Variations of human heart bioelectrical signals at hypoxic exposure
- Authors: Bocharov M.I.1, Shilov A.S.1
 - 
							Affiliations: 
							
- Komi science centre of the Ural branch of the Russian academy of sciences
 
 - Issue: Vol 29, No 3 (2022)
 - Pages: 175-185
 - Section: Articles
 - Submitted: 16.06.2021
 - Accepted: 18.02.2022
 - Published: 01.07.2022
 - URL: https://hum-ecol.ru/1728-0869/article/view/71603
 - DOI: https://doi.org/10.17816/humeco71603
 - ID: 71603
 
Cite item
Full Text
Abstract
BACKGROUND: In the area of physiology and medicine, special emphasis is placed on the study of hypoxic conditions. Hypoxic responses of some major physiological systems, including blood circulation, are described. However, the cardiological component of these individual responses, and their variability at different levels of acute hypoxia (AH) remains a poorly-studied aspect.
AIM: To study the individual characteristics of the response types in conjugated ECG parameters, and their variations at different stages of mild and medium AH.
MATERIAL AND METHODS: The experiments were performed on male subjects (18–26 years old) divided into two groups (n1=30 and n2=29), who were exposed to AH of 14.5% at 12.3% O2 for 20 min. Amplitude (P1II, RII, T1II, BAL, BAR) and temporal (R–R, Q–T) ECG parameters, and blood oxygenation (SpO2) were determined at AH periods (at 5, 10, and 20 min respectively). In subgroups (clusters), the features of types with “low” and “high” responses, and their stability in AH are described.
RESULTS: Clustering of ECG variations with AH of 14.5% and 12.3% O2 identified two subgroups (clusters), that differed at least in the magnitude of the decrease in the total BAL and R–R. With AH of 14.5% O2, the number of different ECG parameters between subgroups gradually increased: at 5 min — BAL (p <0.001), at 20 min — RII (p=0.047), T1II (p=0.016), BAL (p <0.001), R–R (p=0.035), Q–T (p=0.008), and with AH 12.3% O2 — only BAL (p <0.001). It was found that at all periods of AH of 14.5% O2, in 60% of individuals, the type of response remained. Regarding AH of 12.3% O2 — in 55.2% of the other cases, the type of response of ECG parameters changed. At the same time, no parallels were observed between the types of reactions and deviations in SрO2.
CONCLUSION: From this study, It can be assumed that there are two types of conjugated reactions of ECG parameters in response to mild and medium AH, and their variability is absent in 40% and 44.8% of cases, respectively, as well as the independence of differentiation of ECG responses types from hypoxemia.
Keywords
Full Text
ВВЕДЕНИЕ
Одна из важных проблем, занимающая особое место в экологической физиологии и медицине, — изучение влияния на организм человека экзогенной гипоксии, которая в зависимости от экспрессии комплекса HIF-1-регулируемых генов может способствовать развитию патологии или формированию компенсаторных механизмов адаптации [1–3]. За последние десятилетия всё больше внимания уделяется изучению действия острой нормобарической гипоксии на разные физиологические системы организма, среди которых особое место отводится сердечно-сосудистой системе и, в частности, сердцу как второму по чувствительности к гипоксемии органу после головного мозга [1]. Наибольшее количество работ посвящено характеру изменения вегетативной регуляции деятельности сердца человека при гипоксии. Установлено [4], что при дыхании смесью 8% О2 в азоте в течение 15 мин у испытуемых отмечается одновременное усиление симпатического и ослабление парасимпатического влияния на сердце, и в большинстве случаев это сопровождается снижением вариабельности сердечного ритма (ВСР). Во многих исследованиях [5–7] находит подтверждение тот факт, что с увеличением степени гипоксического воздействия и его длительности, судя по спектральной мощности и другим параметрам ВСР, происходит снижение вегетативной модуляции сердца. Такие изменения вегетативного контроля особенно выражены при острой гипоксии (ОГ) между 14,5 и 9,8% О2 и зависят от средств, вызывающих гипоксию, и индивидуальной реакции [6]. Существуют данные [5], что у мужчин и женщин сохраняется одинаковая направленность изменений параметров ВСР при кратковременном пребывании в условиях ОГ и гипоксической (высокогорной) гипоксии (на высотах 3619, 4600 и 5140 м).
При изучении интегративных механизмов в условиях ОГ (10% О2 в течение 10 мин) установлено [8], что у спортсменов-бегунов высокой квалификации (в отличие от средней) увеличивается кардиореспираторная когерентность частоты дыхания с ритмом сердца в диапазоне частот 0,07–0,08 Гц, что свидетельствует о повышении «точности» настройки межсистемной регуляции у более тренированных спортсменов. Предполагается также, что в покое при ОГ (дыхание газовой смесью с 10% О2 в азоте) и в сочетании с ортостатической нагрузкой величина изменения общего периферического сопротивления сосудов является фактором, определяющим гемодинамику [9]. Исследования на кошках и крысах показали, что при ОГ (10; 7,5; 5 и 3% О2 в азоте) незначительно изменяется систолический выброс, но происходит перераспределение кровотока между разными органами и повышение лёгочного артериального давления и сосудистого сопротивления на фоне стабильного кровотока в лёгочных сосудах. Это сохраняет баланс между выбросом правого и левого желудочков сердца [10]. Замечено, что только в условиях 3% О2 изменения гемодинамики зависели от разной устойчивости животных к гипоксии.
Особый интерес представляют детальные ЭКГ-исследования с ОГ, соответствующей высоте 4800 м над уровнем моря, и адаптации к гипоксической гипоксии (более 4000 м не менее 3 дней) с участием 456 испытуемых [11]. В этих исследованиях показано, что ОГ не вызывала нарушения проводимости, аритмии, изменений оси QRS, а уменьшения амплитуды зубцов Р в разных отведениях были в пределах физиологической нормы. Установлено также, что при кратковременной адаптации к высоте 4000 м ни один параметр ЭКГ в покое и при двигательном тесте не достигал статистической значимости для прогнозирования патологических отклонений. B. Coustet c соавт. [11], анализируя материалы многих исследований, приходят к заключению, что наблюдаемые вариации параметров ЭКГ могут быть связаны с переменной реакцией сердца на гипоксию в зависимости от возраста, физической тренированности, но не опосредованы симпатической активностью.
Данные обзора [12] об ответе организма на гипоксию свидетельствуют о том, что выраженность дефицита кислорода имеет индивидуальную зависимость не столько от адаптационных возможностей и устойчивости организма к гипоксии, сколько от общей реактивности и чувствительности центральных механизмов регуляции.
Таким образом, анализ литературы указывает на недостаточную изученность индивидуальных особенностей реагирования сердца и его биоэлектрических процессов, в частности, в ответ на разную степень нормобарической гипоксии и практически на отсутствие сведений об изменчивости параметров ЭКГ в зависимости от силы и длительности действия экзогенной гипоксии. При этом укажем, что нормобарическая гипоксия, с определёнными оговорками [13], может моделировать действие гипоксической гипоксии на приспособительные регуляторные процессы сердца человека в естественной среде его жизнедеятельности. В принятых нами экспериментальных условиях разной степени ОГ моделировали контрастно отличающиеся высоты над уровнем моря (~3200 и ~4600 м), соответствующие высокогорью (3000–5000 м) [14] по pO2 вдыхаемого воздуха[1].
Цель. Изучить индивидуальные особенности типов реакции сопряженных параметров ЭКГ и их вариаций на разных этапах острой гипоксии лёгкой и средней степени.
МАТЕРИАЛ И МЕТОДЫ
Исследования выполнены на базе кафедры физиологии спорта и физической реабилитации Сыктывкарского государственного университета имени Питирима Сорокина в один период года (январь-февраль) с участием двух групп физически здоровых мужчин 18–26 лет (студентов факультета физической культуры). Испытания проводили в две серии с интервалом в год, сначала на одной группе (n1=30), а затем — на другой (n2=29), в период с 08:30 до 12:00 ч в помещении при термонейтральной температуре воздуха 21–23 оС.
Испытуемые обеих групп статистически значимо (р >0,05) не различались по возрасту и основным антропометрическим признакам (длина и масса тела) [15]. Они были предварительно ознакомлены с протоколом исследования, процедура которого соответствовала этическим медико-биологических нормам, изложенным в Хельсинкской декларации, и локальным актам биоэтического комитета Коми научного центра Уральского отделения Российской академии наук, и дали письменное информированное согласие на участие.
Каждый испытуемый в положении лёжа на кушетке после стабилизации артериального давления подвергался острой нормобарической гипоксии в течение 20 мин. В первой серии испытуемые (n1=30) дышали воздухом, обеднённым кислородом (14,5±0,16%), во второй серии (n2=29) — 12,3±0,14%, что соответствует «базовому» (13–15% О2) и «втягивающему» (11,0–12,9% О2) режимам общепринятых интервальных нормобарических гипоксических тренировок [16], а также входит в диапазон гипокситерапии разных заболеваний [17]. Применяемым воздействиям условно даны номинальные (неметрические) определения: в первом случае «лёгкая», во втором — «средняя» степень ОГ. Испытуемые дышали через маску, соединённую с газовым мешком ёмкостью 50 л, в который поступал воздух, обеднённый кислородом, с помощью модифицированного концентратора AirSep PSA Oxygen Generator Onyx Series (AirSep Corporation, США). Процентное содержание О2 в газовом мешке контролировали анализатором OxiQuant B (EnviteC-Wismar GmbH, Германия), снабжённым датчиком О2 GOEL 369» (Diverse Lieferanten, Германия).
До и во время ОГ измеряли оксигенацию крови (SрO2, %) и частоту сердечных сокращений (ЧСС в минуту–1) при помощи пульсоксиметра NONIN 8500 (Nonin Medical Inc., США). Расчётным методом [18] определяли минутный объём кровообращения (СО, мл/кг · мин–1).
Электрокардиограмму регистрировали в покое, на 5-, 10- и 20-й минуте ОГ с помощью компьютеризованного комплекса «Кардиометр-МТ» (АО «МИКАРД-ЛАНА», Санкт-Петербург, Россия) с автоматической обработкой и усреднением за 24-секундный период измерения в трёх стандартных — I, II, III, трёх усиленных — aVR, aVL, aVF и шести грудных — V1, V2, V3, V4, V5, V6 — отведениях. Анализу подлежали амплитудные — P1II, RII, T1II (мВ) — и временные — R–R, Q–T (мс) — параметры ЭКГ. Дополнительно рассчитывали суммарную биоэлектрическую активность левого (BAL=Rv6+Savf+Sv2) и правого (BAR=Sv6+Ravf+Rv2) отделов сердца (мВ) [19].
Репрезентативность наблюдаемых выборок (n1=30 и n2=29) установлена по формуле [20], когда расчётные показатели для отклонений параметров ЭКГ составили n=11–24.
Статистический анализ выполнен с помощью пакета программ Statistica 10.0 (StatSoft Inc., США). Наблюдаемые параметры имели нормальное распределение, подтверждённое тестом Колмогорова–Смирнова с поправкой Лиллиефорса и значениями коэффициентов асимметрии. Рассчитывали среднюю арифметическую величину (М), её ошибку (m), стандартное отклонение (SD), дисперсию (S2), разность отклонений (d), доверительный интервал (tmd) при р=0,05. В тексте численные значения представлены как М±m. Статистическую значимость различий независимых переменных определяли методом сравнения средних, а зависимых — методом разности отклонений по критерию Стьюдента; различия дисперсий оценивали по F-критерию Фишера. Статистическая значимость различий значений принималась при р <0,05. Для определения индивидуальных особенностей отклонений параметров ЭКГ при ОГ использован кластерный анализ с автоматическим разбиением на 2 кластера.
РЕЗУЛЬТАТЫ
Установлено, что в состоянии покоя параметры ЭКГ (табл.) в группах n1 и n2 по средним величинам и дисперсиям, как и SрO2 (97,9±0,12 и 98,0±0,13%), статистически значимо не различались (р >0,05), что указывает на однородность и возможность их сопоставления в реакциях на разные ОГ-воздействия. Исключение составляют отличия по СО (56,0±2,82 мл/кг · мин–1 и 69,9± 4,35 мл/кг · мин–1 (р=0,009) соответственно).
Таблица. Параметры электрокардиограммы в наблюдаемых группах в покое, М±SD
Table. Electrocardiogram parameters in the observed groups at rest (M±SD)
Параметр Parameter  | n1=30  | n2=29  | t  | p  | F  | p  | 
P1II, мВ P1II, mV  | 0,116±0,037  | 0,128±0,043  | –1,10  | 0,273  | 1,34  | 0,435  | 
RII, мВ RII, mV  | 1,39±0,464  | 1,43±0,400  | –0,38  | 0,701  | 1,34  | 0,443  | 
T1II, мВ T1II, mV  | 0,360±0,126  | 0,360±0,100  | –0,02  | 0,981  | 1,58  | 0,233  | 
BAL, мВ BAL, mV  | 3,30±0,806  | 3,28±0,761  | 0,10  | 0,918  | 1,12  | 0,765  | 
BAR, мВ BAR, mV  | 2,10±0,623  | 2,05±0,451  | 0,34  | 0,728  | 1,90  | 0,096  | 
R–R, мс R–R, ms  | 931,0±148,4  | 866,7±170,9  | 1,53  | 0,131  | 1,32  | 0,455  | 
Q–Т, мс Q–Т, ms  | 391,0±25,77  | 376,4±30,08  | 1,98  | 0,052  | 1,36  | 0,415  | 
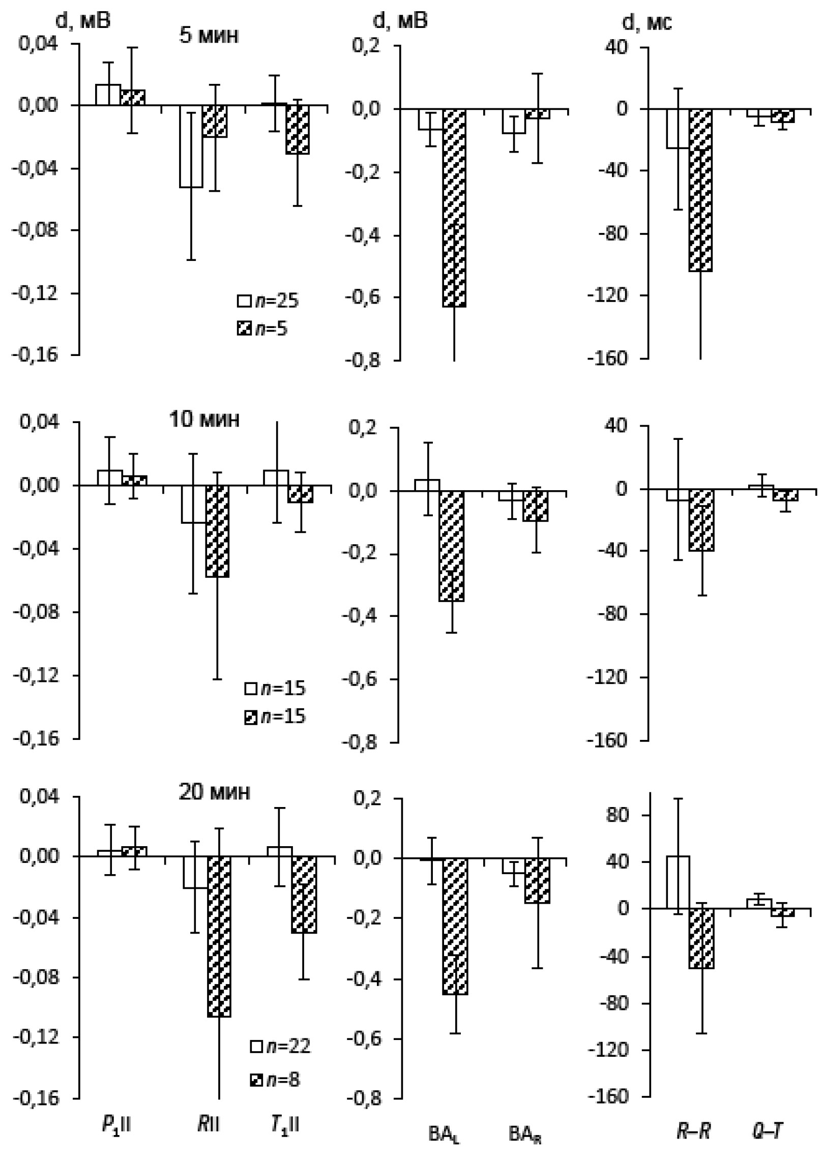
Кластерный анализ отклонений параметров ЭКГ относительно покоя позволил разбить каждую выборку на 2 кластера, которые в разные периоды ОГ лёгкой и средней степени отличались по реакции и количественному составу лиц за счёт изменения типа реакции с увеличением длительности ОГ. Для описания результатов принято условие: 1-й кластер отличается от 2-го меньшим отклонением параметров ЭКГ, поэтому он определён как тип «низкой» реакции, а 2-й кластер — тип «высокой» реакции на ОГ (рис. 1).
Рис. 1. Отклонения параметров электрокардиограммы относительно исходных в разные периоды лёгкой степени гипоксии (14,5% О2) у лиц, входящих в 1-й (светлые столбики) и 2-й (заштрихованные столбики) кластеры (Мd±tmd).
На 5-й минуте легкой ОГ (14,5% О2) (рис. 1) доминирует количество лиц 1-го (25 из 30 человек, 83%) кластера относительно 2-го (5 человек, 17%). У лиц 1-го кластера статистически значимо увеличивался зубец P1II (р=0,048), уменьшались RII (р=0,033), суммарная BAL (р=0,021), BAR (р=0,007) отделов сердца и интервал Q–T (р=0,039), остальные параметры ЭКГ не изменялись (р >0,05) относительно покоя. Во 2-м кластере более существенно уменьшались суммарная BAL отдела сердца (р=0,002), интервалы R–R (р=0,02) и Q–T (р=0,016). Величина СО статистически значимо (р=0,017) увеличивалась на 3,10±1,23 мл/кг · мин–1 только у лиц 1-го кластера. При этом SрO2 у лиц 1-го и 2-го кластеров статистически значимо уменьшалась (р <0,001) на практически одинаковую величину (4,80±0,61 и 5,0±0,63% соответственно).
К 10-й минуте лёгкой ОГ у 10 человек (33%) из 1-го кластера изменялся тип реакции, и они перемещались во 2-й кластер, тем самым образуя две численно равных (по 50%) подгруппы (см. рис. 1). Анализ параметров ЭКГ у лиц 1-го кластера показал отсутствие значимых изменений. Во 2-м кластере существенно уменьшались суммарная BAL (р <0,001), интервалы R–R (р=0,009) и Q–T (р=0,022). В обоих кластерах СО значимо не изменялся (р >0,05). Оксигенация крови статистически значимо (р <0,001) уменьшалась у лиц 1-го кластера — на 5,90±1,22% и 2-го — на 6,10±0,93%.
На 20-й минуте лёгкой ОГ подгруппа 1-го кластера стала составлять 22 человека (73%), а 2-го — 8 человек (27%), в основном за счёт перемещений из 2-го кластера. В 1-м кластере статистически значимо уменьшалась суммарная BAR (р=0,020) и увеличивался интервал Q–T (р=0,002), остальные параметры ЭКГ статистически значимо не изменялись относительно покоя (см. рис. 1). У лиц 2-го кластера значительно уменьшались лишь зубец T1II (р=0,007) и суммарная BAL (р <0,001). Отклонение величины СО в обоих кластерах (–1,50±1,83 и 4,20±1,97) мл/кг · мин–1 статистически значимо не изменялось (р >0,05). В этих условиях SрO2 статистически значимо уменьшалась (р <0,001) в 1-м кластере — на 5,0±0,73% и во 2-м — на бÓльшую величину (10,0±1,13%).
Индивидуальный анализ принадлежности лиц к типам реакции (кластерам) при лёгкой ОГ показал, что из выборки n1=30 большая часть (18 человек, 60%) отличалась стабильностью типа реакции на всём протяжении ОГ, а у 12 человек (40%) из выборки, в основном у лиц из 1-го кластера (11 человек, 36,7%), реакция обладала вариабельностью. Это и определяло разное число лиц в кластерах на отдельных этапах гипоксического воздействия.
Установлено, что при лёгкой ОГ между кластерами обнаруживались статистически значимые различия отклонений параметров ЭКГ: на 5-й минуте — суммарной BAL (р <0,001); на 10-й минуте — суммарной BAL (р <0,001) и интервала Q–T (р=0,031); на 20-й минуте — зубцов RII (р=0,047), T1II (р=0,016), суммарной BAL (р <0,001), интервалов R–R (р=0,035) и Q–T (р=0,008) (рис. 2).
Рис. 2. Отклонения параметров электрокардиограммы относительно исходных на разных периодах средней степени гипоксии (12,3% О2) у лиц, входящих в 1-й (светлые столбики) и 2-й (заштрихованные столбики) кластеры (Мd±tmd).
В условиях ОГ средней степени (12,3% О2) на 5-й минуте её воздействия в 1-й кластер вошло 62%, а во 2-й — 38% испытуемых (n2=29) (рис. 2). В этот период только у лиц из 1-го кластера статистически значимо (р=0,029) увеличивался зубец P1II (см. рис. 2). При этом у лиц 1-го и 2-го кластеров с высокой степенью статистической значимости уменьшались зубцы RII (р <0,001 и р <0,001), T1II (р <0,001 и р <0,001), суммарная BAL (р=0,004 и р <0,001) и BAR (р <0,001 и р=0,002), интервалы R–R (р <0,001 и р <0,001) и Q–T (р <0,001 и р=0,001) соответственно. Производительность сердца (СО) статистически значимо увеличивалась у лиц 1-го кластера на 7,40±2,04 мл/кг · мин–1 (р=0,002) и не изменялась у лиц 2-го кластера (на 4,8 ± 4,07) мл/кг · мин–1 (р >0,05) при отсутствии между ними значимых различий (р >0,05). Оксигенация крови статистически значимо уменьшалась относительно покоя у лиц 1-го и 2-го кластеров на практически одинаковую (р <0,001) величину (11,40±0,96 и 11,30±1,23% соответственно).
На 10-й минуте средней ОГ уменьшалось количество лиц, входящих в 1-й кластер (27,6%) и увеличивалось — во 2-й (72,4%) (см. рис. 2). В этих условиях у лиц 1-го кластера статистически значимо уменьшались только зубцы RII (р=0,006), T1II (р=0,006) и суммарная BAR (р <0,009). У лиц 2-го кластера параметры ЭКГ (RII, T1II, BAL, BAR, R–R, Q–T) уменьшались с высокой степенью вероятности (р <0,001). Величина СО существенно увеличивалась у лиц в 1-м — на 11,20±3,15 мл/кг · мин–1 (р=0,009) и во 2-м кластере — на 13,30±2,87 мл/кг · мин–1 (р <0,001). Статистически значимо (р <0,001) уменьшалась SрO2 у лиц из 1-го (16,90±1,28%) и 2-го (14,70±0,98%) кластеров.
На 20-й минуте средней ОГ соотношение количества лиц в подгруппах изменилось: в 1-м кластере — 31%, а во 2-м — 69% от выборки. В этот период у лиц из 1-го кластера существенно уменьшались зубцы RII (р=0,010), T1II (р <0,001), суммарная BAR (р=0,020), интервал R–R (р=0,017) (см. рис. 2). Во 2-м кластере к таким же изменениям дополнились с высокой статистической значимостью уменьшения суммарной BAL (р <0,001) и интервала Q–T (р=0,005). Минутный объём кровообращения прирастал в 1-м кластере на 11,80±3,91 мл/кг · мин–1 (р=0,016), а во 2-м кластере — на 8,40±2,70 мл/кг · мин–1 (р=0,034). Всё это происходило на фоне статистически значимого ещё большего уменьшения SрO2 (р <0,001) у лиц 1-го (20,0±2,04%) и 2-го (19,6±1,08%) кластеров.
Таким образом, при средней ОГ из выборки (n2=29) 16 человек (55,2%) отличались стабильным типом реагирования, а 13 исследуемых (44,8%), в основном представляющих 1-й кластер (12 человек, 41,4%), обладали изменчивостью типа реакции в динамике гипоксического воздействия. Определение различий отклонений параметров ЭКГ между кластерами показало, что статистически значимые различия наблюдались только по суммарной BAL сердца (р <0,001) во все периоды действия гипоксии.
ОБСУЖДЕНИЕ
Кластерный анализ показал, что исследуемые группы (n1=30 и n2=29) по характеру сопряжённости отклонений параметров ЭКГ в ответ на ОГ лёгкой (14,5% О2) и средней (12,3% О2) степени выраженности чётно разбиваются на две подгруппы, которые изначально дифференцируются по отклонениям (суммарной ВА левого отдела сердца, кардиоинтервала R–R и электрической систолы желудочков) как подгруппы низкой и высокой реакции. Это в значительно степени повторяется во все периоды ОГ-воздействий. Видимо, такая неоднородность изменений биоэлектрических процессов сердца вне зависимости от степени выраженности ОГ может являться одним из признаков индивидуальной стратегии приспособительных механизмов ауто- и нейрогуморальной регуляции деятельности миокарда [13]. Причём такая индивидуальная стратегия регуляторных процессов с увеличением длительности гипоксических воздействий носит вариативный характер. Это подтверждается изменением состава и количества лиц в подгруппах с низкой и высокой реакцией с увеличением длительности обоих гипоксических воздействий, а также тем фактом, что при лёгкой ОГ только у 60% лиц, а при средней ОГ — у 55,2% сохраняется принадлежность к начальному типу реакции. Важно заметить, что в основном лица с начально низким уровнем реакции с увеличением длительности ОГ могут отвечать высокой реакцией, и только по одному человеку в группах обладают обратным реверсом реакции.
Установлено, что по мере действия ОГ лёгкой степени между подгруппами лиц с низкой и высокой реакцией повышается количество отличающихся по отклонению параметров ЭКГ: от одного (BAL) на 5-й минуте до пяти (RII, T1II, BAL, R–R, Q–T) на 20-й минуте воздействия. В условиях ОГ средней степени различия ограничиваются одним параметром (BAL). Известно, что с увеличением степени ОГ общая спектральная мощность ВСР направлена к уменьшению [6, 21, 22], а порог уменьшения вегетативной модуляции ритма сердца, по разным данным, лежит в пределах ОГ 14,5–9,8% О2 [6]. Очевидно, с увеличением силы ОГ (до 12,3% О2) и с развитием гипоксемии ослабляется вегетативный контроль и понижается точность регуляции биоэлектрических процессов сердца, что и обусловливает уменьшение вариативности и сближение характера отклонений параметров ЭКГ в наблюдаемых подгруппах.
Наблюдаемое нами большее уменьшение амплитудно-временных параметров ЭКГ при ОГ лёгкой и средней степени у лиц 2-го кластера сложно связать с их низкой устойчивостью к гипоксии, так как в 40,0 и 44,8% случаев они в начальном периоде ОГ отвечали низкой реакцией, а также с отсутствием между подгруппами (1-й и 2-й кластеры) значимых различий по уровню отклонений производительности сердца (СО) и оксигенации крови. Есть указания [1], что для животных с низкой устойчивостью к гипоксии характерны выраженная экспрессия фактора HIF-1α в миокарде, переключение на сукцинатоксидазное окисление и понижение электрон-транспортной функции (митохондриального ферментного комплекса — МФК I). Замечено также, что во время ишемии (гипоксии) сердца уровень АТФ падает, открываются каналы KATФ, чтобы уменьшить АДФ и предотвратить чрезмерную деполяризацию миокарда [23], сокращая продолжительность потенциала действия и поддерживая возбудимость кардиомиоцитов [24]. При этом наблюдаемые индивидуальные особенности отклонений параметров ЭКГ при ОГ могут быть связаны с изменчивой и разной активностью регуляторных каналов сердца [25, 26], находящихся под контролем симпатических и парасимпатических нервов, которые обладают секрецией норадреналина, ацетилхолина и АТФ, модулируя нервную передачу и автономный нервный контроль сердечных функций [25, 27–29].
Важно отметить, что хотя наблюдаемые изменения ЭКГ при лёгкой и средней степени ОГ и не выходят за пределы нормы, но могут предсказывать возможное развитие патологических явлений сердца, связанных с нарушением ритма, сердечной недостаточностью, гипертрофией и ишемией [11]. При этом наиболее чувствительными параметрами ЭКГ в исследуемом диапазоне гипоксических воздействий можно считать суммарную биоэлектрическую активность левого и правого отделов сердца, интервалы R–R и электрическую систолу желудочков.
ЗАКЛЮЧЕНИЕ
При автоматическом разбиении групп лиц по отклонениям параметров ЭКГ выделяются подгруппы с низкой и высокой реакцией на ОГ 14,5 и 12,3% О2, которая отличается как минимум величиной уменьшения суммарной биоэлектрической активности левого отдела сердца и интервала R–R. При этом к 20-й минуте ОГ 14,5% О2 между подгруппами нарастает количество отличающихся по отклонению параметров ЭКГ с одного (BAL) до пяти (RII, T1II, BAL, R–R, Q–T), а при ОГ 12,3% О2 всё ограничивается одним параметром (BAL).
Установлено, что при ОГ 14,5% в 60% случаев от выборки (n1=30) сохраняется тип реакции, а при ОГ 12,3% О2 — только в 55,2% от выборки (n2=29). Очевидно, что с увеличением длительности ОГ 14,5 и 12,3% О2 для 40,0 и 44,8% случаев соответственно характерна вариация (реверс) изменения типа реакции параметров ЭКГ, которая в основном присуща лицам с изначально (на 5-й минуте) низкой реакцией.
Отсутствие отличий SрO2 между подгруппами (кластерами) на разных периодах острой гипоксии (14,5 и 12,3% О2) указывает на независимость дифференциации отклонений параметров ЭКГ по типам реакции от развиваемой гипоксемии. Предполагается, что полученные данные могут использоваться в качестве критериев индивидуальной комплексной оценки реакции параметров ЭКГ у здорового человека в процессе действия ОГ лёгкой и средней степени.
ДОПОЛНИТЕЛЬНАЯ ИНФОРМАЦИЯ / ADDITIONAL INFORMATION
Финансирование. Работа выполнена в рамках государственного задания (№ 122040600069-6).
Funding source. This work was supported by the Russian Federation Government (N 122040600069-6).
Конфликт интересов. Авторы подтверждают отсутствие конфликта интересов.
Competing interests. The authors declare that they have no competing interests.
Благодарности. Авторы выражают признательность выпускникам разных лет Сыктывкарского госуниверситета А.А. Илюшичеву и М.В. Коншиной за техническую помощь при проведении исследований.
Acknowledgments. The authors express their gratitude to graduates of different years of Syktyvkar state university: A.A. Ilyushichev and M.V. Konshina for technical assistance during the research.
Вклад авторов. М.И. Бочаров — концепция и дизайн исследования; получение, анализ и интерпретация данных; подготовка первого варианта статьи; переработка интеллектуального содержания; окончательное утверждение рукописи; А.С. Шилов — обработка данных, подготовка первых вариантов описания методов и результатов исследования, правки содержания статьи, утверждение рукописи. Все авторы подтверждают соответствие своего авторства международным критериям ICMJE (все авторы внесли существенный вклад в разработку концепции, проведение исследования и подготовку статьи, прочли и одобрили финальную версию перед публикацией).
Author contribution. M.I. Bocharov — study concept and design; acquisition, analysis and interpretation of data; preparation of the first version of the article; intellectual content processing; final approval of the manuscript; A.S. Shilov — data processing, preparation of the first versions of the description of the methods and results of the study, editing the content of the article, approval of the manuscript. Thereby, all authors made a substantial contribution to the conception of the work, acquisition, analysis, interpretation of data for the work, drafting and revising the work, final approval of the version to be published and agree to be accountable for all aspects of the work.
About the authors
Mihail I. Bocharov
Komi science centre of the Ural branch of the Russian academy of sciences
														Email: bocha48@mail.ru
				                	ORCID iD: 0000-0001-6918-5523
				                	SPIN-code: 7435-1550
																		                								
MD, Dr. Sci. (Biol.), professor
Russian Federation, SyktyvkarAleksandr S. Shilov
Komi science centre of the Ural branch of the Russian academy of sciences
							Author for correspondence.
							Email: shelove@list.ru
				                	ORCID iD: 0000-0002-0520-581X
				                	SPIN-code: 9039-4883
														ResearcherId: H-1420-2016
				                												                	Russian Federation, 							Syktyvkar						
References
- Lukyanova LD. Signaling mechanisms of hypoxia. Moscow: RAS, 2019. (In Russ).
 - Newsholme P, De Bittencourt PIH, O’Hagan C, et al. Exercise and possible molecular mechanisms of protection from vascular disease and diabetes: the central role of ROS and nitric oxide. Clin Sci (Lond). 2009;118(5):341–349. doi: 10.1042/CS20090433
 - Semenza GL. Hypoxia-inducible factors in physiology and medicine. Cell. 2012;148(3):399–408. doi: 10.1016/j.cell.2012.01.021
 - Nesterov SV. Autonomic regulation of the heart rate in humans under conditions of acute experimental hypoxia. Human Physiology. 2005;(31)1:70–74. (In Russ). doi: 10.1007/s10747-005-0010-7
 - Boos CJ, Vincent E, Mellor A, et al. The effect of sex on heart rate variability at high altitude. Med Sci Sports Exerc. 2017;(49)12:2562–2569. doi: 10.1249/MSS.0000000000001384
 - Giles D, Kelly J, Draper N. Alterations in autonomic cardiac modulation in response to normobaric hypoxia. Eur J Sport Sci. 2016;16(8):1023–1031. doi: 1023–1031. doi: 10.1080/17461391.2016.1207708
 - Li Y, Li J, Liu J, et al. Variations of time irreversibility of heart rate variability under normobaric hypoxic exposure. Front Physiol. 2021;12:607356. doi: 10.3389/fphys.2021.607356
 - Uryumtsev DY, Gultyaeva VV, Zinchenko MI, et al. Effect of acute hypoxia on cardiorespiratory coherence in male runners. Front Physiol. 2020;11:630. doi: 10.3389/fphys.2020.00630
 - Lesova EM, Samoilov VO, Filippova EB, Savokina OV. Individual differences of hemodynamics in terms of hypoxia and orthostatic stress. Bulletin of the Russian Military medical academy. 2015;(49)1:157–163. (In Russ).
 - Sanotskaya NV, Matsievsky DD, Lebedeva MA. Acute hypoxia influence on pulmonary and systemic blood circulation. Pathogenesis. 2012;(10)4:56–59. (In Russ).
 - Coustet B, Lhuissier FJ, Vincent R, et. al. Electrocardiographic changes during exercise in acute hypoxia and susceptibility to severe high-altitude Illnesses. Circulation. 2015;(131)9:786–794. dol: 10.1161/CIRCULATIONAHA.114.013144
 - Novikov VS, Soroko SI, Shustov EB. Desadaptation states of man to exposure to extreme сonditions and their correction. Sankt-Peterbursburg. Politekhnika-print, 2018. (In Russ).
 - Malkin VB, Gippenreiter EB. Acute and chronic hypoxia. Moscow: Nauka, 1977. (In Russ).
 - Agadzhanyan NA, Mirrakhimov MM. Mountains and body resistance. Moscow: Nauka, 1970. (In Russ).
 - Bocharov MI, Shilov AS. Bioelectric heart processes in healthy men at different levels of acute normobaric hypoxia. Ekologiya cheloveka (Human Ecology). 2020;(27)12:28–36. (In Russ). doi: 10.33396/1728-0869-2020-12-28-36
 - Volkov NI. Intermittent hypoxia — a new method of training, rehabilitation, and therapy. Theory and practice of physical culture. 2000;(7):20–23. (In Russ).
 - Navarrete-Opazo А, Mitchell GS. Therapeutic potential of intermittent hypoxia: a matter of dose. Am J Physiol Regul Integr Comp Physiol. 2014;(307)10:R1181–R1197. doi: 10.1152/ajpregu.00208.2014
 - Instrumental methods for the study of the cardiovascular system: a reference. Vinogradova TS, editors. Moscow: Meditsina, 1986. (In Russ).
 - Turbasov VD, Artamonova NP, Nechaeva EI. Assessment of the bioelectrical activity of the heart in conditions of antiorthostatic hypokinesia using conventional and corrected orthogonal ECG leads. Space biology and aerospace medicine. 1990;(24)1:42–44. (In Russ).
 - Koichubekov BK, Sorokina MA, Mkhitaryan KE. Sample size determination in planning of scientific research. International Journal of applied and fundamental research. 2014;4:71–74. (In Russ).
 - Millet GP, Faiss R, Pialoux V. Last word on point: counterpoint: hypobaric hypoxia induces different responses from normobaric hypoxia. J Appl Physiol (1985). 2012;112(10):1795. doi: 10.1152/japplphysiol.00338.2012
 - Vigo DE, Lloret SP, Videla AJ, et al. Heart rate nonlinear dynamics during sudden hypoxia at 8230 m simulated altitude. Wilderness Environ Med. 2010;21(1):4–10. doi: 10.1016/j.wem.2009.12.022
 - Li Y, Gao J, Lu Z, et al. Intracellular ATP binding is required to activate the slowly activating K+ channel IKs. Proc Natl Acad Sci U S A. 2013;110(47):18922–18927. doi: 10.1073/pnas.1315649110
 - Kane GC, Liu XK, Yamada S, et al. Cardiac KATP channels in health and disease. J Mol Cell Cardiol. 2005;(38)6:937–943. doi: 10.1016/j.yjmcc.2005.02.026
 - Anikina TA, Sitdikov FG. Purinoreceptors of the heart in ontogenesis. Kazan, Printing house of TGSPU. 2011. (In Russ).
 - Vassort G. Adenosine 5’-triphosphate: a P2-purinergic agonist in the myocardium. Physiol Rev. 2001;81(2):767–806. doi: 10.1152/physrev.2001.81.2.767
 - Burnstock G, Kind BF. Numbering of cloned P2 purinoceptors. Drug Development Research. 1996;(38)1:67–71. doi: 10.1002/(SICI)1098-2299(199605)38:1<67::AID-DDR9>3.0.CO;2-28.
 - Burnstock G. Purinergic signaling. Br J Pharmacol. 2006;(147)S1:S172–S187. doi: 10.1038/sj.bjp.07064229.
 - Pelleg A, Katchanov G, Xu J. Autonomic neural control of cardiac function: modulation by adenosine and adenosine 5'-triphosphate. Am J Cardiol. 1997;79(12A):11–14. doi: 10.1016/s0002-9149(9x)00257-5
 
Supplementary files
				
			
					
						
						
									





