Cite item
Full Text
Abstract
BACKGROUND: The effects of hypoxic exposure on the human cardiorespiratory system have been extensively studied. Combined hypoxic and hypercapnic exposure has been shown to reduce the severity of adverse outcomes associated with oxygen deficiency across all functional systems, while also improving subjective tolerance to acute hypoxia.
AIM: To assess cardiac electrical activity during the ventricular repolarization phase under exogenous normobaric hypoxic exposure with different inspired carbon dioxide levels in apparently healthy, untrained individuals.
METHODS: A prospective, single-center, experimental study was conducted. The study included apparently healthy, untrained young men. Exclusion criteria: chronic pulmonary or cardiovascular diseases and recent acute respiratory viral infections. Participants were randomly assigned to one of two groups based on the type of exposure: exogenous isocapnic hypoxia (Group 1) or exogenous hypercapnic hypoxia (Group 2). Isocapnic and hypercapnic hypoxia were simulated by breathing through a facial mask for 15 minutes. The cardiac electric field was used to assess the amplitude and temporal characteristics of positive and negative extrema during the ventricular repolarization phase based on lead II electrocardiogram findings. The duration of QT, J–Tpeak, and Tpeak–Tend intervals with Bazett's correction was measured.
RESULTS: Isocapnic hypoxia was found to cause more pronounced changes in SpO2 and heart rate compared to hypercapnic hypoxia. At comparable SpO2 levels, analysis of the temporal characteristics of ventricular repolarization demonstrated that the hypercapnic component of the hypoxic gas mixture reduced changes in the duration of nearly all examined electrocardiogram intervals.
CONCLUSION: The study of ventricular repolarization under hypoxic exposure with various CO2 levels found that isocapnic hypoxia had a more pronounced stress effect on cardiac electrical activity than hypercapnic hypoxia in apparently healthy young men.
Full Text
Обоснование
Воздействие гипоксического фактора на функционирование кардиореспираторной системы человека изучено достаточно хорошо. Выделены основные направления развития гипоксической стресс-реакции организма при различных концентрациях экзогенного кислорода. Профилактические и лечебные свойства гипоксических газовых смесей, применяемых как в прерывистом, так и пролонгированном режиме (гипокситерапия), находят широкое использование. Сочетание газов с различным содержанием кислорода применяют в зависимости от конкретных исследовательских или клинических задач [1–4]. Комбинированное воздействие гипоксического и гиперкапнического факторов снижает степень проявления неблагоприятных эффектов кислородной недостаточности во всех функциональных системах организма и субъективно улучшает переносимость острой гипоксии [5].
Наиболее зависимыми от концентрации эндогенного кислорода являются мозг и сердце, потребляющие больше половины всего кислорода, поступающего в организм [3]. Непрерывная ритмическая активность сердца обусловливает высокую чувствительность миокарда к уменьшению парциального давления кислорода в крови, его снижение подавляет электрогенез в кардиомиоцитах [6]. При гипоксии миокарда на электрокардиограмме (ЭКГ) преимущественно отмечают изменения реполяризации желудочков, однако они малоспецифичны. Вовлечение дополнительного количества регистрирующих электродов для проведения электрокардиографии на поверхности торса позволяет получить больше информации об электрической активности сердца в норме и при моделировании различных стресс-воздействий [7–9]. Исследования электрического поля сердца с использованием множественной синхронной регистрации кардиоэлектрических потенциалов на поверхности грудной клетки у здоровых людей в покое [10–12], спортсменов с различной направленностью тренировочного процесса, а также при воздействии физической нагрузки [13–15] подтвердили высокую информативность данного метода для оценки функционального состояния миокарда. Результаты также свидетельствуют о перспективности кардиоэлектротопографического подхода при изучении влияния изменённого кислородного режима на деятельность сердца.
Цель исследования. Изучить электрическую активность сердца в период реполяризации желудочков при воздействии экзогенной нормобарической гипоксии с различным содержанием углекислого газа во вдыхаемом воздухе у практически здорового нетренированного человека.
МАТЕРИАЛЫ И МЕТОДЫ
Дизайн исследования
Проведено экспериментальное одноцентровое проспективное исследование.
Критерии соответствия
Критерии включения:
- практически здоровые нетренированные мужчины;
- возраст — от 17 до 23 лет.
Критерии исключения:
- наличие хронической бронхолёгочной патологии;
- наличие сердечно-сосудистых заболеваний;
- недавно перенесённая острая респираторная вирусная инфекция.
Условия проведения
Исследование выполнено на базе отдела сравнительной кардиологии Федерального исследовательского центра «Коми научный центр Уральского отделения Российской академии наук».
Продолжительность исследования
Исследование проведено в период сентябрь-октябрь 2022 г.
Воздействие экзогенной нормобарической изокапнической и гиперкапнической гипоксии
В исходных условиях у участников исследования в положении сидя в кресле регистрировали частоту сердечных сокращений (ЧСС) и сатурацию гемоглобина крови (SpO2) с использованием пульсокисметра MySign® S (EnviteC-Wismar GmbH, Германия). Кроме того, регистрировали ЭКГ в стандартных отведениях от конечностей, а также кардиоэлектрические потенциалы на поверхности грудной клетки. Затем участника эксперимента переводили на дыхание гипоксической смесью через лицевую маску.
Воздействие изокапнической гипоксии осуществляли в течение 15 мин в условиях нормального атмосферного давления при помощи изокапнической гипоксической газовой смеси (содержание О2 и СО2 — 12–13 и 0,04% соответственно). Использовали гипоксикатор OXYTERRA® (ООО «OXYTERRA», Россия) и модифицированный гипоксикатор Kröber® O2 (Kröber Medizintechnik, Германия) (свидетельство на полезную модель № 24098 от 27 июля 2002 г.). Содержание О2 в газовой смеси контролировали при помощи кислородного датчика (EnviteC-Wismar GmbH, Германия). Участник эксперимента дышал газовой смесью 15 мин, затем маску снимали и он переходил на дыхание атмосферным воздухом в течение 5 мин.
Воздействие гиперкапнической гипоксии осуществляли в течение 15 мин с использованием метода возвратного дыхания через лечебно-диагностический тренажёр «Карбоник» (ООО НПК «Карбоник», Россия). Данный прибор создаёт гиперкапническую гипоксию (содержание О2 и СО2 до 12 и 5–8% соответственно) в альвеолярном воздухе путём автоматического регулирования объёма мёртвого пространства. При помощи программного обеспечения Carbonic Software® v. 2.00 (ООО НПК «Карбоник», Россия) и кислородного датчика выполняли мониторинг концентрации О2 и СО2 в выдыхаемом воздухе. Участник эксперимента дышал газовой смесью 15 мин, затем маску снимали и он переходил на дыхание атмосферным воздухом в течение 5 мин.
Регистрацию ЧСС, SpO2, ЭКГ во II стандартном отведении и кардиоэлектрических потенциалов проводили на каждой минуте исследования.
Основной исход исследования
Оценка электрической активности сердца в период реполяризации желудочков при воздействии экзогенной нормобарической гипоксии с различным содержанием углекислого газа во вдыхаемом воздухе.
Анализ в группах
Участники исследования рандомно разделены на две группы в зависимости от изучаемого воздействия:
- 1-я группа — экзогенной изокапнической гипоксии;
- 2-я группа — экзогенной гиперкапнической гипоксии.
Многоканальное электрокардиографическое картирование
Электрическую активность сердца у обследуемых лиц изучали при помощи многоканального электрокардиографического картирования (ЭКГ-картирования) на поверхности тела с использованием автоматизированной системы для синхронной регистрации кардиоэлектрических потенциалов в период реполяризации желудочков сердца. Кардиоэлектрические потенциалы регистрировали на поверхности тела людей:
- в исходном состоянии;
- при воздействии обоих типов гипоксий;
- в период восстановления (дыхание атмосферным воздухом).
Униполярную ЭКГ регистрировали в положении сидя от 64 электродов, равномерно расположенных на вентральной и дорсальной сторонах туловища от уровня ключиц до нижнего края грудной клетки. Электроды расположены в 8 рядов по 8 в каждом (рис. 1, а). Синхронно с грудными записывали ЭКГ в стандартных биполярных отведениях от конечностей (I, II, III), в качестве референсного электрода для униполярных отведений с поверхности туловища использовали центральную терминаль Вильсона. После регистрации кардиоэлектрической активности строили эквипотенциальные моментные карты, отражающие распределение потенциалов электрического поля сердца (ЭПС) на прямоугольном изображении поверхности туловища, где левая сторона соответствовала вентральной, а правая — дорсальной стороне тела (см. рис. 1, b).
Рис. 1. Схема расположения электродов на поверхности грудной клетки человека (а) и эквипотенциальная моментная карта распределения кардиоэлектрических потенциалов на поверхности грудной клетки в период реполяризации желудочков сердца (b): закрашены области положительных потенциалов; знаки «+» и «−» на карте обозначают локализацию положительного и отрицательного экстремумов соответственно; под картой указано время в мс (ms) относительно пика зубца R во II стандартном отведении; указаны максимальная амплитуда положительного (max) и отрицательного (min) кардиопотенциалов в милливольтах (mV). Левая сторона карты соответствует передней (вентральной), а правая — задней (дорсальной) сторонам грудной клетки. c — электрокардиограмма во II стандартном отведении с маркёром времени (вертикальная черта).
Fig. 1. Electrodes' positions diagram on the surface of the human chest (a) and equipotential map of cardioelectric potential distribution on the chest surface during the ventricular repolarization phase (b): areas of positive potentials are shaded; the “+” and “−” symbols indicate the locations of the positive and negative extrema, respectively; the time (ms) relative to the peak of the R wave in standard lead II is indicated below the map; the maximum amplitude of the positive (max) and negative (min) cardiopotentials is shown in millivolts (mV). The left side of the map corresponds to the anterior (ventral), and the right side to the posterior (dorsal) chest surface. c, standard lead II electrocardiogram with time marker (vertical line).
На эквипотенциальных моментных картах анализировали амплитудные характеристики положительных и отрицательных экстремумов ЭПС (Amax и Amin соответственно) и время достижения ими максимальных амплитуд в период реполяризации желудочков (Tmax и Tmin соответственно) относительно пика зубца R во II стандартном отведении, стабильность которого проверяли во всех конечностных и грудных отведениях перед началом анализа. Временные показатели экстремумов корригированы с интервалом RR, который рассчитывали по трём сердечным циклам. По данным ЭКГ во II стандартном отведении определяли корригированные по Базетту длительности:
- интервала QT;
- интервал от точки J до пика зубца T (J–Tpeak);
- интервал от пика зубца Т до его окончания (Tpeak–Tend).
Этическая экспертиза
Исследование проведено в соответствии с принципами биомедицинской этики и одобрено локальным этическим комитетом отдела сравнительной кардиологии Федерального исследовательского центра «Коми научный центр Уральского отделения Российской академии наук», (протокол № 1 от 06.04.2022). Участники исследования предварительно ознакомлены с его целью, возможными субъективными ощущениями при проведении гипоксического воздействия, от каждого из них получено письменное согласие.
Статистический анализ
Все непрерывные данные проанализированы с помощью программного пакета Statistica® версия 10.0 (StatSoft Inc., Соединённые Штаты Америки) и представлены в виде M±SD, где M — среднее арифметическое, SD — стандартное отклонение. Нормальность распределения проверяли с помощью критерия Шапиро–Уилка. Для сравнения средних значений одного и того же параметра в различные периоды времени применяли дисперсионный анализ для повторных измерений (RM-ANOVA). В случае выявления значимого влияния фактора времени на изучаемый параметр проводили апостериорный анализ (Post hoc тест) с помощью критерия Даннета. Для межгруппового сравнения показателей использовали непарный тест Стьюдента. Статистически значимыми считали различия при p <0,05.
Результаты
Объекты исследования
В исследовании приняли добровольное участие 25 практически здоровых мужчин (средний возраст — 20,7±0,9 года; масса тела — 76,5±7,8 кг, длина тела — 178,4±5,4 см). Участники исследования рандомно разделены на две группы в зависимости от изучаемого воздействия: 1-я группа — экзогенной изокапнической гипоксии (n=15); 2-я группа — экзогенной гиперкапнической гипоксии (n=10).
Практически у всех участников 1-й группы изменения ЧСС и SpO2 были более выражены по сравнению с мужчинами 2-й группы. В 1-й группе максимальный прирост ЧСС наблюдали на 7-й мин гипоксии, он составил 29,2%, а наибольшее снижение SpO2 — на 12-й мин, достигнув 22,4%. Во 2-й группе максимальный прирост ЧСС фиксировали на 10-й мин (8,7%), а минимальное значение SpO2 — на 15-й мин (снижение на 7,7%). Увеличение ЧСС и снижение SpO2 на каждой минуте воздействия гипоксии в двух группах были статистически значимыми. Изменения ЧСС и SpO2 у мужчин 2-й группы характеризовались большей однородностью и меньшим разбросом в сравнении с 1-й группой (рис. 2).
Рис. 2. Насыщение крови кислородом (a) и частота сердечных сокращений (b) при разных видах гипоксического воздействия относительно исходного состояния у участников исследования: * — статистически значимое отличие по сравнению с исходными показателями (p <0,05); # — статистически значимое отличие показателей между группами (p <0,05); ИКГ — изокапническая гипоксия; ГКГ — гиперкапническая гипоксия.
Fig. 2. Blood oxygen saturation (a) and heart rate (b) during different types of hypoxic exposure relative to baseline in study participants: *, significant difference compared to baseline (p < 0.05); #, significant difference between groups (p < 0.05); ICH, isocapnic hypoxia; HCH, hypercapnic hypoxia.
Основные результаты исследования
Временные параметры электрической активности сердца при различных типах гипоксического воздействия при сопоставимом снижении сатурации гемоглобина крови
На 1-й и 3-й мин у мужчин 1-й и 2-й группы соответственно отмечено практически сопоставимое снижение SpO2 относительно исходного уровня (см. рис. 2). С целью оценки влияния гиперкапнического фактора в гипоксической смеси на реполяризацию миокарда желудочков сердца проведён сравнительный анализ амплитудных и временных электрокардиографических характеристик мужчин 1-й и 2-й групп на 1-й и 3-й мин соответственно (табл. 1).
Таблица 1. Параметры электрокардиограммы во II отведении от конечностей и электрического поля сердца, исследуемые в группах
Table 1. Parameters of limb lead II electrocardiogram and cardiac electric field assessed in the study groups
Параметры Parameters | 1-я группа Group 1 | 2-я группа Group 2 | Значение непарного t-критерий Стьюдента Unpaired Student’s t-test | p |
Временные характеристики | Temporal characteristics | ||||
J–Tpeak, мс | J–Tpeak, ms | 230,6±11,6 | 229,0±20,0 | t=0,21, df=23 | 0,83 |
Tpeak–Tend, мс | Tpeak–Tend, ms | 81,7±2,7 | 82,8±10,4 | t=0,32, df=23 | 0,74 |
QT, мс | QT, ms | 417,7±8,4 | 415,9±29,4 | t=0,063, df=23 | 0,95 |
Tmax, мс | Tmax, ms | 246,6±8,2 | 261,8±20,6 | t=2,18, df=23 | 0,0391 |
Tmin, мс | Tmin, ms | 280,6±9,6 | 282,3±17,0 | t=0,93, df=23 | 0,36 |
Амплитудные характеристики | Amplitude characteristics | ||||
T, мВ | T, mV | 0,45±0,24 | 0,43±0,21 | t=0,37, df=23 | 0,71 |
Amax, мВ | Amax, mV | 0,79±0,08 | 0,83±0,10 | t=0,60, df=23 | 0,55 |
Amin, мВ | Amin, mV | −0,49±0,07 | −0,41±0,04 | t=1,73, df=23 | 0,09 |
Примечание. Временные и амплитудные характеристики указаны в группах при одинаковом снижении SpO2: в 1-й и 2-й группах на 1-й и 3-й мин гипоксического воздействия соответственно; значения представлены в виде M±SD, где M — среднее арифметическое, SD — стандартное отклонение; 1 — статистически значимое различие между показателями в группах (p <0,05); J–Tpeak — интервал от точки J до пика зубца T; Tpeak–Tend — интервал от пика зубца Т до его окончания; Tmax — время достижения положительного экстремума; Tmin — время достижения отрицательного экстремума; Amax — положительный экстремум; Amin — отрицательный экстремум.
Note: The temporal and amplitude characteristics are presented for both groups at comparable degrees of SpO2 reduction: in Group 1 at minute 1 and in Group 2 at minute 3 of hypoxic exposure. Values are expressed as M ± SD, where M is the mean and SD is the standard deviation. 1, significant difference between groups (p < 0.05); J–Tpeak, interval from the J point to the peak of the T wave; Tpeak–Tend, interval from the peak to the end of the T wave; Tmax, time to the positive extremum; Tmin, time to the negative extremum; Amax, positive extremum; Amin, negative extremum.
Исходные временные и амплитудные характеристики электрической активности сердца в группах были статистически незначимыми. Однако во 2-й группе у мужчин на 3-й мин гипоксического воздействия (SpO2 93,2±0,7%) наблюдали менее выраженное изменение временных характеристик по сравнению с 1-й группой на 1-й мин (SpO2 91,3±2,0%). Межгрупповое различие по показателю Tmax было статистически значимым (см. табл. 1).
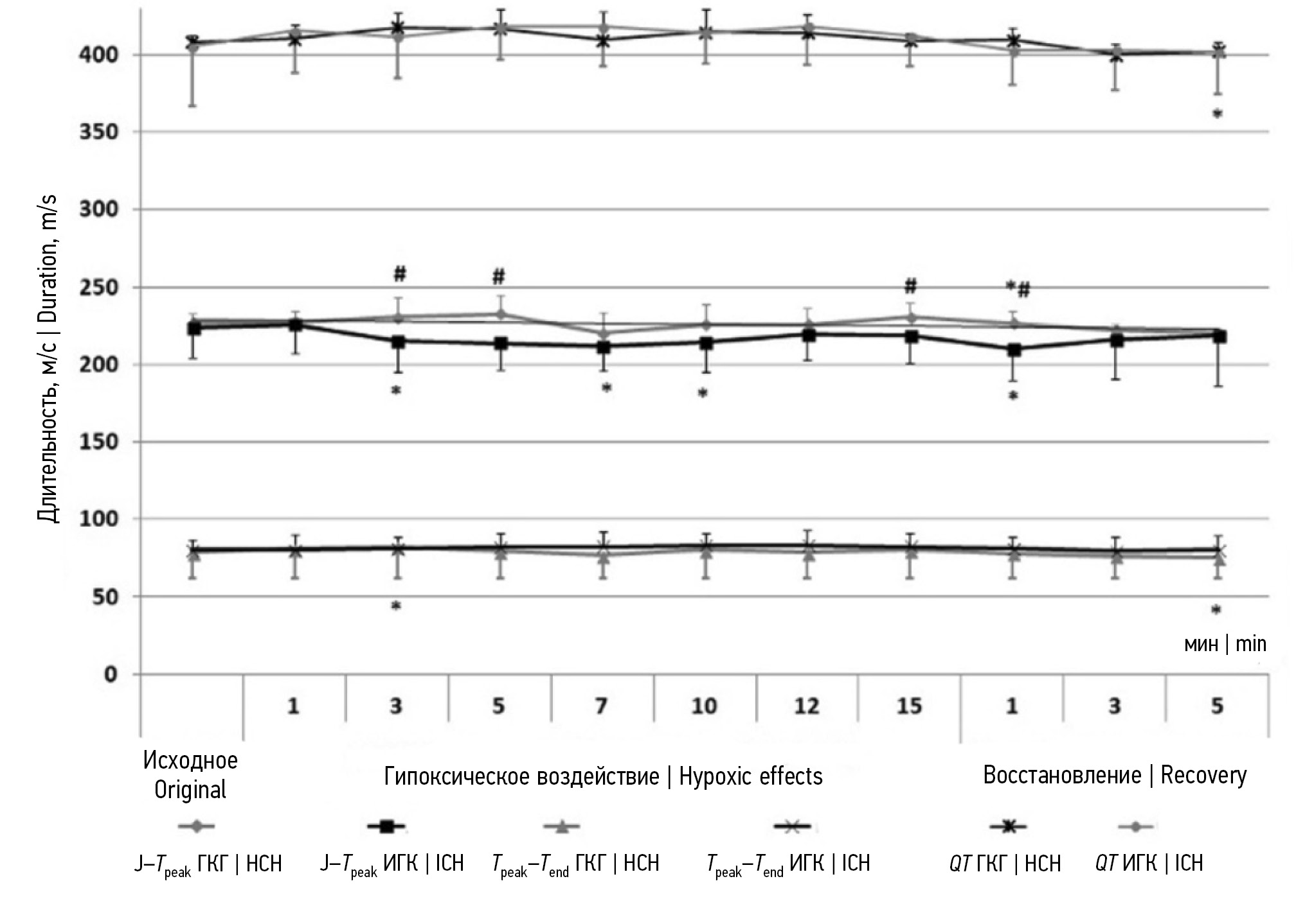
Временные параметры электрической активности сердца при различных типах гипоксического воздействия в течение 15 мин
Дисперсионный анализ у мужчин 1-й группы выявил статистически значимое влияние гипоксии на продолжительность интервалов J–Tpeak (F(10, 140)=3,63, p <0,0001), и QT (F(10, 140)=2,03, p=0,03), при этом интервал Tpeak–Tend статистически значимо не изменялся (F(10, 110)=0,95, p=0,48). Апостериорный анализ установил статистически значимое уменьшение продолжительности интервала J–Tpeak у мужчин 1-й группы по сравнению с исходным состоянием на 3, 7 и 10-й мин воздействия (р=0,027; 0,022 и 0,039 соответственно), а также на 1-й мин восстановления (р=0,003). Изменения интервала QT у мужчин 1-й группы были статистически незначимы на всех минутах воздействия (рис. 3).
Рис. 3. Временные характеристики при разных видах гипоксического воздействия у участников исследования: * — статистически значимое отличие показателя по сравнению с исходным значением при воздействии изокапнической гипоксии (p <0,05); # — статистически значимое отличие показателя по сравнению с исходным значением при воздействии гиперкапнической гипоксии (p <0,05); ИКГ — изокапническая гипоксия; ГКГ — гиперкапническая гипоксия; J–Tpeak — интервал от точки J до пика зубца T; Tpeak–Tend — интервал от пика зубца Т до его окончания.
Fig. 3. Temporal characteristics during different types of hypoxic exposure in study participants: *, significant difference compared to baseline under isocapnic hypoxic exposure (p < 0.05); #, significant difference compared to baseline under hypercapnic hypoxic exposure (p < 0.05); ICH, isocapnic hypoxia; HCH, hypercapnic hypoxia; J–Tpeak, interval from the J point to the peak of the T wave; Tpeak–Tend, interval from the peak to the end of the T wave.
Во 2-й группе статистический анализ (RM-ANOVA) продемонстрировал влияние гипоксического воздействия на длительность интервалов J–Tpeak (F(10, 90)=6,26, p <0,001), Tpeak–Tend (F(10, 90)=6,6, p <0,001) и QT (F(10, 90)=6,78, p <0,0001). По результатам апостериорного анализа выявлено статистически значимое уменьшение продолжительности интервалов J–Tpeak на 5-й мин восстановления (р=0,007), Tpeak–Tend — на 3-й мин гипоксического воздействия (р=0,021) и на 5-й мин восстановления (р=0,024), а также QT на 5-й мин восстановления (р=0,013).
Межгрупповые различия выявлены по продолжительности интервала J–Tpeak: у мужчин 1-й группы наблюдали статистически значимое его уменьшение в период с 3-й по 10-ю мин гипоксического воздействия, а также на 1-й мин восстановления дыханием атмосферным воздухом по сравнению с участниками 2-й группы.
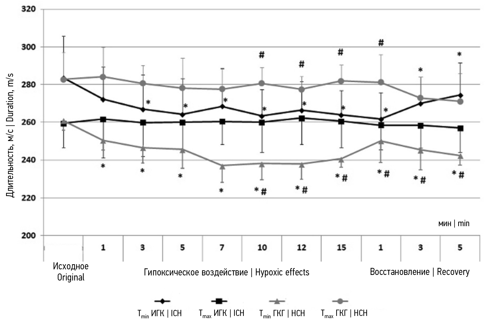
Дисперсионный анализ выявил влияние обоих видов гипоксии на корригированные с ритмом значения Tmax и Tmin в период реполяризации миокарда (рис. 4).
Рис. 4. Корригированное время достижения экстремумов электрического потенциала максимальной амплитуды в фазе реполяризации желудочков при различных формах гипоксии: * — статистически значимое изменение показателя по сравнению с исходным значением (p <0,05); ИКГ — изокапническая гипоксия; ГКГ — гиперкапническая гипоксия; Tmax — время достижения положительного экстремума; Tmin — время достижения отрицательного экстремума.
Fig. 4. Corrected time to maximum amplitude extrema of electric potential during the ventricular repolarization phase under different forms of hypoxic exposure: *, significant change compared to baseline (p < 0.05); ICH, isocapnic hypoxia; HCH, hypercapnic hypoxia; Tmax, time to the positive extremum; Tmin, time to the negative extremum.
Во 2-й группе влияние гиперкапнической гипоксии на корригированный показатель Тmax (F(10, 90)=16,3, p=0,00001) сопровождалось его статистически значимым уменьшением на всех минутах воздействия (с 1-й по 15-ю мин, p <0,0001), а также в период восстановления (1–5 мин, p <0,0001). Показатель Tmin демонстрировал менее явную динамику (F(10, 90)=3,83, p <0,0001); апостериорный анализ показал уменьшение времени достижения отрицательным экстремумом своей амплитуды только на 3-й и 5-й мин восстановления.
В 1-й группе воздействие изокапнической гипоксии на ЭПС было менее значительным: при отсутствии статистически значимых изменений Тmax (F(10, 140)=0,33, p=0,96), выявлено статистически значимое снижение Tmin (F(10, 140)=2,86, p=0,0027) на 3, 5, 7, 10, 12 и 15-й мин гипоксического воздействия (р=0,017; 0,002; 0,038; 0,001; 0,01 и 0,002 соответственно), а также на 1-й мин восстановления (p <0,0001).
Межгрупповой анализ показал статистически значимые различия показателя Tmax с 10-й по 15-ю мин гипоксии (р <0,05), с 1-й по 5-ю мин восстановления (p <0,001). Значения Tmin также имели статистически значимые различия между группами в аналогичные промежутки времени (p <0,05).
Амплитудные параметры электрической активности сердца в период реполяризации желудочков при различных типах гипоксического воздействия в течение 15 мин
Исходные значения амплитуды волны T во II стандартном отведении у мужчин в двух группах не имели статистически значимого различия. Так, в 1-й группе её значение составило 0,48±0,28 мВ, тогда как во 2-й группе — 0,47±0,25 мВ. На протяжении всего периода гипоксического воздействия и восстановления статистически значимых изменений амплитуды T во II стандартном отведении у мужчин в группах не обнаружено.
Анализ амплитудных параметров ЭПС, зарегистрированных на поверхности тела, также не выявил статистически значимых межгрупповых различий исходных значений: Amax в 1-й и 2-й группах составила 0,91±0,09 и 0,90±0,10 мВ соответственно. Статистически значимого изменения Amax в группах не происходило, однако отмечена тенденция к снижению данного показателя в 1-й группе на 7, 10 и 12-й мин дыхательной экспозиции (p=0,061; 0,073; 0,061 соответственно).
Исходные значения Amin также не имели статистически значимых отличий в группах: в 1-й и 2-й группе — 0,50±0,06 и 0,44±0,05 мВ соответственно. Однако в 1-й группе происходило постепенное снижение Amin, достигавшее статистически значимых отличий от исходных на 5, 7 и 10-й мин гипоксического воздействия: −0,40±0,13 (p=0,047), −0,37±0,11 (p=0,043) и −0,38±0,08 мВ (p=0,01) соответственно. Во 2-й группе статистически значимых изменений Amin не выявлено.
Обсуждение
Резюме основного результата исследования
Сравнительный анализ показал, что у молодых здоровых мужчин нормобарическая гиперкапническая гипоксия вызывает менее выраженные изменения электрической активности сердца в фазу реполяризации миокарда по сравнению с изокапнической.
Обсуждение основного результата исследования
Острая реакция кардиореспираторной системы на гипоксическое воздействие направлена на поддержание гомеостаза и обеспечение адекватного кровоснабжения жизненно важных, высокоэнергозатратных органов. Она проявляется учащением сердечного ритма, повышением системного артериального давления и увеличением частоты дыхания [2, 16]. Сравнительные исследования продемонстрировали различие в характере срочной кардиореспираторной реакции на разные виды гипоксического воздействия. Так, при изокапнической гипоксии преимущественно активизируются механизмы, усиливающие сердечную деятельность, в то время как увеличение доли углекислого газа во вдыхаемой гипоксической смеси приводит к активации хеморецепторов каротидных телец, что сопровождается усилением дыхательной деятельности за счёт увеличения глубины вдоха [17–19]. В нашем исследовании оба типа гипоксического воздействия вызвали схожую реакцию, характеризующуюся увеличением ЧСС и снижением SpO2, на протяжении всей экспозиции. Однако при гиперкапнической гипоксии её снижение было статистически значимо менее выраженным на каждой минуте воздействия как в абсолютных показателях, так и по приросту относительно исходного состояния.
При сопоставимом снижении SpO2 на фоне изокапнической и гиперкапнической гипоксии межгрупповых различий в изменении большинства временных параметров ЭКГ и ЭПС, корригированных по ритму, не выявлено. Исключение составило статистически значимое менее выраженное уменьшение Tmax при воздействии гиперкапнической гипоксии по сравнению с изокапнической. Полученные данные могут свидетельствовать о частичном нивелировании эффектов гипоксического воздействия за счёт присоединения гиперкапнического компонента, проявляющегося уже в первые минуты экспозиции.
Реполяризация желудочков сердца представляет особый интерес для исследователей ввиду высокой чувствительности к воздействию различных внешних и внутренних факторов. При гипоксической экспозиции основными модуляторами данной фазы сердечного цикла выступают изменения парциального давления газов крови, а также и её электролитного состава [6, 20]. В нашем исследовании гипоксическое воздействие было кратковременным, что, по мнению Н.И. Саповой и соавт. [2] и Л.Д. Лукьяновой и соавт. [3], не приводит к значительным изменениям электролитного состава крови, способным непосредственно повлиять на параметры ЭКГ. Вместе с тем даже кратковременная гипоксия снижает активность энергозависимых ионных насосов мембраны кардиомиоцитов, изменяя их функциональное состояние. Влияние изокапнической гипоксии на миокард проявляется в изменениях реполяризации желудочков, что отражается в виде трансформации формы и амплитуды Т-волны, увеличения длительности интервала QT, а также возможного смещения сегмента ST относительно изолинии [21–23]. Детализацию изменений реполяризации желудочков сердца проводят с помощью оценки длительности интервалов J–Tpeak, Tpeak–Tend, клинически подтвердивших свою информативность в качестве маркёров аритмогенности [24, 25]. Уменьшение длительности интервала J–Tpeak в сочетании с укорочением QT является типичной реакцией на кислородную недостаточность [25, 26]. Ранее мы показали, что у практически здорового человека на начальных стадиях развития гипоксического состояния общая длительность реполяризации желудочков тесно коррелирует с продолжительностью интервала J–Tpeak, а при более значительном падении SpO2 растёт взаимосвязь с длительностью Tpeak–Tend [22]. Изменение продолжительности периода реполяризации желудочков происходит преимущественно за счёт интервала J–Tpeak, при этом межгрупповые различия в изменении его длительности отмечают с первой минуты воздействия изокапнической и гиперкапнической гипоксии, когда глубина гипоксемии ещё незначительна. Результаты нашего исследовании свидетельствуют о более значительном влиянии изокапнической гипоксии на реполяризацию миокарда по сравнению с гиперкапнической. Более интенсивное её влияние на организм обусловлено прежде всего метаболическим ацидозом, который на ранних стадиях развития гипоксического состояния активирует системный ответ организма (усиление дыхания и сердечно-сосудистые изменения), при продолжающемся — формирует перестройку дыхательной цепи в митохондриях [3]. Однако накопление кислых продуктов реакции смещает кислотно-основные свойства крови, которые на фоне вымывания CO2 (из-за гипервентиляции) прогрессивно нарастают и уже не активируют, а подавляют действие ферментов кислородтранспортной цепи. Именно поэтому увеличение доли CO2 во вдыхаемом воздухе снижает выраженность гипоксических реакций, увеличивая буферную ёмкость крови [27]. Таким образом, гиперкапническая гипоксия за счёт введения СО2 обеспечивает менее явный системный ответ.
При многоканальном ЭКГ-картировании особое внимание уделяют исследованию амплитудно-временных характеристик экстремумов ЭПС, что даёт представление о процессе восстановления возбудимости миокарда при различных физиологических состояниях или внешних воздействиях [9, 11, 12]. Ранее мы оценили ЭПС у пловцов, тренировочный процесс которых проходит в условиях задержки дыхания и повышенного pCO2 в крови, и выявили, что адаптация к воздействию гипоксического и гиперкапнического факторов у них приводит к менее значимым изменениям реполяризации желудочков сердца в ответ на острую гипоксию, чем у нетренированных людей — изменяются преимущественно временные, а не амплитудные параметры [28]. Настоящее исследование показало, что у нетренированного человека изокапническая гипоксия вызывает изменения как амплитудных, так и временных характеристик экстремумов ЭПС, тогда как при гиперкапнической форме изменения затрагивают преимущественно временные параметры. Это свидетельствует о более выраженном стресс-воздействии на миокард изокапнической гипоксии. Разнонаправленные изменения амплитудно-временных характеристик экстремумов ЭПС у спортсменов-пловцов при нормобарической гипоксии [29] указывают на изменение продолжительности и внутренней структуры реполяризации желудочков сердца. Амплитуда Т-волны на ЭКГ в стандартных отведениях характеризует суммарную электрическую активность кардиомиоцитов в процессе реполяризации, тогда как при многоканальном ЭКГ-картировании локализация и амплитуда экстремумов показывает максимальный потенциал реполяризованной области в конкретный момент времени, его изменения при воздействиях является более чувствительным показателем электрической активности сердца [10]. Изучение амплитудных характеристик у исследуемых при одинаковом (на 1-й и 3-й мин изокапнической и гиперкапнической гипоксии соответственно) и разном (продолжительностью по 15 мин) уровнях гипоксемии показало отсутствие изменения амплитуды T-волны, тогда как межгрупповые различия в уменьшении Тmax выявлены с первых минут воздействия (на одинаковом уровне гипоксемии) и до его конца, а Tmin — уже при существенной разнице SpO2 между представителями разных групп.
Заключение
Проведённое исследование процесса реполяризации желудочков сердца при воздействии гипоксии с различным содержанием CO2 показало более выраженное стрессовое влияние изокапнической гипоксии на электрическую активность сердца по сравнению с гиперкапнической у практически здоровых молодых мужчин. Изменения длительности J–Tpeak, Tmax, Tmin, зафиксированные при обоих типах гипоксии, были менее выражены в условиях гиперкапнической гипоксии как при сходном уровне гипоксемии (1-я и 3-я мин изокапнической и гиперкапнической гипоксии соответственно), так и при их расхождении (15-я мин), что проявилось в межгрупповых различиях исследуемых параметров.
Дополнительная информация
Вклад авторов. Е.В. Заменина, Н.И. Ивонина, А.А. Фокин — сбор и анализ данных, интерпретация результатов, написание и редактирование текста рукописи; И.М. Рощевская — концепция исследования, интерпретация результатов, научное редактирование текста рукописи. Все авторы подтверждают соответствие своего авторства международным критериям ICMJE (все авторы внесли существенный вклад в разработку концепции, проведения исследования и подготовку статьи, прочли и одобрили финальную версию перед публикацией).
Благодарности. Коллектив авторов выражает благодарность ООО «OXYTERRA» за предоставленный для исследования инновационный аппарат для получения гипоксических, гипероксических и нормоксических газовых смесей OXYTERRA. Авторы статьи благодарят канд. биол. наук. А.С. Шилова за помощь в организации и проведении исследования.
Этическая экспертиза. Проведение исследования одобрено локальным этическим комитетом отдела сравнительной кардиологии Федерального исследовательского центра «Коми научный центр Уральского отделения Российской академии наук» (протокол заседания № 1 от 06.04.2022).
Источники финансирования. Отсутствуют.
Раскрытие интересов. Авторы заявляют об отсутствии отношений, деятельности и интересов за последние три года, связанных с третьими лицами (коммерческими и некоммерческими), интересы которых могут быть затронуты содержанием статьи.
Оригинальность. При создании настоящей работы использовано изображение (распределение электродов на поверхности туловища и эквипотенциальная моментная карта на рис. 1), заимствованное из работы Н.И. Пантелеевой и соавт. [Panteleeva NI, Roshchevskaya IM. The heart electric field on the thorax surface of sportsmen-swimmers during ventricular repolarization under acute normobaric hypoxia. Russian Journal of Physiology. 2016;102(11):1383–1393. EDN: XYGYMZ] (распространяется на условиях лицензии CC-BY 4.0).
При создании настоящей работы авторы не использовали ранее опубликованные сведения (текст, иллюстрации, данные).
Доступ к данным. Авторы заявляют об открытом доступе к данным.
Генеративный искусственный интеллект. При создании настоящей статьи технологии генеративного искусственного интеллекта не использовали.
Рассмотрение и рецензирование. Настоящая работа подана в журнал в инициативном порядке и рассмотрена по обычной процедуре. В рецензировании участвовали два внешних рецензента, член редакционной коллегии и научный редактор издания.
ADDITIONAL INFORMATION
Author contributions: E.V. Zamenina, N.I. Ivonina, A.A. Fokin: investigation, formal analysis, writing—original draft, writing—review & editing; I.M. Roshchevskaya: conceptualization, formal analysis, writing—review & editing. All authors confirm that their authorship meets the international ICMJE criteria (all authors made substantial contributions to the conceptualization, investigation, and manuscript preparation, and reviewed and approved the final version prior to publication).
Acknowledgments: The authors express their gratitude to OXYTERRA LLC for providing the innovative OXYTERRA device for generating hypoxic, hyperoxic, and normoxic gas mixtures used in this study. The authors also thank A.S. Shilov, Cand. Sci. (Biology), for assistance with the organization and implementation of the research.
Ethics approval: The study was approved by the Local Ethics Committee of the Department of Comparative Cardiology, The Komi Science Centre of the Ural Branch of the Russian Academy of Sciences (Minutes No. 1 of April 6, 2022).
Funding sources: No funding.
Disclosure of interests: The authors have no relationships, activities, or interests for the last three years related to for-profit or not-for-profit third parties whose interests may be affected by the content of the article.
Statement of originality: This study includes an image (electrode distribution on the torso surface and the equipotential map in Fig. 1) adapted from: Panteleeva NI, Roshchevskaya IM. The heart electric field on the thorax surface of sportsmen-swimmers during ventricular repolarization under acute normobaric hypoxia. Russian Journal of Physiology. 2016;102(11):1383–1393. EDN: XYGYMZ (distributed under the CC-BY 4.0 license).
No previously published material (text, images, or data) was used in this work.
Data availability statement: The authors declare that the data are publicly available.
Generative AI: No generative AI technologies were used to prepare this article.
Provenance and peer review: This paper was submitted unsolicited and reviewed following the standard procedure. The peer review process involved two external reviewers, a member of the editorial board, and the in-house scientific editor.
About the authors
Elena V. Zamenina
Komi Science Centre of the Ural Branch of the Russian Academy of Sciences
Author for correspondence.
Email: e.mateva@mail.ru
ORCID iD: 0000-0002-3438-6365
SPIN-code: 2894-6435
Russian Federation, Syktyvkar
Natalya I. Ivonina
Komi Science Centre of the Ural Branch of the Russian Academy of Sciences
Email: bdr13@mail.ru
ORCID iD: 0000-0002-5802-3753
SPIN-code: 8667-3261
Cand. Sci. (Biology)
Russian Federation, SyktyvkarAndrei A. Fokin
Pitirim Sorokin Syktyvkar State University
Email: fokin90@inbox.ru
ORCID iD: 0000-0002-2038-2515
SPIN-code: 1060-3535
Russian Federation, Syktyvkar
Irina M. Roshchevskaya
Komi Science Centre of the Ural Branch of the Russian Academy of Sciences
Email: compcard@mail.ru
ORCID iD: 0000-0002-6108-1444
SPIN-code: 5424-2991
Dr. Sci. (Biology), Professor, Сorresponding Member of the Russian Academy of Sciences
Russian Federation, SyktyvkarReferences
- Hitrov NK, Paukov VS. Adaptation of the heart to hypoxia. Мoscow: Medicina; 1991. (In Russ.) ISBN: 5-225-00653-1 Available from: https://search.rsl.ru/ru/record/01001616365?ysclid=mbndc51z3x816503700
- Sapova NI, Ivanova AO. Gipoksiterapnya. Saint Petersburg: LLC “Medkniga"ELBI”; 2003. ISBN: 5-93979-074-7 EDN: XSXSZH
- Lukjanova LD, Ushakov IB. Problems of hypoxia: molecular, physiological and medical aspects. Мoscow: Istoki; 2004. (In Russ.) ISBN: 5-88242-282-5 EDN: QLGART
- Tessema B, Sack U, König B, et al. Effects of intermittent hypoxia in training regimes and in obstructive sleep apnea on aging biomarkers and age-related diseases: a systematic review. Frontiers in Aging Neuroscience. 2022;14: 878278. doi: 10.3389/fnagi.2022.878278 EDN: BYSJPV
- Kulikov VP, Tregub PP, Bespalov AG, Vvedenskiy AJ. Comparative efficacy of hypoxia, hypercapnia and hypercapnic hypoxia increases body resistance to acute hypoxia in rats. Patologičeskaâ fiziologiâ i èksperimentalʹnaâ terapiâ. 2013;57(3):59–61. EDN: QCTYTS
- Shimoda LA, Polak J. Hypoxia. 4. Hypoxia and ion channel function. American Journal of Physiology-Cell Physiology. 2011;300(5):C951–C967. doi: 10.1152/ajpcell.00512.2010 EDN: OMQTQH
- Taccardi B, Punske B, Lux R, et al. Useful Lessons from Body Surface Mapping. Journal of Cardiovascular Electrophysiology. 1998;9(7):773–786. doi: 10.1111/j.1540-8167.1998.tb00965.x
- Kania M, Maniewski R, Zaczek R, et al. Optimal ECG lead system for exercise assessment of ischemic heart disease. Journal of Cardiovascular Translational Research. 2019;13(5):758–768. doi: 10.1007/s12265-019-09949-3 EDN: PSVYYA
- Bergquist J, Rupp L, Zenger B, et al. Body surface potential mapping: contemporary applications and future perspectives. Hearts. 2021;2(4):514–542. doi: 10.3390/hearts2040040 EDN: UDSUWR
- Medvegy M, Duray G, Pintér A, Préda I. body surface potential mapping: historical background, present possibilities, diagnostic challenges. Annals of Noninvasive Electrocardiology. 2002;7(2):139–151. doi: 10.1111/j.1542-474X.2002.tb00155.x EDN: YJIIEA
- Roshchevskaya IM. Cardioelectric field of warm blooded animals and humans. Saint Petersburg: Nauka; 2008. ISBN: 978-5-02-026284-3 EDN: RLSJCR
- de Ambroggi L, Corlan AD. Body surface potential mapping. In: Macfarlane PW, van Oosterom A, Pahlm O, et al., editors. Comprehensive Electrocardiology. London: Springer; 2010. P. 1375–1413. doi: 10.1007/978-1-84882-046-3_32
- Strelnikova SV, Panteleeva NI, Roshchevskaya IM. Spatiotemporal characteristics of the heart electrical field in the period of ventricular depolarization in athletes training endurance and strength. Human Physiology. 2014;40(5): 548–553. doi: 10.1134/S0362119714040148 EDN: UFVJBX
- Panteleeva NI, Roshchevskaya IM. Ventricular repolarization of the heart of cross-country skiers at different stages of the annual training cycle. Human Physiology. 2018;44(5):549–555. doi: 10.1134/S0362119718050134 EDN: OMKSHO
- Ivonina NI, Roshchevskaya IM. Electric field of the heart on the thorax surface in highly trained athletes during initial ventricular activity. Russian Journal of Physiology. 2023;109(9):1233–1246. doi: 10.31857/S0869813923090054 EDN: ORUDUO
- Hainsworth R, Drinkhill MJ, Rivera-Chira M. The autonomic nervous system at high altitude. Clinical Autonomic Research. 2007;17(1):13–19. doi: 10.1007/s10286-006-0395-7 EDN: XZWHVB
- Honda Y. Respiratory and circulatory activities in carotid body-resected humans. Journal of Applied Physiology. 1992;73(1):1–8. doi: 10.1152/jappl.1992.73.1.1
- Brown S, Barnes MJ, Mündel T. Effects of hypoxia and hypercapnia on human HRV and respiratory sinus arrhythmia. Acta Physiologica Hungarica. 2014;101(3):263–272. doi: 10.1556/APhysiol.101.2014.3.1
- Kovalchuk SI, Kovganko AA, Dudchenko LS, et al. Influence hypoxic-hypercapnic training. Medicina Kyrgyzstana. 2015;(5):40–45. EDN: XIFBQB
- Hool LC. Differential regulation of the slow and rapid components of guinea-pig cardiac delayed rectifier K+ channels by hypoxia. The Journal of Physiology. 2004;554(3):743–754. doi: 10.1113/jphysiol.2003.055442
- Coustet B, Lhuissier FJ, Vincent R, Richalet JP. Electrocardiographic Changes During Exercise in Acute Hypoxia and Susceptibility to Severe High-Altitude Illnesses. Circulation. 2015;131(9):786–794. doi: 10.1161/CIRCULATIONAHA.114.013144
- Zamenina EV, Panteleeva NI, Roshchevskaya IM. The heart electric field of man during ventricular repolarization under hypoxic influence. Russian Journal of Physiology. 2017;103(11):1330–1338. EDN: ZRRRDZ
- Zamenina EV, Panteleeva NI, Roshchevskaya IM. Heart electrical activity during ventricular repolarization in subjects with different resistances to hypoxia. Human Physiology. 2019;45(6):634–641. doi: 10.1134/S0362119719050207 EDN: MMPZWP
- Castro-Torres Y. Tp-e interval and Tp-e/QTc ratio: new choices for risk stratification of arrhythmic events in patients with hypertrophic cardiomyopathy. The Anatolian Journal of Cardiology. 2017;17(6):493–493. doi: 10.14744/AnatolJCardiol.2017.7865
- Tse G, Yan BP. Traditional and novel electrocardiographic conduction and repolarization markers of sudden cardiac death. EP Europace. 2016;19(5):712–721. doi: 10.1093/europace/euw280
- Clemente D, Pereira T, Ribeiro S. Repolarização ventricular em pacientes diabéticos: caracterização e implicações clínicas. Arquivos Brasileiros de Cardiologia. 2012;99(5):1015–1022. doi: 10.1590/S0066-782X2012005000095
- Akhundov R, Akhundova Kh. Energetical mechanisms of oxidative stress, endogenic and exogenic hypoxia. Biomedicine. 2009;(3):3–9.
- Ivonina NI, Fokin AA, Roshchevskaya IM. Body surface potential mapping during heart ventricular repolarization in male swimmers and untrained persons under hypoxic and hypercapnic hypoxia. High Altitude Medicine & Biology. 2021;22(3):308–316. doi: 10.1089/ham.2020.0103 EDN: LICCWR
- Panteleeva NI, Roshchevskaya IM. The heart electric field on the thorax surface of sportsmen-swimmers during ventricular repolarization under acute normobaric hypoxia. Russian Journal of Physiology. 2016;102(11):1383–1393. EDN: XYGYMZ
Supplementary files








