Imbalance of Barium, Strontium, and Manganese Levels in the Human Body in Breast Cancer
- Authors: Sarf E.A.1, Bel’skaya L.V.1
-
Affiliations:
- Omsk State Pedagogical University
- Issue: Vol 32, No 3 (2025)
- Pages: 172-181
- Section: ORIGINAL STUDY ARTICLES
- Submitted: 04.04.2025
- Accepted: 01.06.2025
- Published: 01.08.2025
- URL: https://hum-ecol.ru/1728-0869/article/view/678136
- DOI: https://doi.org/10.17816/humeco678136
- EDN: https://elibrary.ru/OIITDG
- ID: 678136
Cite item
Full Text
Abstract
BACKGROUND: Among the multifactorial nature of environmental pollution, one of the significant concerns is the impact of heavy metals, as their imbalance in the body is potentially hazardous, and elevated concentrations may lead to the development of serious diseases, including cancer.
AIM: The work aimed to analyze the association between salivary levels of heavy metals (strontium, manganese, and barium) and occupational conditions, as well as the presence of cancer, using breast cancer as a model.
METHODS: A single-center, cross-sectional, observational study was conducted. Inclusion criteria for the main study group included female sex; age 30–70 years; confirmed diagnosis of invasive breast cancer (subgroup 1) or benign breast disease (subgroup 2); no prior treatment at the time of study, including surgery, chemotherapy, or radiotherapy; absence of signs of active infection, including purulent processes; and completed oral cavity sanitation. The inclusion criteria: healthy women without occupational hazards for the control group, and women working at a thermal power plant for the comparison group. The concentrations of strontium, barium, and manganese in saliva were determined in all women using capillary electrophoresis.
RESULTS: Subgroup 1 of the main group included 110 patients with breast cancer (mean age 58.4±9.38 years). Subgroup 2 comprised 62 patients with fibroadenoma (46.7 ± 13 years). The control group consisted of 97 healthy women (48.2±7.95 years), and the comparison group included 41 women employed at a thermal power plant (47.5±9.88 years). Elevated salivary levels of strontium and manganese were observed in subgroup 1. Manganese levels were significantly higher in subgroup 1 compared with the control group (+117%, p=0.045) and the comparison group (+105.2%). Strontium was not detected in the saliva of the control group, whereas its concentration in subgroup 1 was 3.5 times higher than in the comparison group (p <0.001). No significant differences in barium levels were found between the groups. A significant increase in salivary manganese and strontium concentrations was observed with advancing stage and aggressiveness of breast cancer.
CONCLUSION: Comparison with saliva samples from women exposed to occupational hazards suggests that the source of heavy metal accumulation is not environmental exposure but an internal imbalance of trace elements. Consequently, salivary accumulation of strontium and manganese appears to be associated with breast cancer progression.
Keywords
Full Text
ОБОСНОВАНИЕ
Антропогенное загрязнение окружающей среды создаёт серьёзную проблему своими негативными последствиями для здоровья человека [1]. Одной из актуальных задач биомониторинга является установление связей между состоянием окружающей среды и здоровьем населения. Среди многофакторного характера загрязнений ключевой проблемой является воздействие тяжёлых металлов, поскольку их дисбаланс в организме является потенциально опасным. Тяжёлые металлы присутствуют в составе земной коры, а также в воздухе, воде, почве и растениях [2, 3]. Кроме того, источником поступления металлов в организм являются медикаменты, продукты питания, напитки и пищевые добавки [4]. Тяжёлые металлы имеют свойство избирательно накапливаться в определённых органах и тканях, структурно и функционально нарушая их [5]. Избыточные концентрации данных микроэлементов могут оказывать угнетающее токсическое действие, а также вызывать серьёзные нарушения функций на уровне клетки и ткани, приводя к патологическим изменениям в организме и развитию серьёзных заболеваний, в том числе онкологических [6, 7].
В городах с неблагополучной экологической ситуацией и при наличии крупных промышленных предприятий отмечают более высокий онкологический риск для населения [8, 9]. Одним из наиболее распространённых злокачественных заболеваний женщин во всём мире является рак молочной железы (РМЖ) [10]. Как известно, помимо генетических факторов, курения и образа жизни, повышающих риск его развития, многие загрязнители окружающей среды также обладают канцерогенным эффектом [11, 12]. В последние годы обнаружено, что метаболизм некоторых тяжёлых металлов связан с возникновением РМЖ [8, 13–15]. Одним из важных последствий техногенной нагрузки на организм является возникновение окислительного стресса, что приводит к образованию активных форм кислорода и свободных радикалов, снижающих энергетический потенциал клеток. Для защиты клеток от радикалов активируется система антиоксидантных ферментов, в том числе супероксиддисмутазы (СОД). В организме человека ионы марганца (Mn2+ и Mn3+) являются наиболее распространёнными окислёнными состояниями. Они входят в состав фермента марганцевой СОД, которая отвечает за детоксикацию активных форм кислорода в митохондриях при окислительном стрессе. Именно поэтому при избыточном поступлении марганца вероятны нарушения многих ферментных систем с развитием серьёзных токсических эффектов [16]. Токсическое действие тяжёлых металлов приводит к вытеснению эссенциальных элементов из металлсодержащих комплексов. За счёт близости атомных радиусов стронций может замещать кальций в минеральном матриксе костей, а также в важнейших регуляторных процессах, обусловливая его аккумуляцию в организме [17]. При этом стронций влияет на динамику иммунных клеток, а также выработку противовоспалительных цитокинов. Барий в низких концентрациях является важнейшим эссенциальным элементом, обеспечивая корректное функционирование нервной системы [18]. Имея с калием практически одинаковые размеры радиуса, барий может конкурировать с ним в биохимических процессах [19]. При высоких концентрациях он способен блокировать калиевые каналы нейронов, меняя при этом баланс натрия и калия, что приводит к нарушению функций клеточной мембраны.
В качестве биологических индикаторов содержания тяжёлых металлов в организме используют кровь, волосы, мочу, слюну и др. [5, 20]. Исследование крови для регулярного мониторинга является затруднительным в виду инвазивности методик отбора биоматериала. Моча и волосы не отражают действующую нагрузку, а показывают интенсивность элиминации тяжёлых металлов из организма. Использование слюны человека в качестве биосубстрата имеет преимущества по сравнению с венозной или капиллярной кровью, а именно: неинвазивность сбора и отсутствие риска инфицирования при получении биоматериала [21, 22]. При этом слюна объективно демонстрирует влияние как различных внешних факторов окружающей среды, так и внутренних биохимических процессов, а также отражает системное действие заболеваний на организм человека [23]. Ранее мы установили повышенное содержание бария, стронция и марганца в слюне работников теплоэлектроцентрали (ТЭЦ) [23]. Согласно литературным данным, перечисленные металлы могут быть вовлечены в процесс канцерогенеза при РМЖ [8, 13]. Однако остаётся неясным, какие тяжёлые металлы можно использовать в качестве предикторов развития РМЖ и увеличение концентрации каких из них связано с загрязнением окружающей среды или профессиональными вредностями [11].
Цель
Проанализировать взаимосвязь содержания тяжёлых металлов (стронция, марганца, бария) в слюне с профессиональными условиями труда и наличием онкологического заболевания на примере РМЖ.
МЕТОДЫ
Дизайн исследований
Проведено наблюдательное одноцентровое одномоментное исследование.
Критерии соответствия
Среди критериев включения в основную группу выделяли:
- женский пол;
- возраст 30–70 лет;
- наличие подтверждённого диагноза инвазивного рака молочной железы либо доброкачественного заболевания молочных желёз;
- отсутствие какого-либо лечения на момент проведения исследования, в том числе хирургического, химиотерапевтического или лучевого;
- отсутствие признаков активной инфекции, включая гнойные процессы;
- проведённая санация полости рта.
Дополнительные критерии включения: в контрольную группу — здоровые женщины без профессиональных вредностей, группу сравнения — женщины, работающие на ТЭЦ.
Критерии невключения:
- отсутствие гистологической верификации диагноза;
- наличие хронических, воспалительных и инфекционных заболеваний;
- наличие воспалительных заболеваний полости рта, способных повлиять на результаты анализа слюны.
Условия проведения исследования
Пациенты основной группы набраны на базе приёмного отделения БУЗОО «Клинический онкологический диспансер» г. Омска, пациенты контрольной группы — на базе отделения переливания крови БУЗОО «Клинический онкологический диспансер» г. Омска в 2023−2024 гг. Группу сравнения набирали при проведении плановой диспансеризации сотрудников ТЭЦ в 2017−2018 гг.
Сбор и анализ образцов слюны
Образцы слюны собирали путём сплёвывания без дополнительной стимуляции в интервале 8–10 часов утра (время максимальной секреции слюны), натощак после предварительного полоскания полости рта водой. Непосредственно после сбора образцы центрифугировали при 10 000×g в течение 10 мин с использованием медицинской центрифуги ЦЛн-16® (Xiangzhi Centrifuge, Китай). Отбирали 1 мл верхнего слоя, переносили в пробирки типа Эппендорф и хранили в морозильной камере при температуре −80 °С до проведения анализа.
Основной исход исследования
Содержание стронция, марганца, бария в слюне женщин в зависимости от профессиональных условий труда и наличия онкологического заболевания на примере РМЖ.
Дополнительный исход исследования
Сравнение концентрации стронция и марганца в слюне у женщин с РМЖ в зависимости от его стадии и молекулярно-биологического подтипа.
Методы регистрации исходов
Определение стронция, бария и марганца проводили методом капиллярного электрофореза с использованием системы КАПЕЛЬ-105М® (Люмэкс, Россия) в соответствии с ранее описанной методикой [23].
Этическая экспертиза
Исследование одобрено на заседаниях комитета по этике Омского государственного педагогического университета (протоколы № 46/04-2 от 20.03.2024 и № 46-04/3 от 17.04.2024). У всех участниц предварительно получено информированное добровольное согласие.
Статистический анализ
Принципы расчёта размера выборки: размер выборки предварительно не рассчитывали.
Методы статистического анализа данных. Статистический анализ выполнен при помощи программ Statistica® 10.0 (StatSoft, Соединённые Штаты Америки) непараметрическим методом с использованием в зависимых группах критерия Вилкоксона, в независимых — U-критерия Манна–Уитни после предварительной проверки характера распределения и гомогенности дисперсий в группах. Результаты представлены в виде Me [Q25; Q75], где Ме — медиана, Q25 и Q75 — 25-й и 75-й процентиль соответственно. Различия считали статистически значимыми при p <0,05.
РЕЗУЛЬТАТЫ
Формирование и характеристики выборки
Мы использовали образцы слюны женщин-добровольцев, разделённых на следующие группы и подгруппы:
- 1-я подгруппа основной группы — пациентки с гистологически подтверждённым диагнозом инвазивного РМЖ в возрасте 58,4±9,38 года (n=110);
- 2-я подгруппа основной группы — пациентки с доброкачественными заболеваниями молочных желёз в возрасте 46,7±13 лет (фиброаденомы, n=62);
- контрольная группа — здоровые женщины без профессиональных вредностей в возрасте 48,2±7,95 года (n=97).
Статистически значимых различий между группами по возрасту не выявлено.
Дополнительно сформирована группа сравнения, включающая женщин-добровольцев (n=41), работающих на ТЭЦ г. Омска, где воздействие тяжёлых металлов рассматривают как вредный производственный фактор. Средний возраст участниц этой группы составил 47,5±9,88 года.
У всех пациенток 1-й подгруппы гистологически и цитологически подтверждена инвазивная карцинома молочных желёз следующих стадий:
- стадия I — 30 (27,3%);
- стадия II — 55 (51,8%);
- стадии III и IV — 23 (20,9%).
Кроме того, выборка включала пациенток с разными молекулярно-биологическими подтипами РМЖ:
- тройной негативный РМЖ (ТНРМЖ) — 16 (14,5%);
- люминальный А — 36 (32,7%);
- люминальный В [отрицательный по рецепторам эпидермального фактора роста 2 (HER2)] — 34 (30,9%);
- люминальный В (HER2-положительный) — 12 (10,9%);
- нелюминальный — 12 (10,9%).
У женщин контрольной группы не выявлено патологий молочных желёз по данным плановых маммографии и ультразвукового исследования.
Основные результаты исследования
В слюне у женщин 1-й подгруппы отмечено повышение содержания стронция и марганца (табл. 1). Концентрация марганца статистически значимо увеличилась на 117% (р=0,045), он обнаружен в 84,5% образцов по сравнению с 7,2% в контрольной группе. Стронций в слюне у женщин контрольной группы не обнаружен, тогда как у пациенток 1-й подгруппы его концентрация выше предела обнаружения в 38 образцах из 110 (34,5%). У пациенток 2-й подгруппы стронций и марганец также присутствовали в слюне (19,4 и 64,5% соответственно), однако увеличение их концентраций не было статистически значимым (см. табл. 1). Для стронция установлено статистически значимое повышение концентрации в слюне пациенток 1-й подгруппы по сравнению со 2-й подгруппой (p=0,032). Различий в содержании бария между исследуемыми группами не выявлено.
Таблица 1. Содержание стронция, бария и марганца в слюне женщин в группах
Table 1. Salivary concentrations of strontium, barium, and manganese in women from the study groups
Содержание | Основная группа | Группа сравнения, n=41 | Контрольная группа, n=97 | |
1-я подгруппа, n=110 | 2-я подгруппа, n=62 | |||
Sr2+, мг/л | — | |||
Ba2+, мг/л | ||||
Mn2+, мг/л | ||||
Примечание. Результаты представлены в виде Me [Q25; Q75], где Ме — медиана, Q25 и Q75 — 25-й и 75-й процентиль соответственно. 1 — статистически значимые отличия от показателя 1-й подгруппы, p=0,0327; 2 — статистически значимые отличия от показателя 1-й подгруппы, p <0,0001; 3 — статистически значимые отличия от показателя 1-й подгруппы, p=0,0452.
Показано, что концентрация стронция в слюне у пациенток 2-й подгруппы и женщин группы сравнения не имеет статистически значимых различий. Однако его чаще выявляли у женщин группы сравнения, чем в остальных группах. Тем не менее концентрация стронция в слюне пациенток 1-й подгруппы превышала его содержание в группе сравнения в 3,5 раза (p <0,001) и в 3,3 раза — по сравнению с пациентками 2-й подгруппы (р=0,032). Содержание бария не демонстрировало зависимости ни от условий труда, ни от наличия патологии молочных желёз. Для марганца установлены схожие концентрации у пациенток 1-й и 2-й подгрупп, при этом в обеих подгруппах его содержание было выше, чем у женщин группы сравнения на 105,2 и 57,9% соответственно.
Дополнительные результаты исследования
На следующем этапе проведено сравнение концентрации стронция и марганца в слюне в зависимости от стадии РМЖ (рис. 1).
Рис. 1. Концентрация стронция (а) и марганца (b) в слюне женщин с раком молочной железы в зависимости от его стадии.
Fig. 1. Salivary concentrations of strontium (a) and manganese (b) in women with breast cancer, depending on disease stage.
Содержание стронция в слюне повышается на:
- I стадии РМЖ в 2,6 раза (р=0,013);
- II стадии — в 4,1 раза (р <0,001);
- III–IV стадии — в 4,6 раза (р <0,001) (см. рис. 1, а).
При этом частота обнаружения стронция в слюне растёт при переходе от ранних стадий РМЖ к распространённым: 40 и 47,8% на I и III–IV стадии соответственно. Аналогичная ситуация характерна для марганца (см. рис. 1, b). Его содержание в слюне увеличивается с прогрессированием стадии РМЖ, а именно:
- на I стадии РМЖ в 1,9 раза;
- на II стадии — в 2,2 раза;
- на III–IV стадии — в 2,6 раза (р=0,015) (см. рис. 1, b).
Частота обнаружения ионов марганца в слюне также увеличена с 86,7 до 91,3% на I и III–IV стадии РМЖ соответственно.
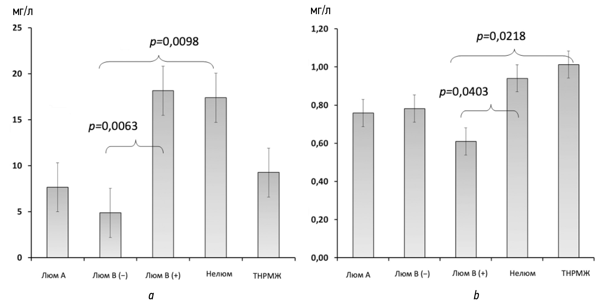
Дополнительно мы проанализировали изменение концентрации стронция и марганца в зависимости от молекулярно-биологического подтипа РМЖ (рис. 2). Для стронция показано статистически значимое увеличение концентрации при HER2-положительных подтипах [люминальном В (+) и нелюминальном — в 8,4 и 8,1 раза соответственно]. Минимальное изменение концентрации стронция показано для люминальных HER2-отрицательных подтипов РМЖ [люминальном А и B (−) — в 3,6 и 2,3 раза соответственно] (см. рис. 2, а). Кроме того, отмечено статистически значимое увеличение концентрации стронция при HER2-положительных подтипах по сравнению с люминальным В (−) РМЖ и группой сравнения (р <0,001). При ТНРМЖ концентрация стронция также увеличена в 9,3 раза относительно группы сравнения (р <0,001). Для марганца повышение концентрации выявлено только при нелюминальном и ТНРМЖ — в 2,6 и 2,8 раза соответственно (см. рис. 2, b). Отличия от контрольной группой статистически значимы для нелюминального (р=0,031) и ТНРМЖ (р=0,013).
Рис. 2. Концентрация стронция (а) и марганца (b) в слюне женщин с раком молочной железы в зависимости от его молекулярно-биологического подтипа. Люм А — люминальный А; Люм B (−) — люминальный B (−); Люм B (+) — люминальный B (+); Нелюм — нелюминальный; ТНРМЖ — тройной негативный рак молочной железы.
Fig. 2. Salivary concentrations of strontium (a) and manganese (b) in women with breast cancer, depending on molecular subtype. Lum A, luminal A; Lum B (−), luminal B (−); Lum B (+), luminal B (+); Non-lum, non-luminal; TNBC, triple-negative breast cancer.
ОБСУЖДЕНИЕ
Показано, что концентрация исследуемых тяжёлых металлов статистически значимо выше у пациенток с РМЖ по сравнению с остальными группами. Так, содержание марганца в слюне пациенток с РМЖ статистически значимо выше, чем женщин контрольной и сравнения групп (см. табл. 1). Поступление марганца из окружающей среды, даже при условии повышенных концентраций, процесс очень медленный. Для достижения хронической интоксикации марганцем требуется несколько лет [16]. Он обладает большой комплексообразующей способностью, служит кофактором многих ферментов (СОД, каталазы, аргиназы) [23]. В исследуемых группах без РМЖ концентрация марганца находится в пределах нормы. Развитие злокачественной опухоли в организме человека может сопровождаться дисбалансом микро- и макроэлементов. Одним из ключевых механизмов, вовлечённых в канцерогенез, является окислительный стресс, вызывающий повреждение мембран клеток и митохондрий, липидов, белков, нарушение водно-ионного гомеостаза и нуклеотидной последовательности дезоксирибонуклеиновых кислот, а также вегетативно-медиаторную дисфункцию клетки [24]. В ответ на окислительный стресс возрастает активность фермента СОД. Марганцевая СОД является основным ферментом, который отвечает за детоксикацию активных форм кислорода в митохондриях [25]. Вероятно, увеличение содержания марганца в слюне женщин с РМЖ связано с реакцией организма в виде повышения активности данного фермента. Полученные данные свидетельствуют о том, что не всегда повышение концентрации тяжёлых металлов, в частности марганца, является результатом техногенной нагрузки и следствием работы на вредных производствах. Кроме того, установлено, что с увеличением стадии заболевания и ростом опухолевой массы концентрация марганца увеличивается. Именно поэтому его накопление можно рассматривать как специфический маркёр опухолевого процесса. При этом, по данным литературы, содержание марганца в сыворотке при РМЖ может снижаться, тогда как в слюне, напротив, повышаться, что обусловлено системным дисбалансом и нарушением метаболических путей [13, 26].
Установлено, что концентрация стронция статистически значимо выше в слюне пациенток с РМЖ по сравнению с женщинами группы сравнения. Его распределение и метаболизм в организме человека аналогичны кальцию: около 99% стронция депонируется в костной и соединительной ткани, а также в зубах. При этом он участвует в постоянном обмене между костной тканью и кровью, поддерживая динамический баланс [26]. Стронций способен замещать кальций в минеральном матриксе костной ткани и относительно быстро обмениваться с ним в плазме или костной массе, нарушая регуляцию внутриклеточных сигнальных каскадов [18, 28]. Ранее установлено, что при РМЖ наблюдают снижение концентрации кальция [29]. Отмечено увеличение содержания стронция при переходе от ранних к более распространённым стадиям РМЖ, что, вероятно, обусловлено системным воздействием заболевания. Именно поэтому при снижении концентрации кальция закономерно наблюдают рост содержания стронция. Его повышение в слюне женщин с РМЖ можно связать с разрушением мембран клеток крови и выходом ионов стронция из внутриклеточного пространства. Он имеет способность опосредованно модифицировать транскрипцию некоторых генов, контролирующих апоптоз, что поясняет увеличение содержания стронция именно у пациенток с РМЖ [29]. В слюне здоровых женщин контрольной группы он не обнаружен. Таким образом, наличие стронция в организме можно связать как с определёнными вредными условиями труда, так и с наличием системного заболевания, включая РМЖ. Результаты настоящего исследования демонстрируют, что на содержание тяжёлых металлов в слюне в большей степени влияет системное воздействие основного заболевания.
Дополнительно показано, что увеличение концентрации марганца и стронция зависит от молекулярно-биологического подтипа РМЖ, что подтверждено и в другом исследовании [30]. Так, повышение концентрации марганца наблюдали для таких подтипов, как нелюминальный, люминальный B (HER2-положительный) и ТНРМЖ, которые характеризуются агрессивным течением и неблагоприятным прогнозом. Для стронция выявлено увеличение концентрации при нелюминальном и ТНРМЖ. Эти подтипы объединяет отсутствие рецепторов эстрогена и прогестерона, что также является прогностически неблагоприятным признаком РМЖ. Таким образом, наблюдают повышение концентрации тяжёлых металлов в слюне как при увеличении стадии заболевания, так и при росте агрессивности молекулярного подтипа РМЖ. Результаты многих исследований говорят о сложном характере нарушений обмена металлов в организме при развитии онкологических заболеваний [9, 14, 25]. Некоторые элементы могут находиться в дефиците, тогда как избыток других способен оказывать токсическое воздействие, способствуя развитию онкопатологии. Полученные на данный момент результаты позволяют оценить степень риска развития онкологических заболеваний при нарушении обмена конкретных металлов в организме.
ЗАКЛЮЧЕНИЕ
Показано, что при РМЖ происходит увеличение содержания марганца и стронция в слюне, прямо пропорциональное стадии заболевания и степени агрессивности опухоли. Для бария подобных закономерностей не выявлено. Сравнение с образцами слюны женщин с вредными профессиональными условиями труда позволяет предположить, что источником поступления тяжёлых металлов является не окружающая среда, а внутренний дисбаланс микроэлементов в организме. В результате этого именно в слюне наблюдают накопление стронция и марганца при прогрессировании РМЖ.
ДОПОЛНИТЕЛЬНАЯ ИНФОРМАЦИЯ
Вклад авторов. Е.А. Сарф — проведение исследования, сбор и анализ литературных данных, подготовка и написание текста рукописи; Л.В. Бельская — концепция исследования, сбор и анализ литературных данных, проведение исследования, анализ данных, написание и редактирование текста рукописи. Все авторы одобрили рукопись (версию для публикации), а также согласились нести ответственность за все аспекты работы, гарантируя надлежащее рассмотрение и решение вопросов, связанных с точностью и добросовестностью любой её части.
Этическая экспертиза. Проведение исследования одобрено локальным этическим комитетом Омского государственного педагогического университета (протоколы № 46/04-2 от 20.03.2024 и № 46-04/3 от 17.04.2024). Все участники исследования до включения в исследование добровольно подписали форму информированного согласия, утверждённую в составе протокола исследования этическим комитетом.
Источники финансирования. Научное исследование проведено за счёт гранта Российского научного фонда «Диагностическая и прогностическая значимость аминокислотного профиля слюны при раке молочной железы» (грант РНФ № 23-15-00188).
Раскрытие интересов. Авторы заявляют об отсутствии отношений, деятельности и интересов за последние три года, связанных с третьими лицами (коммерческими и некоммерческими), интересы которых могут быть затронуты содержанием статьи.
Оригинальность. При создании настоящей работы авторы не использовали ранее опубликованные сведения (текст, иллюстрации, данные).
Доступ к данным. Все данные, полученные в настоящем исследовании, доступны в статье.
Генеративный искусственный интеллект. При создании настоящей статьи технологии генеративного искусственного интеллекта не использовали.
Рассмотрение и рецензирование. Настоящая работа подана в журнал в инициативном порядке и рассмотрена по обычной процедуре. В рецензировании участвовали два внешних рецензента, член редакционной коллегии и научный редактор издания.
ADDITIONAL INFORMATION
Author contributions: E.A. Sarf: investigation, data curation, writing—original draft; L.V. Bel’skaya: conceptualization, data curation, investigation, formal analysis, writing—original draft, writing—review & editing. All the authors approved the version of the manuscript to be published and agreed to be accountable for all aspects of the work, ensuring that questions related to the accuracy or integrity of any part of the work are appropriately investigated and resolved.
Ethics approval: The study was approved by the Local Ethics Committee of Omsk State Pedagogical University (Protocols No. 46/04-2 dated March 20, 2024, and No. 46-04/3 dated April 17, 2024). All participants provided written informed consent, approved by the Ethics Committee as part of the study protocol, prior to inclusion in the study.
Funding sources: The study was supported by the Russian Science Foundation grant: Diagnostic and Prognostic Significance of the Salivary Amino Acid Profile in Breast Cancer (RSF Grant No. 23-15-00188).
Disclosure of interests: The authors have no relationships, activities, or interests for the last three years related to for-profit or not-for-profit third parties whose interests may be affected by the content of the article.
Statement of originality: No previously published material (text, images, or data) was used in this work.
Data availability statement: All data generated during this study are available in this article.
Generative AI: No generative artificial intelligence technologies were used to prepare this article.
Provenance and peer review: This paper was submitted unsolicited and reviewed following the standard procedure. The peer review process involved two external reviewers, a member of the editorial board, and the in-house scientific editor.
About the authors
Elena A. Sarf
Omsk State Pedagogical University
Email: nemcha@mail.ru
ORCID iD: 0000-0003-4918-6937
SPIN-code: 9161-0264
Russian Federation, Omsk
Lyudmila V. Bel’skaya
Omsk State Pedagogical University
Author for correspondence.
Email: belskaya@omgpu.ru
ORCID iD: 0000-0002-6147-4854
SPIN-code: 4189-7899
Cand. Sci. (Chemistry)
Russian Federation, OmskReferences
- Shilov VV, Markova OL, Kuznetsov AV. Biomonitoring of influence of harmful chemicals on the basis of the modern biomarkers. literature review. Hygiene and sanitation. 2019;98(6):591–596. doi: 10.18821/0016-9900-2019-98-6-591-596 EDN: QLAQMS
- Kumar S, Prasad S, Yadav KK, et al. Hazardous heavy metals contamination of vegetables and food chain: Role of sustainable remediation approaches − A review. Environmental Research. 2019;179:108792. doi: 10.1016/j.envres.2019.108792
- Malofeevskaja NA, Rubcova OV. Environmental situation as a factor in the formation of malignant neoplasms in Russia. Society. Environment. Development. 2016;41(4):158–264. (In Russ.) EDN: YHMNZD
- Kazimov MA, Alieva NV. Examination and hygienic assessment of health risk depending on heavy metals content in foods. Kazan medical journal. 2014;95(5):706–709. doi: 10.17816/KMJ2220 EDN: STAJQH
- Voronkova IP, Mikhaylova IV, Boev VM, et al. Characteristics of the content of toxic trace elements in the hair and blood of children from various districts of Orenburg oblast. International Research Journal. 2021;107(5):12–16. doi: 10.23670/IRJ.2021.107.5.036 EDN: BUGCOT
- Skugoreva SG, Ashikhmina TYa, Fokina AI, Lyalina EI. Chemical grouns of toxic effect of heavy metals (review). Theoretical and Applied Ecology. 2016;(1):4–13. EDN: VXCBRP
- Lamas GA, Navas-Acien A, Mark DB, Lee KL. Heavy metals, cardiovascular disease, and the unexpected benefits of chelation therapy. Journal of the American College of Cardiology. 2016;67(20):2411–2418. doi: 10.1016/j.jacc.2016.02.066
- Yusupbekov A, Khudaykulov A, Danilova Y. Analysis of the content of microelements in hair in patients with breast cancer. Problems in oncology. 2019;65(1):110–113. doi: 10.37469/0507-3758-2019-65-1-110-113 EDN: AZEHSD
- Kresovich JK, Erdal S, Chen HY, et al. Metallic air pollutants and breast cancer heterogeneity. Environmental Research. 2019;177:108639. doi: 10.1016/j.envres.2019.108639
- Heer E, Harper A, Escandor N, et al. Global burden and trends in premenopausal and postmenopausal breast cancer: a population-based study. The Lancet Global Health. 2020;8(8):e1027–e1037. doi: 10.1016/S2214-109X(20)30215-1 EDN: JMASFE
- Iacoviello L, Bonaccio M, de Gaetano G, Donati MB. Epidemiology of breast cancer, a paradigm of the “common soil” hypothesis. Seminars in Cancer Biology. 2020;72(1):4–10.
- Kolpakova AF, Sharipov RN, Volkova OA, Kolpakov FA. The role of particulate matter air pollution in cancer pathogenesis. Siberian journal of oncology. 2021;20(2):102–109. doi: 10.21294/1814-4861-2021-20-2-102-109 EDN: YBCFRO
- Liu L, Chen J, Liu C, et al. Relationships between biological heavy metals and breast cancer: a systematic review and meta-analysis. Frontiers in Nutrition. 2022;9:838762. doi: 10.3389/fnut.2022.838762 EDN: HSJWRA
- Jabran M, Rangraze I. Unravelling the complex interplay: environmental mixtures and breast cancer risk. Siberian journal of oncology. 2024;23(2):111–118. doi: 10.21294/1814-4861-2024-23-2-111-118 EDN: BPBDAE
- Koual M, Tomkiewicz C, Cano-Sancho G, et al. Environmental chemicals, breast cancer progression and drug resistance. Environmental Health. 2020;19(1):117. doi: 10.1186/s12940-020-00670-2 EDN: WOXYHP
- Shestova GV, Ivanov TM, Livanov GA, Sizova KV. Manganese toxic properties and magnese toxicity as a threat to public health. Medicine of Extreme Situations. 2014;50(4):59–65. EDN: TCUVMF
- Ru X, Yang L, Shen G, et al. Microelement strontium and human health: comprehensive analysis of the role in inflammation and non-communicable diseases (NCDs). Frontiers in Chemistry. 2024;12:1367395. doi: 10.3389/fchem.2024.1367395 EDN: ZHGWIO
- Chashchin VP, Ivanova OM, Ivanova MA. Medical and ecological aspects of associations between human exposure to trace concentrations of stable barium and strontium and functional disorders of the body. A review. Ekologiya cheloveka (Human Ecology). 2019;26(4):39–47. doi: 10.33396/1728-0869-2019-4-39-47 EDN: ZDDDRR
- Stopnitsky AA, Akalayev RN, Khadzhibayev AM. Features of the clinical course, diagnosis and intensive care of acute barium poisoning (cases report). Russian Sklifosovsky Journal of Emergency Medical Care. 2021;10(4):818–823. doi: 10.23934/2223-9022-2021-10-4-818-823 EDN: BDVVYN
- Zaitseva NV, Ustinova OYu, Zvezdin VN, et al. Experience of using subcutaneous interstitial fl uid for biomonitoring a dose load in workers of metallurgic industry. Russian Journal of Occupational Health and Industrial Ecology. 2016;(8):1–5. EDN: WJHXDF
- Soares Nunes LA, Mussavira S, Sukumaran Bindhu O. Clinical and diagnostic utility of saliva as a non-invasive diagnostic fluid: a systematic review. Biochemia Medica. 2015;25(2):177–192. doi: 10.11613/BM.2015.018
- Malathi N, Mythili S, Vasanthi HR. Salivary diagnostics: a brief review. ISRN Dentistry. 2014;2014:1–8. doi: 10.1155/2014/158786
- Sarf EA, Makarova NA, Bel'skaya LV. Determination of the macro- and microelement composition of the saliva of СHPP workers. Ekologiya cheloveka (Human Ecology). 2022;29(4):285–295. doi: 10.17816/humeco104698 EDN: CMIPYJ
- Saptarova LM, Bikmetova ER, Bayburina DE, et al. Activity of manganese-containing superoxide dismutase in breast cancer. Modern Problems of Science and Education. 2024;(2):35–35. doi: 10.17513/spno.33379 EDN: TPPZUQ
- Cai Q, Shu XO, Wen W, et al. Genetic polymorphism in the manganese superoxide dismutase gene, antioxidant intake, and breast cancer risk: results from the Shanghai Breast Cancer Study. Breast Cancer Research. 2004;6(6):R647. doi: 10.1186/bcr929 EDN: YYQRQR
- Pande D, Karki K, Negi R, et al. NF-κB p65 Subunit DNA-binding activity: association with depleted antioxidant levels in breast carcinoma patients. Cell Biochemistry and Biophysics. 2013;67(3):1275–1281. doi: 10.1007/s12013-013-9645-1 EDN: SSBFAR
- Cai Z, Li Y, Song W, et al. Anti-inflammatory and prochondrogenic in situ-formed injectable hydrogel crosslinked by strontium-doped bioglass for cartilage regeneration. ACS Applied Materials & Interfaces. 2021;13(50):59772–59786. doi: 10.1021/acsami.1c20565 EDN: EGYVOA
- Dolgikh OV, Dianova DG, Krivtsov AV. Cell death under conditions of haptic contamination of biological media by stable strontium. Ekologiya cheloveka (Human Ecology). 2021;28(10):21–28. doi: 10.33396/1728-0869-2021-10-21-28 EDN: JZVVVL
- Dyachenko EI, Bel’skaya LV. Salivary metabolites in breast cancer and fibroadenomas: focus on menopausal status and BMI. Metabolites. 2024;14(10):531. doi: 10.3390/metabo14100531 EDN: PGIENV
- Agaeva AV, Gromov DD, Chemakina OV, et al. Impact of surrogate molecular biological subtype on breast cancer survival: in-depth epidemiological analysis based on the Archangelsk regional cancer registry data. Voprosy Onkologii. 2023;69(4):639–647. doi: 10.37469/0507-3758-2023-69-4-639-647 EDN: RSZZPH
Supplementary files






