Impact of heat waves and cold spells on mortality in cities located in the Russian Arctic macroregion
- Authors: Shaposhnikov D.A.1, Revich B.A.1
-
Affiliations:
- Institute of Economic Forecasting, Russian Academy of Sciences
- Issue: Vol 30, No 4 (2023)
- Pages: 287-300
- Section: ORIGINAL STUDY ARTICLES
- Submitted: 22.09.2022
- Accepted: 11.04.2023
- Published: 15.08.2023
- URL: https://hum-ecol.ru/1728-0869/article/view/111013
- DOI: https://doi.org/10.17816/humeco111013
- ID: 111013
Cite item
Full Text
Abstract
BACKGROUND: Climate warming in Russia is most pronounced in the Arctic, where it is accompanied by an increase in the frequency and duration of heat waves. This emerging risk factor for the health of the population in major cities has not yet received adequate scientific attention. To effectively plan for adaptation to these phenomena, it is crucial to understand their specific impacts in regions with different climate types. Therefore, comprehensive analysis of the associations between climatic factors and health is needed for informed decision-making and strategic adaptation planning.
AIM: To assess the impact of heat waves and cold spells on excess age-specific mortality within the urban populations of the Arctic macroregion. Furthermore, we analyzed the potential differences in the studied outcomes across climate types, ranging from marine to continental.
METHODS: We analyzed the daily counts of deaths in Arkhangelsk, Magadan, Murmansk, and Yakutsk from 1999 through 2019. Poisson generalized linear regression models were employed to determine the relative mortality risks during heat waves and cold spells. All models accounted for potential lagged effects, seasonal and weekly patterns, and long-term mortality trends. Pearson’s chi-squared tests were used to study the differences between the effects of heat and cold, as well as site-specific and age-specific variations in mortality.
RESULTS: Effects of the studied climatic phenomena were more pronounced in continental — than in marine climate. The age group 65+ years was more susceptible to the effects of extreme heat and cold than the middle-age group. Cold spells had a greater impact on the health of the residents of Murmansk, Arkhangelsk, and Magadan than heat waves, while the opposite was observed in Yakutsk. Cerebrovascular mortality during heath waves was 1.69 (95% CI: 1.34–2.13) times as high as during periods with normal temperature in the age-group 65+ in Yakutsk while cold spells were associated with 1.54 (95% CI: 1.18–2.01) greater risk of death from respiratory causes in the same age-group in Arkhangelsk.
CONCLUSION: Our findings can be utilized by public health authorities to effectively prevent further fatalities among subarctic populations during heatwaves and cold spells.
Full Text
ОБОСНОВАНИЕ
Доказательные исследования воздействия аномальной жары на здоровье населения начались с анализа эпизодов в крупнейших городах мира: в Чикаго в 1995 году, в Париже в 2003 году и других. Катастрофическая жара 2003 года стала причиной более чем 70 000 дополнительных смертей во время этой волны жары и более 7000 — в течение нескольких недель после неё в 12 странах Западной Европы [1]. Дополнительная смертность от волн жары в 27 европейских странах была оценена суммарно в 28 000 случаев в год (с использованием ежемесячных данных о смертности с 1960 года, когда ежедневные данные были недоступны [2]). В России наиболее подробно исследовано воздействие 44-дневной московской жары 2010 года на смертность населения [3, 4]. Волны холода заслужили меньшего внимания в эпидемиологических исследованиях, чем волны жары [5, 6]. Одной из причин этого стали дискуссии о возможных последствиях потепления климата, в ходе которых выяснилось, что экстремальные холода станут более редким и менее опасным явлением, в то время как периоды сильной жары станут более частыми и опасными для здоровья [7].
Многоцентровые исследования показали, что географическая широта и местный климат являются модификаторами эффектов воздействия волн холода и жары на здоровье. Обсудим сначала влияние широты, а затем климата. Исследование, проведённое в 13 городах США, показало статистическую значимость влияния географической широты на избыточную смертность, обусловленную воздействием холода и жары, причём влияние холода было больше в южных городах, а влияние жары, наоборот, увеличивалось к северу [8]. Аналогичный вывод сделан в систематическом обзоре модификаторов эффектов холода и жары [5]: из проанализированных в этом обзоре 207 исследований в шести указано на увеличение эффекта жары в средних и высоких широтах по сравнению с низкими широтами и в четырёх исследованиях показано увеличение эффекта холода в низких широтах.
Что же касается модифицирующего влияния климата, то впервые мы обратили внимание на различия в воздействиях экстремальных температур на людей, проживающих в морском и континентальном климате, в работе [9]. Нам не известны опубликованные ранее другие работы, где исследовался бы морской климат с этой точки зрения. Заслуживает упоминания одна интересная работа [10], в которой исследовались различия в рисках смертности во время экстремальной жары между лондонцами, родившимися в разном климате. Авторами показано, что люди, родившиеся в Соединённом Королевстве (т.е. в морском климате), подвержены сравнительно меньшему риску смертности, чем жители Лондона, родившиеся в тропическом и бореальном климате.
Однако есть работы, где исследовались подобные различия для других типов климата. Изучение зависимости смертности от температуры воздуха в 12 странах показало, что положение температурного оптимума не зависело от типа климата (тропического, субтропического, умеренного) и неизменно располагалось около 75-го процентиля распределения среднесуточных температур, что доказало частичную адаптацию населения к местному климату [11]. Противоположный вывод был сделан в более новом исследовании 43 стран, где показано, что оптимальная температура (выраженная в процентилях) последовательно снижалась от умеренного климата (79,5%) к континентальному (75,4%), засушливому (68,0%), тропическому (58,5%) и альпийскому (41,4%) [12].
О влиянии типа климата по Кёппену на характер зависимости смертности от температуры воздуха сообщалось в работе [13]. Авторы использовали индикатор типа климата как один из метапредикторов избыточной смертности, обусловленной неоптимальными температурами, при глобальном метаанализе данных, полученных в 750 городах 43 стран мира. Было показано, что тип климата является одной из пяти переменных, существенно влияющих на гетерогенность местных оценок избыточной смертности, наряду с валовым внутренним продуктом, маркёром континента, среднегодовой температурой и диапазоном изменения среднесуточных температур в течение года. В частности, обусловленная экстремальной жарой избыточная смертность была значительно выше в континентальном климате, чем в умеренном и засушливом. Атрибутивные доли дополнительных смертей из-за жары в общей смертности для этих трёх типов климата были равны соответственно 1,44; 0,93 и 0,94%, а максимальная оценка (до 15,0%) получена в полярной и альпийской климатических зонах. Подчеркнём, что в этой работе речь не шла о волнах холода и жары, поскольку при оценке экспозиции к неоптимальным температурам авторы учитывали все дни с температурами выше и ниже оптимума.
Климатические зоны по Кёппену учитывались и в аналогичном исследовании волн жары, где был проведён метаанализ оценок избыточной смертности во время таких волн по данным, полученным в 412 городах в 20 странах [14]. Использование типа климата в качестве метапеременной уже стало хорошей практикой в глобальных или многоцентровых исследованиях, поскольку местный климат частично объясняет гетерогенность полученных на местном уровне оценок риска климатических факторов здоровью.
В исследования географических модификаторов эффектов жары и холода Арктика и циркумполярные территории включаются редко, поскольку население этих территорий относительно невелико и данных для статистического анализа влияния экстремальных температурных явлений на уровень смертности обычно недостаточно. Помимо Мурманска только в Тромсё (Норвегия), расположенном за Полярным кругом, изучались такие воздействия и была установлена статистически значимая связь между низкими температурами зимой и увеличением числа первичных инфарктов миокарда [15].
Интерес к эпидемиологическим исследованиям в Арктическом макрорегионе в последнее время возрос, в том числе из-за потепления климата. Приземная среднегодовая температура за последние 40 лет (1976–2018 гг.) росла в Арктике в четыре раза быстрее, чем в среднем по миру [16].
Цель. Оценить избыточную смертность во время волн жары и холода среди населения Арктического макрорегиона разного возраста, в том числе установить различия, которые могут быть связаны с типом субарктического климата — от морского до континентального, для понимания демографических процессов, происходящих в макрорегионе.
МЕТОДЫ
Данное исследование можно отнести к экспериментальному анализу корреляций временны΄х рядов суточной смертности и среднесуточных температур. Регрессионный анализ временны΄х рядов сейчас является более общим и современным методом в исследованиях такого рода, поскольку в рамках одной модели появляется возможность учесть множество смешивающих факторов, например явную зависимость смертности от календарного времени на различных временны΄х масштабах. Обобщённая линейная регрессия Пуассона, аналогичная используемой в настоящем исследовании, была разработана Б.А. Ревичем и соавт. [17], но период исследования был короче, а зависимость смертности от времени года алгебраически моделировалась набором синусоидальных функций, а не кубическим сплайном номера дня в году, как в данной работе.
Волной холода считается период в пять или более дней подряд со среднесуточными температурами ниже 3-го процентиля распределения среднесуточных температур за период исследования (1999–2019 гг.). Аналогично волна жары есть непрерывная последовательность длиной от пяти дней со среднесуточными температурами выше 97-го процентиля. Более короткие волны не рассматривались, поскольку их включение в ансамбль лишь уменьшало статистическую значимость результатов оценки риска. Таким образом, ансамбль волн в каждом городе — это набор всех индивидуальных волн длительностью от пяти дней. Ранее было показано, что «волновой эффект» (зависимость смертности от номера дня в непрерывной последовательности экстремально жарких дней) становился значимым лишь для волн продолжительностью от пяти дней при использовании такого же порога для идентификации волн жары [17, 18].
В качестве показателя экспозиции принята среднесуточная температура, поскольку она отражает воздействие в течение всего дня, в то время как минимальная или максимальная суточная температура характеризует воздействие лишь в течение короткого периода [19]. Ранее были получены доказательства более сильной связи среднесуточной температуры со смертностью, чем максимальной или минимальной суточной температуры в России [20, 21], Европе [22] и США [23]. Данные о температуре были загружены из общедоступной базы данных Всероссийского научно-исследовательского института гидрометеорологической информации Росгидромета (http://www.meteo.ru, дата обращения: 30.04.2022).
Для оценки прироста смертности в расчёте на каждый день ансамбля волн жары (и аналогично для волн холода) использовали обобщённую линейную регрессию Пуассона [24]:
logE(Mi )=βL×жараi–L+β1i+β2i2+S(DOY,8df/year)+{DOW} (1)
где E(Mi) — ожидаемая суточная смертность в i (номер дня); дискретная переменная жараi–L равна единице для всех дней, входящих в ансамбль волн жары, и нулю для всех остальных дней периода исследования, с учётом лага L дней, поскольку действие сильной жары может быть отсроченным; β1i+β2i2 описывает нелинейный долгосрочный тренд; S(DOY) — кубический сплайн номера дня в году, отражающий сезонную регулярность, 8df/year, DOW} — факторные переменные, отражающие зависимость от дня недели. Для жары учитывались только лаги от 0 до 3 дней, а для холода — до 3 нед.
Характерные различия в отсроченных эффектах жары и холода были убедительно продемонстрированы множество раз после того, как были разработаны и применены современные регрессионные модели с распределёнными лагами. Например, по результатам глобального исследования в 306 городах мира Y. Guo и соавт. [11] делают следующий вывод: влияние холода начинается через пару дней и длится не менее 10 дней, а влияние жары наблюдается сразу и длится не более трёх или четырёх дней. В наших предыдущих работах также установлены эти различия [25, 26] методами дисперсионного анализа независимых выборок данных о суточной смертности.
Для исследования выбраны четыре крупнейших города Арктического макрорегиона с различным климатом: Мурманск, Архангельск, Якутск и Магадан (табл. 1). На климат Мурманска оказывает влияние Гольфстрим, а на климат Магадана — Соя, Цусимская ветвь (самое северное из всех тёплых течений Японского моря), и восточноазиатский муссон [27]. Для Архангельска характерен переходный умеренно-континентальный климат, для Якутска — резко континентальный субарктический климат. Тип климата по Кёппену–Гейгеру в Мурманске, Архангельске и Магадане — Dfc (континентальный субарктический, влажный, с прохладным летом и холодной зимой); тип климата Якутска — Dfd (континентальный субарктический, с суровой зимой, характерный для Восточной Сибири). Разница между двумя подтипами заключается в температуре самого холодного месяца, которая для Dfd в период наблюдений 1951–2000 гг. должна быть ниже порога в –38 °С [28].
Таблица 1. Изменение численности населения в изучаемых городах с 1999 по 2019 год / Table 1. Population changes in the study cities from 1999 to 2019
Город City | Численность населения, тыс. человек Population (thousand people) | |
1999 год | 2019 год | |
Мурманск Murmansk | 383 | 292 |
Магадан Magadan | 122 | 92 |
Архангельск Arkhangelsk | 366 | 348 |
Якутск Yakutsk | 196 | 319 |
Использованы данные Росстата о суточной смертности, сгруппированной по причинам и возрастным группам за период с 1999 по 2019 год. Это самый длинный временной ряд, доступный на сегодняшний день в России (до 1999 года существуют лишь данные в ежегодном разрезе). Помимо смертности от всех естественных причин рассматривали несколько специфических причин смерти: болезни органов дыхания (БОД, коды МКБ-10 — J00–J99) и болезни системы кровообращения (БСК, коды I00–I99), потому что эти группы причин обычно дают наибольший вклад в избыточную смертность во время экстремальных температурных явлений [29]. Среди сердечно-сосудистых отдельно изучали две наиболее важные группы: ишемическую болезнь сердца (ИБС), коды I20–I25, и цереброваскулярные заболевания (ЦВЗ), коды I60–I69 [30]. Риски смертности рассчитывали для двух возрастных групп: от 30 до 64 лет и ≥65 лет. Наряду со старшей возрастной группой возрастная когорта «дети» тоже наиболее уязвима к воздействию климата, однако число случаев смерти в этой когорте очень мало и недостаточно для статистического анализа.
Статистическая обработка. Для обработки данных применяли пакет статистических программ Stata14.
РЕЗУЛЬТАТЫ
Климат и экстремальные температуры
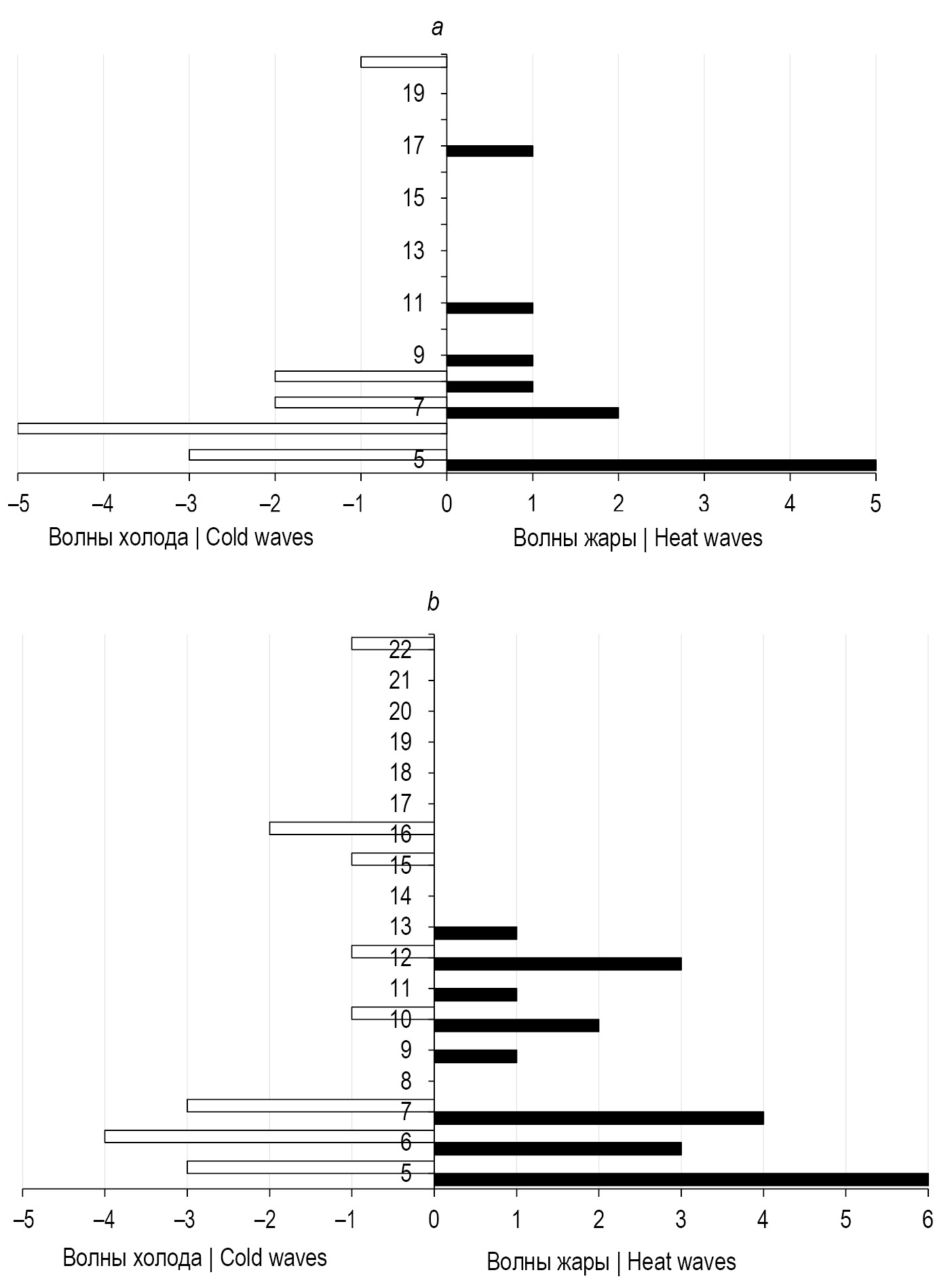
В настоящем исследовании период составлял 21 год, поэтому, согласно принятым порогам для холода и для жары, в каждом из изученных городов было 230 (3%) экстремально холодных и экстремально жарких дней, но лишь часть из них составляли непрерывные последовательности из пяти или более дней — такие последовательности названы «ансамблями» волн. Различные климатические условия означают разное число дней в ансамблях волн жары и холода, что влияет на статистическую значимость полученных оценок риска здоровью. В Мурманске и Магадане таких дней отмечено меньше, чем в Архангельске и Якутске (табл. 2). Из всех четырёх городов в Мурманске было наименьшее число дней с волнами холода и жары за исследуемый период (95 и 84), а в Якутске — наибольшее (161 и 151). Эти два города показаны на рис. 1, чтобы проиллюстрировать, как переход от морского к резко континентальному климату повлиял на гистограммы числа дней в ансамблях волн жары и холода. Например, правая часть рис. 1, а показывает, что в Мурманске было пять 5-дневных волн жары, две 7-дневные волны, одна 8-дневная, одна 9-дневная, одна 11-дневная и одна 17-дневная волна жары за изучаемый период.
Таблица 2. Основные характеристики воздействия холода и жары в исследуемых городах / Table 2. The main characteristics of the impact of cold and heat in the studied cities
Город City | Характеристики ансамбля волн холода Characteristics of the cold wave ensemble | Характеристики ансамбля волн жары Characteristics of the heat wave ensemble | ||||||
Порог холода, °С Cold threshold (°C) | Число волн Number of waves | Число дней Number of days | Средняя длина волны, дней Average wavelength (days) | Порог жары, °С Hot threshold (°C) | Число волн Number of waves | Число дней Number of days | Средняя длина волны, дней Average wavelength (days) | |
Мурманск Murmansk | –17,8 | 13 | 95 | 7,3 | 17,3 | 11 | 84 | 7,6 |
Магадан Magadan | –21,8 | 12 | 106 | 8,8 | 14,1 | 17 | 132 | 7,8 |
Архангельск Arkhangelsk | –21,2 | 18 | 141 | 7,8 | 20,6 | 17 | 142 | 8,4 |
Якутск Yakutsk | –42,4 | 21 | 161 | 7,7 | 22,9 | 16 | 151 | 9,4 |
Примечание: Ансамбль волн составляют все непрерывные последовательности от пяти дней со среднесуточными температурами ниже пороговых для холода и выше пороговых — для жары.
Note: The wave ensemble consists of all continuous sequences from five days with average daily temperatures below the threshold for cold and above the threshold for hot.
Рис. 1. Гистограммы распределений числа волн по длительности в Мурманске (a) и Якутске (b) за период 1999–2019 гг. Минимальная длина волны составляет 5 дней. Вертикальная ось показывает длину (продолжительность в днях), а горизонтальная ось показывает число волн. / Fig. 1. Histograms of wave number distributions by duration in Murmansk (a) and Yakutsk (b) for the period 1999–2019. The minimum wavelength is 5 days. The vertical axis shows the length (duration in days) and the horizontal axis shows the number of waves.
Оценка риска отдельных волн
Воздействие на здоровье отдельных волн жары и холода рассчитывали относительно сезонных фоновых коэффициентов смертности. В табл. 3 приведены относительные приросты смертности во время трёх самых продолжительных волн жары и холода в каждом городе. Самые длинные волны обычно имеют наибольшую амплитуду. Рассчитаны наблюдаемые и ожидаемые значения смертности от всех естественных причин в возрастной группе ≥30 лет с целью оценки общего воздействия на здоровье. Эффекты выражены в виде процентных приростов кумулятивной смертности за период данной волны жары (или холода). Некоторые из приростов не были значимыми на уровне 95% ДИ, но большинство из них были значимы (18 из 24 эффектов, включая один отрицательный). Амплитуды волн жары измерялись как разница между средней температурой воздуха в период волны и средней температурой самого жаркого месяца за период исследования, волн холода — как разница между средней температурой в период волны и температурой самого холодного месяца (поэтому эта амплитуда отрицательная). Наибольшие (по абсолютной величине) амплитуды волн холода наблюдались в Архангельске и превышали амплитуды волн жары. Что касается численных значений рисков, не наблюдается чёткой связи между продолжительностью, амплитудой и избыточной смертностью в периоды самых длинных волн жары и холода (см. табл. 3). Однако, если сравнивать различия между городами, то волны холода были наиболее опасны в Архангельске, а волны жары — в Якутске.
Таблица 3. Относительные приросты смертности от всех естественных причин среди лиц старше 30 лет в периоды трёх самых длинных волн холода и жары в 1999–2019 гг. / Table 3. Relative increases in mortality from all natural causes among people over 30 years of age during the three longest cold and heat waves between 1999 and 2019
Дата начала Start date | Волны холода | Waves of cold | Дата начала Start date | Волны жары | Waves of heat | ||||||
Tср, °C Tav (°C) | Амплитуда, °C Amplitude (°C) | Длина, дней Duration (days) | Относительный прирост, % Relative increase (%) | Tср, °C Tav (°C) | Амплитуда, °C Amplitude (°C) | Длина, дней Duration (days) | Относительный прирост, % Relative increase (%) | ||
Мурманск | Murmansk | |||||||||
23.01.1999 | –25,1 | –15,1 | 20 | 0,4 (–3,1; 3,9) | 01.07.2004 | 20,3 | 6,7 | 9 | 20 (16; 24) |
12.02.2011 | –21,7 | –11,7 | 8 | 2,2 (–1,2; 5,8) | 28.07.2013 | 19,2 | 5,6 | 11 | 1,1 (–1,9; 4,2) |
31.01.2012 | –20,1 | –10,1 | 8 | 20 (17; 24) | 17.07.2018 | 21,4 | 7,8 | 17 | 11,5 (8,0; 15,1) |
Магадан | Magadan | |||||||||
18.01.2000 | –23,8 | –8,1 | 14 | 19 (12; 27) | 25.07.2001 | 16,6 | 4,2 | 11 | 48 (40; 58) |
21.01.2001 | –24,2 | –8,5 | 13 | 28 (20; 36) | 09.07.2009 | 15,7 | 3,3 | 18 | –1,8 (–7,5; 4,1) |
13.02.2011 | –24,6 | –8,9 | 12 | 17 (10; 24) | 24.07.2011 | 14,7 | 2,3 | 12 | 43 (35; 52) |
Архангельск | Arkhangelsk | |||||||||
23.01.1999 | –30,7 | –18,7 | 18 | 39 (35; 43) | 20.06.1999 | 22,3 | 5,2 | 13 | 1,8 (–1,4; 5,2) |
30.12.2002 | –28,1 | –16,1 | 13 | 34 (30; 38) | 27.07.2010 | 23,4 | 6,3 | 15 | 16 (13; 20) |
28.01.2006 | –26,2 | –14,2 | 12 | 6,7 (3,9; 9,5) | 14.07.2018 | 22,3 | 5,2 | 13 | 26 (22; 30) |
Якутск | Yakutsk | |||||||||
17.12.2002 | –44,0 | –7,0 | 16 | 1,7 (–3,3; 7,0) | 11.07.1999 | 23,9 | 4,0 | 12 | 45 (38; 53) |
01.12.2004 | –46,4 | –9,4 | 22 | –5,2 (–9,3; –1,0) | 09.07.2011 | 25,8 | 5,9 | 13 | 61 (54; 68) |
02.01.2013 | –44,2 | –7,2 | 16 | 6,8 (1,4; 12,5) | 01.07.2018 | 25,2 | 5,3 | 12 | 24 (18; 30) |
Примечание: Tср — средняя температура воздуха в период волны; амплитуда = Tср – Tиюль для волн жары; Амплитуда = Tср – Tянв для волн холода.
Note: Tav — the average air temperature during the wave period; аmplitude = Tav – TJuly for heat waves; Amplitude = Tav – TJanuary for cold waves.
Оценка риска ансамблей волн
Для каждого города было получено 20 оценок относительного риска (RR) причинно-возрастной смертности: 10 для волн жары и 10 для волн холода. В табл. 4 перечислены лишь те показатели, для которых получены статистически значимые (p ≤0,05) риски, с целью последующего изучения возможных различий. Число статистически значимых оценок сильно различается между городами, причинами смерти и возрастными группами. Например, в возрастной группе от 30 до 64 лет не получено значимых рисков для ансамблей волн жары в отличие от группы ≥65 лет. Влияние холода также более очевидно в старшем возрасте, в то время как общее число смертей в обеих возрастных группах было близко сопоставимо. По этой причине авторы выбрали старшую возрастную группу для графического представления результатов оценки риска (рис. 2). На этом рисунке города расположены в соответствии с типом климата, чтобы показать, что города с морским типом климата (Мурманск и Магадан) дали меньше статистически значимых результатов, чем города с континентальным климатом (Архангельск и Якутск), особенно во время жары. Одной из причин полученных различий могло быть меньшее число дней с волнами жары и холода в морском климате, что уменьшило размеры выборки и, следовательно, статистическую значимость коэффициентов модели (1). Наибольшие значения риска во время волн жары были получены в Якутске в старшей возрастной группе: RR=1,69 (95% ДИ: 1,34–2,13) для ЦВЗ и RR=1,68 (95% ДИ: 1,05–2,68) для БОД. Наибольшее значение относительного риска во время волн холода наблюдалось в Архангельске в старшей возрастной группе: RR=1,54 (95% ДИ: 1,18–2,01) для БОД. Смертность от БОД не показана на рис. 2 из-за малого числа значимых результатов оценки риска для этого показателя.
Таблица 4. Группы причин смертности, для которых были установлены статистически значимые приросты числа случаев во время волн жары и волн холода / Table 4. Groups of causes of death for which statistically significant increases in the number of cases were found during heat waves and cold waves
Город City | Ансамбль волн холода Ensemble of waves of cold | Ансамбль волн жары Ensemble of waves of heat | ||
30–64 года | 30–64 years | ≥65 лет | ≥65 years | 30–64 года | 30–64 years | ≥65 лет | ≥65 years | |
Мурманск Murmansk | БОД | RD | ИБС, БСК, все естественные причины CHD, CSD, all natural causes | ||
Магадан Magadan | ИБС, ЦВЗ, БСК, все естественные причины CHD, CD, CSD, all natural causes | |||
Архангельск Arkhangelsk | ИБС, БСК, БОД, все естественные причины CHD, CD, CSD, all natural causes | ИБС, ЦВЗ, БСК, БОД, все естественные причины CHD, CD, CSD, RD, all natural causes | ИБС, ЦВЗ, БСК, все естественные причины CHD, CD, CSD, all natural causes | |
Якутск Yakutsk | ИБС | CHD | ИБС, ЦВЗ, БСК, все естественные причины CHD, CD, CSD, all natural causes | ИБС, ЦВЗ, БСК, БОД, все естественные причины CHD, CD, CSD, RD, all natural causes | |
Примечание: ИБС — ишемическая болезнь сердца; ЦВЗ — цереброваскулярные заболевания; БСК — болезни системы кровообращения; БОД — болезни органов дыхания.
Note: CHD, coronary heart disease; CD, cerebrovascular diseases; CSD, cardiovascular diseases; RD, respiratory diseases.
Рис. 2. Относительные приросты смертности во время волн холода (а) и жары (b), %. A — Мурманск; B — Магадан; C — Архангельск; D — Якутск. / Fig. 2. Relative mortality increases during cold waves (a) and heat waves (b), %. A — Murmansk; B — Magadan; C — Arkhangelsk; D — Yakutsk.
Анализ качественных различий (эффект значим или незначим) проведён с использованием критерия Пирсона χ2, хотя исследованные причины смертности не являются взаимоисключающими. Чтобы проверить групповые различия между четырьмя городами, мы подсчитали количество наблюдаемых и ожидаемых статистически значимых эффектов в каждом городе, что дало χ2=13,4; d.f.=3; p <0,005. Таким образом, разницу в распределении статистически значимых результатов между четырьмя группами нельзя объяснить простой случайностью. В изученной выборке из четырёх городов Мурманск и Магадан дали наименьшее число значимых оценок риска, вероятно из-за морского типа климата.
Для оценки различий воздействия жары и холода на смертность проверялась следующая нулевая гипотеза: число статистически значимых эффектов одинаково для холода и жары; различия между ними являются случайными. Для проверки этой гипотезы χ2=7,68; d.f.=1; p <0,01. Таким образом, можно заключить, что в условиях данного исследования число статистически значимых оценок воздействия волн холода статистически значимо больше, чем волн жары.
Полученные численные значения прироста смертности во время волн жары и холода можно сравнивать только для тех показателей здоровья, где оба риска статистически значимы. Из табл. 4 видно, что таких пар рисков в Архангельске и Якутске четыре. В Архангельске эффект холода был несколько выше, чем эффект жары, для случаев смерти от ЦВЗ, БСК и всех естественных причин в возрастной группе ≥65 лет. В Якутске риски волн холода были намного меньше, чем риски волн жары, при тех же трёх показателях. Например, для смертности от всех естественных причин в Архангельске: RRхолод=1,11 (95% ДИ: 1,05–1,18) и RRжара=1,09 (95% ДИ: 1,02–1,17), а такие же риски в Якутске: RRхолод=1,12 (95% ДИ: 1,01–1,25) и RRжара=1,25 (95% ДИ: 1,13–1,39). В Мурманске и Магадане таких пар рисков для сравнения не было, поскольку все риски жары в этих городах оказались незначимыми.
Критерий Пирсона χ2 применяли для проверки групповых различий в количестве статистически значимых рисков между двумя возрастными группами. Нулевую гипотезу «вероятность получения статистически значимых рисков одинакова в обеих возрастных группах» можно отвергнуть, поскольку χ2=17,28; d.f.=1; p <0,001. Следовательно, старшая возрастная группа более подвержена воздействию экстремальных температур.
Для своевременных медико-организационных мероприятий по снижению рисков здоровью от воздействия температурных волн необходимы знания об отсроченном действии. Наиболее вероятный лаг (время задержки эффекта) для волн жары в Архангельске составил 0 дней, а в Якутске эти же лаги были равномерно распределены между 0 и 3 днями. Влияние холода в старшей возрастной группе в Архангельске было более отсроченным, чем в средней возрастной группе: характерные лаги составили 5–6 дней против 2–3 дней соответственно. Результаты в Мурманске показали, что отклик смертности на воздействие волн холода в старшей возрастной группе также максимален через пять дней после воздействия.
ОБСУЖДЕНИЕ
Важным результатом данного исследования являются установленные между городами различия в ансамблях волн экстремальных температур (см. табл. 2 и рис. 1) и в числах установленных статистически значимых эффектов этих волн для здоровья (см. рис. 2). В городах с континентальным климатом получено больше доказательств о влиянии волн холода и жары на смертность, чем в городах с морским климатом, и эти различия нельзя объяснить простой случайностью. При этом, хотя установленные связи между типом климата и числом дней с волнами жары и холода кажутся убедительными, трудно сделать существенные выводы о том, как изменяется смертность, связанная с экстремальными температурами, на основе выборки из четырёх городов. Более надёжные результаты могут быть получены при использовании большего числа популяций, с использованием методов многофакторного метаанализа [31], однако в Арктике вообще очень мало крупных населённых пунктов, что является существенным ограничением для таких исследований.
Данное ограничение повлияло и на выбор достаточно простой статистической модели смертности, которая позволяет рассчитать приросты смертности на каждый день ансамбля волн и наиболее вероятные лаги, но не позволяет изучить влияние амплитуды и продолжительности волн жары или холода. В исследованных арктических городах не было достаточного числа данных для определения большего количества неизвестных модельных параметров. Эта задача требует объединения данных из множества городов. Например, для получения статистически значимого влияния числа дней во время волны жары исследованы данные из 108 городов США [32]. Для изучения влияния даты наступления волны жары в 51 городе США использованы менее интенсивные по амплитуде периоды жары, происходящие в начале сезона. Они оказались более опасными из-за отсутствия периода акклиматизации, чем более интенсивные, но происходящие в середине сезона [33].
Отметим, что идентификация волн жары и холода на основе процентилей распределения среднесуточных температур косвенно учитывает интенсивность и продолжительность воздействия. Так, понижение процентиля в определении волн холода означает, что «оставшиеся» волны холода будут встречаться реже, но при этом будут интенсивнее и короче. Риски здоровью выше при более интенсивных и продолжительных волнах холода [34]. Предварительные тесты показали, что определение порога холода на основе 3-го процентиля круглогодичного распределения суточных температур приводит к более значимым результатам оценки риска волн холода, чем при использовании 1-го или 5-го процентиля. При использовании 3-го процентиля для идентификации волн холода (так же, как и 97-го процентиля для жары) достигается компромисс между амплитудой анализируемых событий и наличием достаточного числа случаев для анализа на территориях с небольшой численностью населения. Использованное в данной работе определение волн холода делает такие события достаточно редкими: волны наблюдаются примерно раз в год в Якутске и раз в два года в Магадане. Экстремальный холод и жара часто определяются на основе 2,5-го и 97,5-го процентилей в международных исследованиях [30]. В некоторых работах порог холода устанавливался на уровне 5-го процентиля распределения суточных температур в холодное время года (с ноября по март [19] или с декабря по март [34]), что даёт примерно такие же результаты идентификации волн, как и в нашем исследовании.
Таким образом, получены косвенные доказательства того, что экстремально низкие температуры в настоящее время по-прежнему более опасны для здоровья жителей Арктического макрорегиона, чем аномальная жара. Это следует из сравнения числа значимых оценок рисков для холода и жары: число статистически значимых оценок воздействия волн холода достоверно больше, чем волн жары. Вместе с тем сравнение численных значений рисков дало противоречивые результаты: в Архангельске сильнее было действие холода, а в Якутске — жары, но эта ситуация может изменяться по мере потепления климата. Дело в том, что зимние температуры в Арктике растут быстрее, чем летние [9]. В нескольких международных исследованиях более южных территорий влияние волн холода на смертность от сердечно-сосудистых и респираторных заболеваний было немного больше, чем воздействие волн жары (например, в Испании [35], Великобритании [36] и Бельгии [18]).
Для определения наиболее дискомфортных климатических условий в городах Арктического макрорегиона целесообразно провести микроклиматическое зонирование с выделением локусов жары, как это выполнено в городе Надым [37]. В нём оценена возможность возникновения летнего теплового стресса на территории с более высокими зданиями и показано, что при повторяемости эпизодов жары на таких локусах возможно повышение смертности населения, особенно лиц старшего возраста.
При разработке мер профилактики смертности от температурных волн жары или холода необходимо внедрять новые методы в практику метеорологической службы [38]. Конкретные меры по адаптации со стороны системы здравоохранения, включая и медикаментозные, представлены в нашей предыдущей статье [39]. Стратегии адаптации к аномальной жаре и холоду включены в Национальный план адаптации к изменению климата в России, а Минздравом России и Роспотребнадзором разработаны рамочные мероприятия по этому направлению и начата их более детальная разработка в субъектах Российской Федерации [40].
ЗАКЛЮЧЕНИЕ
Эффективность мер адаптации к волнам жары и холода значительно выше при раннем предупреждении об их наступлении. Результаты исследования могут быть использованы для разработки конкретных рекомендаций по планированию мер адаптации с целью предотвращения избыточной смертности во время волн жары и холода, особенно среди наиболее уязвимых групп населения, с учётом основных причин дополнительной смертности и временны΄х лагов между воздействием температурных волн и последствиями для здоровья.
ДОПОЛНИТЕЛЬНО / ADDITIONAL INFORMATION
Вклад авторов. Все авторы внесли свой вклад в разработку концепции и дизайна исследования. Общее руководство, сбор данных о смертности и разработку дизайна исследования, а также подготовку окончательной версии статьи осуществлял Б.А. Ревич; сбор данных о температуре воздуха, статистический анализ и интерпретация данных, а также подготовка первого варианта рукописи выполнены Д.А. Шапошниковым.
Authors' contributions. All authors contributed to the concept and design of the study. General guidance, data collection on mortality and development of the design of the study, as well as preparation of the final version of the article were carried out by B.A. Revich; collection of data on air temperature, statistical analysis and interpretation of data, as well as preparation of the first draft of the manuscript were performed by D.A. Shaposhnikov.
Источники финансирования. Работа выполнена за счёт гранта Российского фонда фундаментальных исследований № 20-55-71003 «Быстрые экологические изменения в Арктике и их последствия для благосостояния, устойчивого развития и демографии Арктического региона».
Funding. This research was financed by the grant No. 20-55-71003 of the Russian Foundation for Basic Research “Fast environmental changes in the Arctic, and their consequences for public well-being, sustainable development and demography of the Arctic region”.
Конфликт интересов. Авторы подтверждают отсутствие конфликтов интересов, о которых необходимо сообщить.
Conflict of interest. The authors declare no conflict of interest.
About the authors
Dmitry A. Shaposhnikov
Institute of Economic Forecasting, Russian Academy of Sciences
Email: dshap2014@gmail.com
ORCID iD: 0000-0001-9191-1974
SPIN-code: 8513-7517
Cand. Sci. (Phys. and Math.)
Russian Federation, 47 Nahimovskij prospect, 117418 MoscowBoris A. Revich
Institute of Economic Forecasting, Russian Academy of Sciences
Author for correspondence.
Email: brevich@yandex.ru
ORCID iD: 0000-0002-7528-6643
SPIN-code: 8098-1930
Scopus Author ID: 55941085000
MD, Dr. Sci. (Med.), professor
Russian Federation, 47 Nahimovskij prospect, 117418 MoscowReferences
- Robine JM, Cheung SL, Le Roy S, et al. Death toll exceeded 70,000 in Europe during the summer of 2003. C R Biol. 2008;331(2):171–178. doi: 10.1016/j.crvi.2007.12.001
- Merte S. Estimating heat wave-related mortality in Europe using singular spectrum analysis. Climatic Change. 2017;142:321–330. doi: 10.1007/s10584-017-1937-9
- Shaposhnikov D, Revich В, Bellander T, et al. Mortality related to air pollution with the Moscow heat wave and wildfire of 2010. Epidemiology. 2014;25(3):359–364. doi: 10.1097/EDE.0000000000000090
- Revich BA. Volny zhary kak faktor riska dlja zdorov'ja naselenija. Pulmonologiya. 2011;(4):34–37. (In Russ).
- Son JY, Lio JC, Bell M. Temperature-related mortality: a systematic review and investigation of effect modifiers. Environ Res Lett. 2019;14(7):073004. doi: 10.1088/1748-9326/ab1cdb
- Romanello M, McGushin A, Di Napoli C, et al. The 2021 report of the Lancet Countdown on health and climate change: code red for a healthy future. Lancet. 2021;398(10311):1619–1662. doi: 10.1016/S0140-6736(21)01787-6
- Masson-Delmotte V, Zhai P, Pirani A, et al, editors. IPCC, 2021: Climate Change 2021: The Physical Science Basis. Contribution of Working Group I to the Sixth Assessment Report of the Intergovernmental Panel on Climate Change. Cambridge: Cambridge University Press; 2391 p. doi: 10.1017/9781009157896.
- Xiao J, Peng J, Zhang Y, et al. How much does latitude modify temperature-mortality relationship in 13 eastern US cities? Int J Biometeorol. 2015;59(3):365–372. doi: 10.1007/s00484-014-0848-y
- Revich BA, Shaposhnikov DA, Shkolnik IM. Projections of temperature-dependent mortality in Russian subarctic under climate change scenarios: a longitudinal study across several climate zones. Proceedings of the IOP Conference Series: Earth and Environmental Science. Climate change: causes, risks, consequences, problems of adaptation and management; 2019 Nov 26–28; Moscow. 2020. Vol. 606. P. 012050. Available from: https://iopscience.iop.org/article/10.1088/1755-1315/606/1/012050/meta
- Evangelopoulos D, Analitis A, Giannakopoulos C, Katsouyanni K. Does climatic zone of birth modify the temperature-mortality association of London inhabitants during the warm season? A time-series analysis for 2004–2013. Environ Res. 2021;193:110357. doi: 10.1016/j.envres.2020.110357
- Guo Y, Gasparrini A, Armstrong B, et al. Global variation in the effects of ambient temperature on mortality: a systematic evaluation. Epidemiology. 2014;25(6):781–789. doi: 10.1097/EDE.0000000000000165
- Tobías A, Hashizume M, Honda Y, et al. Geographical variations of the minimum mortality temperature at a global scale: a multicountry study. Environ Epidemiol. 2021;5(5):e169. doi: 10.1097/EE9.0000000000000169
- Zhao Q, Guo Y, Ye T, et al. Global, regional, and national burden of mortality associated with non-optimal ambient temperatures from 2000 to 2019: a three-stage modelling study. Lancet Planet Health. 2021;5(7):e415–e425. doi: 10.1016/S2542-5196(21)00081-4
- Guo Y, Gasparrini A, Li S, et al. Quantifying excess deaths related to heatwaves under climate change scenarios: a multicountry time series modelling study. PLoS Med. 2018;15(7):e1002629. doi: 10.1371/journal.pmed.1002629
- Hopstock LA, Fors AS, Bønaa KH, et al. The effect of daily weather conditions on myocardial infarction incidence in a subarctic population: the Tromsø study 1974–2004. J Epidemiol Commun Health. 2012;66(9):815–820. doi: 10.1136/jech.2010.131458
- Edel’geriev RSK, Romanovskaya AA. New approaches to the adaptation to climate change: the Arctic Zone of Russia. Meteorologiya i Gidrologiya. 2020;45(5):305–316. (In Russ). doi: 10.3103/S1068373920050015
- Revich BA, Shaposhnikov DA, Anisimov OA, Belolutskaya MA. Impact of temperature waves on the health of residents in cities of the northwestern region of Russia. Studies on Russian Economic Development. 2019;30(3):327–333. (In Russ). doi: 10.1134/S1075700719030158
- Top S, Milošević D, Caluwaerts S, Savić S. Intra-urban differences of outdoor thermal comfort in Ghent on seasonal level and during record-breaking 2019 heat wave. Build Environ. 2020;185:107103. doi: 10.1016/j.buildenv.2020.107103
- Wang L, Liu T, Hu M, et al. The impact of cold spells on mortality and effect modification by cold spell characteristics. Sci Rep. 2016;6:38380. doi: 10.1038/srep38380
- Shartova N, Shaposhnikov D, Konstantinov P, Revich B. Сardiovascular mortality during heat waves in temperate climate: an association with bioclimatic indices. Int J Environ Health Res. 2018;28(5):522–534. doi: 10.1080/09603123.2018.1495322
- Shartova NV, Shaposhnikov DA, Konstantinov PI, Revich BA. Air temperature and mortality: heat thresholds and population vulnerability study in Rostov-on-Don. Fundamental'naya i prikladnaya klimatologiya. 2019;2:66–94. doi: 10.21513/2410-8758-2019-2-66-94
- Arsenović D, Savić S, Lužanin Z, et al. Heat-related mortality as an indicator of population vulnerability in a mid-sized Central European city (Novi Sad, Serbia, summer 2015). Geographic Pannonica. 2019;23(4):204–215. doi: 10.5937/gp23-22680
- Davis RE, Hondula DM, Patel AP. Temperature observation time and type influence estimates of heat-related mortality in seven U.S. cities. Environ Health Perspect. 2016;124(6):795–804. doi: 10.1289/ehp.1509946
- Wang Y, Shi L, Zanobetti A, Schwartz JD. Estimating and projecting the effect of cold waves on mortality in 209 US cities. Environ Int. 2016;94:141–149. doi: 10.1016/j.envint.2016.05.008
- Revich BA, Shaposhnikov DA. Extreme temperature episodes and mortality in Yakutsk, Eastern Siberia. Rural Remote Health. 2010;10(2):1338. doi: 10.22605/RRH1338
- Shaposhnikov D, Revich B. Towards meta-analysis of impacts of heat and cold waves on mortality in Russian North. Urban Clim. 2016;15:16–24. doi: 10.1016/j.uclim.2015.11.007
- Kurovskaya EA, Makar'eva OM, Nesterova NV, et al. Rekonstruktsiya katastroficheskogo pavodka 2014 goda v basseine r. Magadanki na osnove kompleksnogo gidrometeorologicheskogo modelirovaniya. In: Sbornik trudov konferentsii «Chetvertye Vinogradovskie chteniya Gidrologiya ot poznaniya k mirovozzreniyu. Saint Petersburg, 2020 Oct 23–31. Izdatel'stvo VVM, Saint Petersburg. P. 696–701. (In Russ).
- Kottek M, Grieser J, Beck C, et al. World map of the Köppen-Geiger climate classification updated. Meteorologische Zeitschrift. 2006;1(3):259–263. doi: 10.1127/0941-2948/2006/0130
- Ma Y, Zhou L, Chen K. Burden of cause-specific mortality attributable to heat and cold: a multicity time-series study in Jiangsu Province, China. Environ Int. 2020;144:105994. doi: 10.1016/j.envint.2020.105994
- Chen R, Yin P, Wang L, et al. Association between ambient temperature and mortality risk and burden: time series study in 272 main Chinese cities. BMJ. 2018;363:k4306. doi: 10.1136/bmj.k4306
- Gasparrini A, Armstrong B, Kenward MG. Multivariate meta-analysis for non-linear and other multi-parameter associations. Stat Med. 2012;363:3821–3839.
- Gasparrini A, Armstrong B. The impact of heat waves on mortality. Epidemiology. 2011;22(1):68–73. doi: 10.1097/EDE.0b013e3181fdcd99
- Sheridan SC, Lee CC, Allen MJ. The mortality response to absolute and relative temperature extremes. Int J Environ Res Public Health. 2019;16(9):1493. doi: 10.3390/ijerph16091493
- Zhou MG, Wang LJ, Liu T, et al. Health impact of the 2008 cold spell on mortality in subtropical China: the climate and health impact national assessment study (CHINAs). Environ Health. 2014;13:60. doi: 10.1186/1476-069X-13-60
- Carmona R, Díaz J, Mirón IJ, et al. Geographical variation in relative risks associated with cold waves in Spain: the need for a cold wave prevention plan. Environ Int. 2016;88:103–111. doi: 10.1016/j.envint.2015.12.027
- Wolf J, Adger WN, Lorenzoni I. Heat waves and cold spells: an analysis of policy response and perceptions of vulnerable populations in the UK. Environment and Planning A: Economy and Space. 2010;42(11):2721–2734. doi: 10.1068/a42503
- Konstantinov PI, Varentsov MI, Grishchenko MYu, et al. Thermal stress assessment for an Arctic city in summer. Arctic: Ecology and Economy. 2021;11(2):219–231. doi: 10.25283/2223-4594-2021-2-219-231. (In Russ).
- Vil'fand RM, Kiktev DB, Rivin GS. Na puti k prognozu pogody dlja megapolisov. In: Sbornik tezisov dokladov mezhdunarodnoj konferencii, posvjashhennoj stoletiju so dnja rozhdenija akademika AM Obuhova. «Turbulentnost', Dinamika atmosfery i klimata». Moscow; 2018 May 16–18. P. 7. (In Russ).
- Revich BA, Maleev VV, Smirnova MD, Pshenichnaya NYu. Russian and international experience in the development of action plans for the protection of human health from climate risks. Hygiene and Sanitation. 2020;99(2):176–181. (In Russ). doi: 10.47470/0016-9900-2020-99-2-176-18
- Ministry of Health of the Russian Federation. 2022. Plan adaptatsii k izmeneniyam klimata. https://minzdrav.gov.ru/documents/9701-plan-adaptatsii-k-izmeneniyam-klimata (In Russ).
Supplementary files






