COVID-19 vaccination readiness among Russian-speaking residents in Russia, Belarus and Kazakhstan in 2020–2022: a scoping review
- Authors: Radionov D.S.1, Sorokin M.Y.1, Karavaeva T.A.1,2,3,4, Lutova N.B.1
- 
							Affiliations: 
							- National Medical Research Center for Psychiatry and Neurology named after V.M. Bekhterev
- St. Petersburg University
- St. Petersburg State Pediatric Medical University
- N.N. Petrov National Medicine Research Center of Oncology
 
- Issue: Vol 30, No 2 (2023)
- Pages: 83-99
- Section: REVIEWS
- Submitted: 11.11.2022
- Accepted: 09.03.2023
- Published: 10.05.2023
- URL: https://hum-ecol.ru/1728-0869/article/view/112521
- DOI: https://doi.org/10.17816/humeco112521
- ID: 112521
Cite item
Full Text
Abstract
BACKGROUND: The COVID-19 pandemic has had a major impact on the mental health and overall well-being of people worldwide. Vaccination is a crucial component in preventing the spread of COVID-19. However, despite the high risks associated with COVID-19, there is widespread disapproval and hostility towards vaccination and restrictive measures aimed at stopping the infection process. The spread of misinformation about vaccines, which has a long history as far back as the 18th and 19th centuries, increases distrust of immunization. This distrust is based on different beliefs about the origins of health and disease accepted in society. Vaccine skepticism is considered a global threat to public health and the achievement of population immunity against infections. Therefore, collection of data on attitudes towards vaccination within the largest possible number of social subgroups is warranted.
AIM: To perform a systematic search and qualitative synthesis of scientific information on COVID-19 vaccination readiness among Russian-speaking residents in Russia, Belarus and Kazakhstan as well as associated factors.
METHODS: A scoping review was conducted to examine scientific articles published in Russian from January 1, 2020, to February 28, 2022, that reported on the attitudes towards COVID-19 vaccination among Russian-speaking residents of Russia, Belarus, and Kazakhstan. In total, there were more than 12,000 respondents in the selected papers that described the factors influencing the preparedness for COVID-19 immunization. The proportions of respondents who agreed, disagreed, and doubted the implementation of vaccination were recorded and used to calculate median values without taking into account the weights of each individual study.
RESULTS: Compared to many other countries, the Russian-speaking residents in Russia, Belarus and Kazakhstan has demonstrated a reluctance to receive the COVID-19 vaccine, with 30% expressing unwillingness and only 47% indicating readiness for vaccination.
CONCLUSION: The use of theoretical models for describing health-related behavior is warranted to improve the quality and information content of Russian biomedical and socio-psychological research. This approach can aid in the development of effective interventions and preventive strategies for vaccine-preventable diseases.
Full Text
ВВЕДЕНИЕ
История развития медицины как научной специальности позволяет говорить, что пандемии, аналогичные COVID-19, случались ранее. Достаточно убедительны данные о том, что «Русский грипп» 1880–1890 гг. был связан с распространением коронавируса [1]. Примечательно высокое сходство этих эпидемий по симптоматике заболевания, включавшей повышенную уязвимость пожилого населения, сочетание пневмонии и полиорганной патологии, гастроинтестинальных симптомов, тромботических осложнений, нейропсихиатрических нарушений [2]. Эпидемия «Русского гриппа» в странах Азии (в связи с чем второе его распространённое название — «Азиатский грипп»), Российской империи и европейских странах породила массу мифов и конспирологических теорий в обществе того времени [1, 3].
Историческое рассмотрение инфекционных процессов в людской популяции позволяет в настоящее время делать предположения о будущих закономерностях течения новых пандемий [4]. Так, считается, что можно ожидать естественного угасания распространения новой коронавирусной инфекции в течение нескольких циклов пиковых уровней заражений. При эпидемии «Русского гриппа» в конце XIX века они продолжались в течение 5 лет. Однако также отмечается, что доступность вакцинации и возможность быстрого формирования популяционного иммунитета способны в значительной степени модифицировать пандемический процесс как в сторону его быстрого затухания при успешности вакцинальной кампании, так и в виде ускоренной эволюции вируса в частично иммунной популяции [5]. В связи с этим преобладающее в обществе отношение к иммунопрофилактике является важным патопластическим фактором развития пандемии.
Антивакцинальное движение широко распространилось еще в XVIII веке, а в середине XIX века даже стало причиной создания комиссии по оценке вреда и пользы вакцин при парламенте Великобритании в 1896 году [6, 7]. Интенсификация антивакцинального движения происходила и в XX веке на фоне нескольких случаев объективно фиксировавшихся негативных эффектов некоторых иммунологических препаратов [8]. Примечательно, что оба дискурса (за и против вакцинации) в значительной степени являются продолжением одного и того же опасения человека — столкнуться с ухудшением здоровья. С другой стороны, как в XIX, так и в XXI веке, во время пандемии COVID-19, одними из предикторов доверия к иммунопрофилактике называются социально-политические установки потенциальных потребителей, позиция государства по отношению к обязательности вакцинации [7, 9, 10], а в случае COVID-19 — даже исторические геополитические факторы, влияющие на решение о потреблении вакцинного препарата [11]. Ещё одним источником неуверенности в отношении вакцин называют антинаучный дискурс и отсутствие достаточного уровня медицинских знаний у населения. Причём большое значение в условиях информационного общества здесь имеет доступность популярной биомедицинской информации в социальных сетях. Отмечается большое влияние не только транскультурального, но и микросоциального факторов, в том числе выражаемого в распространённости конспирологического мышления среди близких [12–15].
Исследование отношения к вакцинам в 67 странах мира свидетельствует, что этот параметр общественного здравоохранения является специфичным и динамичным для каждого социума, в том числе при формировании отношения к вакцинации против новой коронавирусной инфекции [16, 17]. C одной стороны, ситуация пандемии COVID-19 способствует обострению страхов за жизнь и здоровье [18, 19]. В то же время практика противоэпидемических ограничений и локдаунов кратно повысила обращаемость широких слоёв населения к современным средствам коммуникации. Так, социальные сети, уже давно ставшие источником массивных популяционных данных, сделали возможным не только донесение релевантной информации о необходимости вакцинопрофилактики, но и проведение онлайн-опросов в ситуации строгих ограничений на социальные коммуникации в самые острые периоды пандемии [20]. Важно учитывать, что профиль респондентов, обследуемых даже в рамках одного сообщества, может существенно отличаться между разными наборами собранных онлайн-данных. Таким образом, представляют интерес не только популяционные данные об отношении к вакцинации внутри одной страны, но и сопоставление сведений о нескольких методологически и географически по-разному собранных данных внутри отдельных социальных подгрупп.
Цель исследования. Систематический обзор и качественный синтез научной информации о готовности к вакцинации против COVID-19 среди русскоязычного населения России, Беларуси и Казахстана, и о факторах, на неё влияющих.
Задачи исследования: проведение обзора научных статей на русском языке, оценивающих отношение населения к вакцине и вакцинопрофилактике; экстракция данных о распространённости готовности и неготовности к вакцинации против COVID-19; анализ исследованных факторов отношения к иммунопрофилактике.
МЕТОДЫ
Критерии включения публикаций в исследование:
- статьи, проиндексированные в национальной библиографической базе данных научного цитирования «Российский индекс научного цитирования» (РИНЦ) по ключевым словам, релевантным цели обзора;
- оригинальные медицинские исследования, проводимые на русском языке в период с 01.01.2020 по 28.02.2022 гг.;
- публикации в рецензируемых научных журналах.
Критерии исключения:
- отсутствие в статье оценки отношения к вакцинации против COVID-19 и/или факторов, определяющих его в ходе онлайн- или очных опросов всего населения и/или особых социальных групп (медицинских работников, студентов и т.д.);
- публикация статьи на языке, отличном от русского;
- отсутствие открытого доступа к полному тексту публикации.
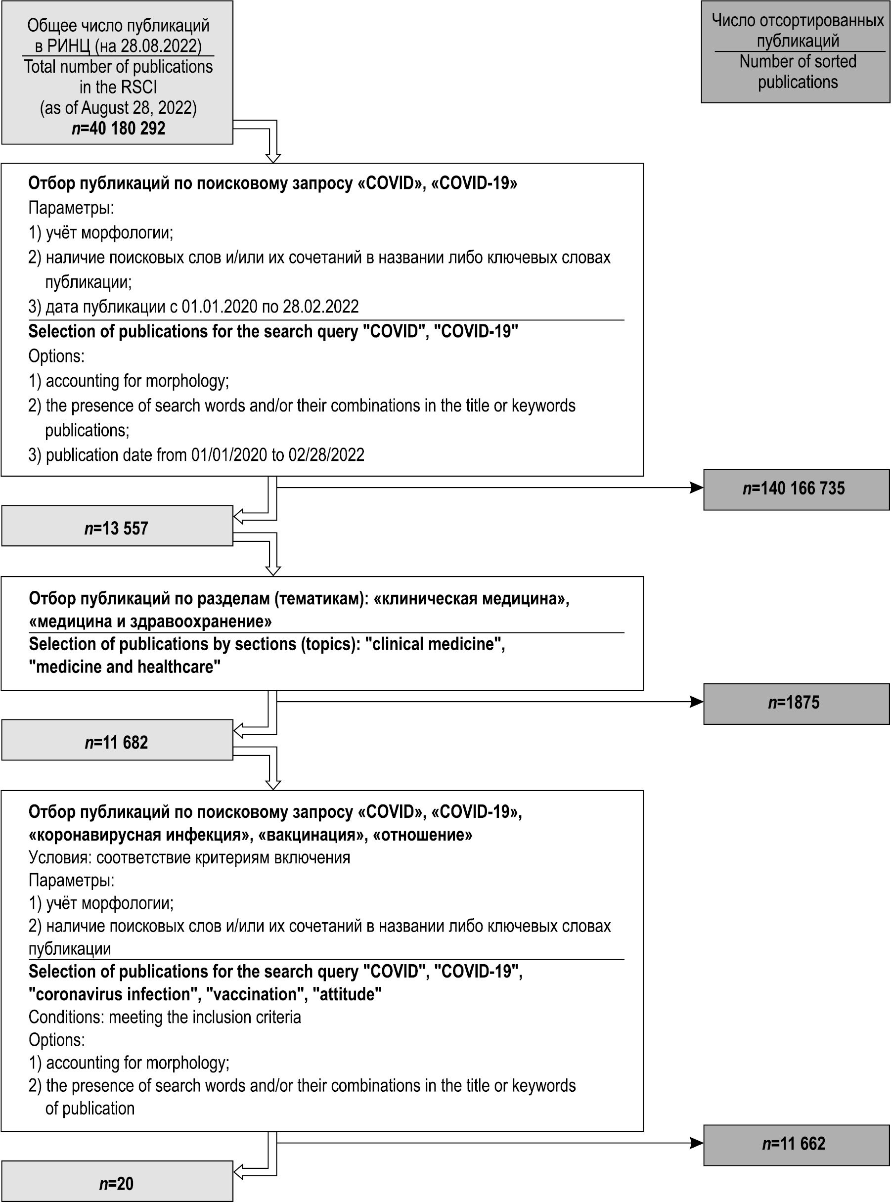
Основные поисковые запросы в базе данных РИНЦ: «COVID», «коронавирусная инфекция», «вакцинация», «отношение». Осуществлялся разбитый на этапы поиск публикаций с наличием указанных слов и/или их сочетанием в названии публикации и ключевых словах с параметром учёта вариантов морфологии (рис. 1). Тип
публикации был представлен статьями в журнале, опубликованными с 01.01.2020 гг. по момент проведения обзора (28.08.2022 гг.).
Рис. 1. Стадийность проведения систематического обзора.
Fig. 1. Flowchart of article selection process.
Этап 1. При поисковом запросе «COVID» найдено 13 557 статей. Указанные статьи были представлены различными тематиками.
Этап 2. При дальнейшем выборе разделов «клиническая медицина», «медицина и здравоохранение» отсортировано 11 682 статей, что составило 86% от общего числа публикаций по запросу «COVID» с 01.01.2020 по 28.08.2022 гг.
Этап 3. При дальнейшем поисковом запросе использовано сочетание слов «COVID», «коронавирусная инфекция», «вакцинация», «отношение», в результате получено 20 публикаций, соответствующих критериям включения [21–40].
После отбора из статей извлечены следующие данные: название и авторы исследования; период/продолжительность исследования; целевая аудитория исследования (например, население в целом, студенты, медицинские работники и другие социальные группы); регион России, Республики Беларусь и Казахстана, где проводилось исследование; размер выборки. Отдельно оценивались социодемографические характеристики респондентов, такие как процентное соотношение полов, средний возраст, уровень образования участников исследований. Извлечение данных проводилось независимо двумя специалистами и не дублировалось (см. «Вклад авторов»). Определение отношения к вакцинопрофилактике извлекали из публикаций через процентное число респондентов, согласных, несогласных и сомневающихся в отношении проведения вакцинопрофилактики. Расчёт медиан анализируемых психологических и социодемографических данных выполняли в целях наглядности представления результатов обзора без учёта веса каждого из представленных исследований, поскольку более информативный метааналитический подход к обработке данных не входил в задачи обзора. Также фиксировали факторы, отмеченные в публикациях как влияющие на формирование отношения к вакцине. Извлечённые факторы разделили на три группы: факторы согласия, факторы несогласия и противоречивые факторы. Систематизацию полученных данных проводили с использованием Microsoft Excel версии 2021 года.
РЕЗУЛЬТАТЫ
Выборка исследований, вошедших в обзор, составила 20 русскоязычных публикаций и включала данные более 12 000 человек (табл. 1 [21–40]). В обзор вошли исследования с респондентами из различных регионов России, Республики Беларусь и Республики Казахстан. Однако стоит отметить, что выборки половины проведённых исследований (n=10) не превышали объёма в 200 респондентов, а всероссийскими были лишь 7 из 20 исследований. Около половины публикаций (n=9) соответствовали критериям включения и не выполняли критериев исключения (а именно, оценивали отношение к вакцинации против COVID-19 и/или факторы, определяющие его в ходе онлайн- или очных опросов), однако имели существенные недостатки в представлении данных, используемых в формуле извлечения (приведена выше в разделе «Методы»): не сообщали о периоде проведения исследования, размере выборки, доле согласных на вакцинацию респондентов, регионе проведения (см. табл. 1).
Таблица 1. Наиболее значимые характеристики исследований в соответствии с формулой извлечения данных
Table 1. The most significant characteristics of the studies according to the data extraction strategy
| Исследование Study | Период проведения Study period | Регион проведения Region | Cогласные с вакцинацией % Agree with vaccination, % | Величина выборки, n Sample size, n | Возраст респондентов, лет Age of respondents, years | Уровень образования The level of education | Факторы несогласия Dissent factors | Факторы противоречия Controversy factors | Факторы согласия Consent factors | 
| Вакцинация от COVID-19 в контексте общественного доверия [21] | 16–17 декабря 2020 | Всероссийское | 28,0 | 2500 | 18–60 | - Среднее общее - среднее профессиональное - высшее профессиональное | - Недоверие специалистам - недоверие фармацевтическим компаниям - негативная информация в СМИ | Нет данных | Нет данных | 
| Социально-демографические аспекты вакцинации населения России в контексте пандемии COVID-19 [22] | 5–9 января 2021 | Всероссийское | 22,0 | 1534 | Старше 18 | - Среднее общее - среднее профессиональное - высшее профессиональное | - Наличие в анамнезе перенесённой новой коронавирусной инфекции COVID-19 - негативное отношение к отечественной медицине - информация из СМИ | Недоверие качеству вакцин | - Положительное отношение к вакцинопрофилактике в целом - наличие высшего образования | 
| Отношение россиян к вакцинации от COVID-19: проблемы и противоречия [23] | C октября 2020 по март 2021 | Всероссийское | 58,0 | 90 | Старше 18 | Высшее профессиональное | - Наличие в анамнезе перенесённой новой коронавирусной инфекции COVID-19 | Недоверие качеству вакцин | - Снятие ограничений после вакцинации - экспертное мнение | 
| Исследование взаимосвязи социально-демографических характеристик и индивидуального опыта пандемии COVID-19 с отношением к вакцинации для определения мишеней психосоциальных интервенций [24] | Два месяца после начала массовой вакцинации в РФ | Всероссийское | 13,0 | 4172 | Старше 18 | - Среднее общее - среднее профессиональное - высшее профессиональное | - Молодой возраст - женский пол - страх побочных эффектов вакцины | Недоверие качеству вакцин | - Пожилой и старческий возраст - мужской пол - страх инфицирования коронавирусом - положительное отношение к вакцинации в целом | 
| Когнитивные аспекты отношения студенческой молодёжи к вакцинации от COVID-19 [25] | С конца февраля до начала марта 2021 | Саратов | Нет данных | 76 | Старше 18 | - Среднее общее - среднее профессиональное - высшее профессиональное | - Страх побочных эффектов вакцины - негативный опыт окружения - информация из СМИ | - Недоверие качеству вакцин - расчёт на силы собственного иммунитета | Нет данных | 
| Многофакторная модель готовности к вакцинации студентов медицинских вузов в период третьей волны пандемии COVID-19 [26] | 18–22 июня 2021 | Иваново | 22,0 | 135 | Нет данных | Нет данных | Молодой возраст | - Недоверие качеству вакцин - недоверие данным об опасности новой коронавирусной инфекции COVID-19 | - Отрицание недостаточной изученности вакцины, убежденность в её безопасности и эффективности - страх заражения близких | 
| Взаимосвязь уровня когнитивного компонента отношения к здоровью у студентов и отказа от вакцинации против COVID-19 [27] | Нет данных | Ульяновск | Нет данных | 249 | 18–30 | - Среднее общее - среднее профессиональное - высшее профессиональное | - Низкая степень осведомлённости или компетентности человека в медицинских вопросах | Нет данных | Нет данных | 
| Приверженность вакцинации и восприятие риска COVID-19 населением Республики Беларусь [28] | С 19 мая по 07 июля 2021 | Беларусь | Нет данных | 1310 | Старше 18 | - Среднее общее - среднее профессиональное - высшее профессиональное | - Молодой возраст - отсутствие высшего образования - наличие в семье несовершеннолетних детей - мужской пол - совместное проживание с пожилыми родственниками | Нет данных | Нет данных | 
| Отношение населения к вакцинации против COVID-19 [29] | Октябрь 2020 | Тюменская область | 37,0 | 100 | Старше 15 | - Основное общее - среднее общее - среднее профессиональное - высшее профессиональное | Нет данных | Недоверие качеству вакцин | Нет данных | 
| Структура тревожных переживаний и стресс как факторы готовности к вакцинации против коронавирусной инфекции [30] | С 7 декабря 2020 по 8 января 2021 | Всероссийское | 47,0 | 131 | Старше 18 | - Среднее общее - среднее профессиональное - высшее профессиональное | Нет данных | Нет данных | Нет данных | 
| Отношение студентов медицинского вуза к вакцинации от COVID-19 [31] | Нет данных | Ижевск | Нет данных | 71 | 18–26 | - Среднее общее - среднее профессиональное - высшее профессиональное | Нет данных | Нет данных | Нет данных | 
| Отношение работников здравоохранения к вакцинации от коронавирусной инфекции SARS-COV-2 (COVID-19) [32] | Нет данных | Казахстан | 33,0 | 126 | Нет данных | Нет данных | - Страх побочных эффектов вакцины - негативное отношение к вакцинопрофилактике в целом | Нет данных | - Страх инфицирования COVID-19 - страх заражения близких | 
| Отношение студентов медицинских учебных учреждений к вакцинации против COVID-19 [33] | Нет данных | Москва | Нет данных | 220 | Старше 18 | Высшее профессиональное | - Страх побочных эффектов вакцины, в том числе негативное влияние на репродуктивное здоровье - риск инфицирования COVID-19 после прививки - уверенность в эффективности | Нет данных | - Страх инфицирования COVID-19 - положительное мнение родных и знакомых - возможность посещения мест досуга - доверие к информации о вакцинации | 
| против COVID-19 альтернативных мер профилактики и собственного высокого иммунитета - мнение близкого окружения - информация из СМИ | |||||||||
| Вакцинация против COVID-19: мнение студентов медицинских университетов [34] | Нет данных | Челябинск, Екатеринбург | 9,3 | 151 | Нет данных | Высшее профессиональное | Отсутствие достаточного интереса к изучению новой коронавирусной инфекции COVID-19 | Нет данных | Нет данных | 
| Анализ отношений личного состава спасательных воинских формирований МЧС России к вакцинации от COVID-19 [35] | Нет данных | Москва | 91,6 | 536 | Старше 18 | Нет данных | Нет данных | Нет данных | Нет данных | 
| Отношение студентов в возрасте 18–19 лет к вакцинации от COVID-19 [36] | Ноябрь 2021 | Нижний Новгород | 38 | 64 | 18–19 | Нет данных | Негативное отношение к отечественной медицине | Нет данных | Нет данных | 
| Изучение отношения студентов Кировского государственного медицинского университета к вакцинации против новой коронавирусной инфекции COVID-19 [37] | С декабря 2021 по февраль 2022 | Киров | 45,3 | 490 | Нет данных | Нет данных | Непризнание необходимости создания иммунитета | Недоверие данным об опасности новой коронавирусной инфекции COVID-19 | Нет данных | 
| Специфика отношения студентов-медиков к коронавирусной инфекции и вакцинации против COVID-19 в период третьей волны пандемии [38] | Ноябрь 2021 | Чувашия | 80 | 241 | Нет данных | Нет данных | Нет данных | Недоверие данным об опасности новой коронавирусной инфекции COVID-19 | Нет данных | 
| Предпосылки формирования готовности к вакцинации против коронавирусной инфекции у жителей России [39] | С 7 декабря 2020 по 8 января 2021 | Всероссийское | 47 | 131 | Старше 18 | - Среднее общее - среднее профессиональное - высшее профессиональное | - Женский пол - отсутствие у респондентов страха за свою жизнь - уровень доверия регуляторным органам и системе здравоохранения | Нет данных | - Отсутствие чрезмерных опасений, искажающих когнитивные механизмы принятия решений - устойчивость респондентов в отношении страхов о недоступности специального лечения COVID-19, о возможных тяжёлых социальных последствиях пандемии, о дефиците лекарств в свободной продаже | 
| Социальные и психологические проблемы вакцинации населения от новой коронавирусной инфекции [40] | Нет данных | Всероссийское | Нет данных | Нет данных | Нет данных | Нет данных | Нет данных | Нет данных | Нет данных | 
Социодемографические характеристики
Состав респондентов представлен лицами как мужского, так и женского пола разных возрастных групп, различных регионов проживания, уровня образования и социального статуса. В пяти исследованиях сведения о половом составе выборки отсутствовали [27, 29, 33, 34, 36], а в одном было указание на гендерную стратификацию респондентов [21]. В остальных публикациях преобладающей была доля лиц женского пола (медиана — 71,65%, мужчин соответственно — 28,35%). В двух публикациях не представлены данные по возрасту участников исследований [34, 37], еще в четырёх было упоминание о возрастной стратификации выборки [21, 22, 28, 29] без сведений о центральных тенденциях. В целом возраст участников исследований представлен всеми возрастными группами согласно ВОЗ, а медиана по возрасту (на основании доступных данных) составила 34 года.
Качественный состав суммарной выборки по уровню образования представлен от среднего до нескольких высших. Однако оценка количественного соотношения респондентов по уровню образования в ходе систематического обзора стала невозможной ввиду отсутствия количественных данных в преобладающем числе включённых исследований [21, 23, 25, 27, 31, 34–38]. В более чем половине включённых в обзор исследований [21, 23, 25–27, 30, 33–38] также не был представлен трудовой статус респондентов. При этом девять исследований включали студентов медицинских вузов в качестве респондентов (n=1088; 8,8% общей выборки); студентов, получающих высшее образование по разным профилям обучения (n=249; 2,0%) [25–27, 31, 33, 34, 36–38]. В то же время в двух публикациях опросы организовывались с учётом специфики занятости респондентов: проводилось исследование среди курсантов системы МЧС России [35] (n=536; 4,3%), были опрошены медицинские работники Республики Казахстан [32] (n=126; 1,0%).
Согласие с необходимостью вакцинации
Доли согласных с необходимостью вакцинации по всем включённым в обзор публикациям варьировали от 9,3% [34] до 91,6% [35] в отдельных исследовательских выборках. Исключительно для повышения наглядности результатов обзора в части центральных тенденций изучаемых данных и их распределения далее были высчитаны медианы процентных долей согласных, несогласных с вакцинацией и сомневающихся в её необходимости респондентов по всем включённым в обзор публикациям, для которых были доступны единообразные процентные данные (табл. 2).
Таблица 2. Доля согласных с необходимостью вакцинации
Table 2. Proportion of responders who agree on the necessity of vaccination
| Степень согласия Degree of agreement | Медиана, процент от выборки каждого исследования Median percentage | Q25 | Q75 | 
| Согласны с необходимостью вакцинации Agree on the necessity of vaccination | 33 | 11,0 | 47,0 | 
| Не согласны с необходимостью вакцинации Disagree with the necessity of vaccination | 17 | 9,5 | 37,0 | 
| Сомневаются в необходимости вакцинации In doubt about vaccination | 24 | 10,5 | 35,5 | 
| Вакцинированные Vaccinated | 7 | 4,0 | 70,0 | 
Факторы формирования отношения к вакцинации
Актуальность определения предикторов отказа от вакцинации в первую очередь обусловлена необходимостью выявления факторов сопротивления для выработки программ по его преодолению. В представленных исследованиях наибольшее внимание уделялось определению факторов отказа от вакцинации [21–28, 32–34, 36, 37, 39]. Менее половины включённых исследований также описывали предикторы согласия с необходимостью вакцинации [22–24, 26, 32, 33, 39]. С учётом наличия существенной доли выборки сомневающихся в необходимости проведения вакцинации респондентов, а также их высокой значимости как целевой группы для преодоления сопротивления приблизительно в трети включённых в обзор исследований изучены факторы противоречивого отношения к вакцинопрофилактике [22–26, 29, 37, 38].
Среди предикторов отказа от вакцинации наиболее представлены факторы, связанные с качеством вакцины и страхом побочных эффектов. Женский пол, молодой возраст и отсутствие высшего образования также выступали как факторы, определяющие негативное отношение к необходимости вакцинации. Предикторами согласия в большей степени были определены положительное отношение к вакцинопрофилактике в целом, желание скорого снятия противоэпидемических ограничений, мужской пол и пожилой возраст. В качестве факторов противоречия превалирующим выступало сомнение в опасности самой инфекции COVID-19 (см. табл. 1).
ОБСУЖДЕНИЕ
Проведённый анализ выявил ряд существенных фактов. Несмотря на исключительную значимость для общественного здравоохранения вопроса готовности к вакцинации населения в условиях неконтролируемого развития пандемии COVID-19, а также с учётом новизны для общества ситуации распространения новой коронавирусной инфекции SARS-CoV-2, репрезентативных или достаточно обширных популяционных всероссийских исследований, ставивших своей целью определение факторов отношения к вакцинации у русскоязычного населения, к лету 2022 года проведено мало: 6 публикаций с суммарной выборкой респондентов n=8558 [21–24, 30, 39]. При относительно большом итоговом числе участников опросов все анализируемые исследования были описательными по своей природе и не включали в структуре предлагавшихся респондентам вопросов элементы общепризнанных моделей прогнозирования поведения, связанного со здоровьем (теория запланированного действия, модель убеждений о здоровье, социально-когнитивная теория и др.). В англоязычной литературе, напротив, использование теоретических парадигм для изучения поведения, связанного с вакцинацией, зачастую является основополагающим критерием отбора релевантных анализу исследований [41–43].
Несмотря на преимущественно описательные данные, достаточно надёжными являются сведения о распространённости установок готовности и неготовности к вакцинации, которые составили для русскоязычной популяции 47 и 30% соответственно. Это характеризует суммарную выборку обзора как настроенную более скептически к вакцинации против COVID-19, чем, например, жители США (аналогичные показатели — 52 и 22%), население стран европейского региона (доля несогласных — от 3,7 до 24,0%) или стран с низким и средним уровнем среднедушевого дохода (доля готовых к вакцинации — 78%). Здесь полученные нами данные значительно расходятся с альтернативной оценкой готовности к вакцинации в России: 30,4% [44–46]. При атеоретичности предпосылок большинства проанализированных исследований полученные в них описательные данные о факторах готовности к иммунопрофилактике совпали со многими аналогичными международными исследованиями: предрасполагающими к благоприятному отношению к вакцинации являлись мужской пол, зрелый возраст, более высокий уровень образования респондентов [47].
Прямое сопоставление остальных полученных в данном обзоре предикторов с литературными сведениями затруднено. Наибольшим препятствием служит принципиально различный подход к оценке факторов согласия на вакцинацию в отечественных и зарубежных исследованиях. Так, большинство переменных, выявленных в данном обзоре как бинарные предикторы согласия/сомнения/несогласия, в международных исследованиях учитываются как континуальные, отражающие процесс формирования поведения, связанного со здоровьем. Например, недоверие специалистам, фармкомпаниям, качеству вакцин, а также отношение к российской медицине соответствуют измеряемой в широких приделах категории «доверие» в европейских, африканских и азиатских обществах [42, 45]. Переменные, отражающие степень изученности вакцины, опасность COVID-19, снятие ограничений, страх побочных эффектов и COVID-19 а анамнезе, существенные для формирования отношения к вакцинации в русскоязычной популяции, в зарубежных исследованиях также преимущественно учитываются как континуальный фактор [10, 46]: в частности, в рамках теории запланированного действия — как «воспринимаемый поведенческий контроль», который может выступать в роли модератора эффектов остальных компонентов теории запланированного действия [43]. Среди таких дополнительных компонентов, которые семантически близки выявленным в ходе данного обзора факторам «влияние СМИ» и «мнение экспертов», в зарубежных публикациях обычно учитывается концепт «индивидуальных норм», также являющихся составным элементом теории запланированного действия [42, 43]. Наконец, важнейшим по данным многих исследований предиктором готовности к вакцинации, также подтверждённым для русскоязычной популяции, служит положительное отношение к вакцинации в целом — компонент «отношение» в теории запланированного действия [43].
Ограничения в методологии проведения и сообщения результатов проанализированных в обзоре исследований позволяют сформулировать рекомендации для реализации отечественных клинико-психологических и клинико-социологических исследований в будущем, которые позволят существенно повысить информативность и надёжность получаемых в них данных: следование стандартам представления научной методологии и результатов исследований [48], а также использование в качестве предпосылок популяционных исследований теоретических моделей описания поведения, связанного со здоровьем [49].
Ограничения исследования
Проведённый обзор предметного поля (scoping review) соответствует большинству современных требований к систематическому обзору, выдвигаемых экспертным сообществом для реализации и представления систематических обзоров и метаанализов PRISMA [50]. С рядом объективных причин связано невыполнение некоторых элементов чек-листа PRISMA (реализация первоначального протокола, синтез результатов). Во-первых, подробность представления данных в опубликованных исследованиях недостаточна, и это в более чем трети случаев не позволяет извлечь необходимые описательные сведения о проведённом исследовании. Во-вторых, гетерогенность представления данных, методологическая неоднородность исследований, обеспечивающая необходимое для научного поиска разнообразие точек зрения на проблему, в ряде случаев делают невозможным формирование достаточной по объёму исследовательской выборки, объединяющей несколько публикаций для ответа на общий исследовательский вопрос в соответствии с целью систематического обзора. В представленном исследовании единственным доступным для подобного анализа вопросом являлась доля респондентов, согласных или несогласных на проведение вакцинации. При этом кажущееся увеличение доли согласных с вакцинацией респондентов в исследованиях, проведённых позднее, из-за существенной социально-демографической гетерогенности выборок не может быть корректно интерпретировано. Оценка систематических искажений (смещений) в отношении исследовательского вопроса о готовности к вакцинации, ассоциированных с половыми, возрастными, иными социально-демографическими переменными, также была не правомочна в связи с ограниченностью количества данных. Большинство включённых публикаций (n=14) сообщали о степени согласия с иммунопрофилактикой, и лишь несопоставимое меньшинство (от 8 до 14 публикаций, в зависимости от оцениваемого параметра) представляли достаточные сведения об экспериментальной выборке. В-третьих, выявленные недочёты в представлении данных исследованных публикаций определили необходимость корректировки первоначального протокола обзора и исключение анализа роли социально-демографических факторов в формировании согласия с вакцинацией.
ЗАКЛЮЧЕНИЕ
Представленные на русском языке исследования, посвящённые оценке популяционного отношения к вакцинации против COVID-19, совпадают с литературными данными международных научных результатов: значимы факторы отношения к качеству разрабатываемой вакцины, влияния СМИ и иных источников информации, общего отношения к пандемии COVID-19 и др. В русскоязычной популяции выявлены высокие уровни неготовности вакцинироваться против COVID-19 (30%) и сравнительно низкие показатели готовности к иммунопрофилактике (47%). Существенному повышению информативности и надёжности данных может служить опора исследователей на теоретические модели описания поведения, связанного со здоровьем, среди которых теория запланированного поведения имеет в настоящее время наибольший уровень доказательной применимости при оценке поведения населения в ситуации пандемии.
ДОПОЛНИТЕЛЬНАЯ ИНФОРМАЦИЯ / ADDITIONAL INFORMATION
Вклад авторов: Д.С. Радионов — концепция и дизайн исследования, получение, анализ и интерпретация данных, подготовка первого варианта статьи; М.Ю. Сорокин — концепция и дизайн исследования, получение, анализ и интерпретация данных, участие в анализе данных, подготовка первого варианта статьи; Т.А. Караваева — анализ данных, окончательное утверждение присланной в редакцию рукописи; Н.Б. Лутова — анализ данных, окончательное утверждение присланной в редакцию рукописи.
Authors’ contribution: D.S. Radionov — contributed to the concept and design of the study, data acquisition, analysis and interpretation, prepared the first draft of the article; M.Yu. Sorokin — contributed to the concept and design of the study, data acquisition, analysis and interpretation participated in data analysis, prepared the first draft of the article; T.A. Karavaeva — participated in the data analysis, finally approved the manuscript sent to the editor; N.B. Lutova — participated in data analysis, finally approved the manuscript sent to the editor.
Источник финансирования. Работа выполнена при поддержке учёного совета Федерального государственного бюджетного учреждения «Национальный медицинский исследовательский центр имени В.М. Бехтерева» Министерства здравоохранения Российской Федерации.
Funding sources. This research was supported by the scientific council of the V.M. Bekhterev National Medical Research Center for Psychiatry and Neurology.
Конфликт интересов. Авторы подтверждают отсутствие явных и потенциальных конфликтов интересов при написании данной статьи.
Competing interests. The authors declare no conflict of interest.
About the authors
Dmitriy S. Radionov
National Medical Research Center for Psychiatry and Neurology named after V.M. Bekhterev
							Author for correspondence.
							Email: psyradionov@gmail.com
				                	ORCID iD: 0000-0001-9020-3271
				                	SPIN-code: 3247-3178
																		                								
MD, Junior Research Associate
Russian Federation, Saint PetersburgMikhail Yu. Sorokin
National Medical Research Center for Psychiatry and Neurology named after V.M. Bekhterev
														Email: m.sorokin@list.ru
				                	ORCID iD: 0000-0003-2502-6365
				                	SPIN-code: 7807-4497
																		                								
MD, Cand. Sci. (Med.), Research Associate
Russian Federation, Saint PetersburgTatiana A. Karavaeva
National Medical Research Center for Psychiatry and Neurology named after V.M. Bekhterev; St. Petersburg University; St. Petersburg State Pediatric Medical University; N.N. Petrov National Medicine Research Center of Oncology
														Email: tania_kar@mail.ru
				                	ORCID iD: 0000-0002-8798-3702
				                	SPIN-code: 4799-4121
																		                								
MD, Dr. Sci. (Med.), Chief Research Associate, Professor
Russian Federation, Saint Petersburg; Saint Petersburg; Saint Petersburg; Saint PetersburgNatalia B. Lutova
National Medical Research Center for Psychiatry and Neurology named after V.M. Bekhterev
														Email: lutova@mail.ru
				                	ORCID iD: 0000-0002-9481-7411
				                	SPIN-code: 1890-9182
																		                								
MD, Dr. Sci. (Med.), Chief Research Associate
Russian Federation, Saint PetersburgReferences
- Brüssow H, Brüssow L. Clinical evidence that the pandemic from 1889 to 1891 commonly called the Russian flu might have been an earlier coronavirus pandemic. Microb Biotechnol. 2021;14(5):1860–1870. doi: 10.1111/1751-7915.13889
- Kousoulis AA, Tsoucalas G. Infection, contagion and causality in Colonial Britain: the 1889–90 influenza pandemic and the British Medical Journal. Infez Med. 2017;25(3):285–291.
- Tomes N. "Destroyer and teacher": managing the masses during the 1918–1919 influenza pandemic. Public Health Rep. 2010;125 (suppl. 3):48–62. doi: 10.1177/00333549101250S308
- Taubenberger JK, Morens DM, Fauci AS. The next influenza pandemic: can it be predicted? JAMA. 2007;297(18):2025–2027. doi: 10.1001/jama.297.18.2025
- Brüssow H. What we can learn from the dynamics of the 1889 'Russian flu' pandemic for the future trajectory of COVID-19. Microb Biotechnol. 2021;14(6):2244–2253. doi: 10.1111/1751-7915.13916
- Durbach N. Bodily matters: the anti-vaccination movement in England, 1853–1907. Duke University Press, 2005. doi: 10.2307/j.ctv11cw047
- Porter D, Porter R. The politics of prevention: anti-vaccination and public health in 19th century England. Med Hist. 1988;32(3):231–252. doi: 10.1017/s0025727300048225
- Weigmann K. An injection of confidence: scientists explore new and old methods to counter anti-vaccine propaganda and overcome vaccine hesitancy so as to increase vaccination rates. EMBO Rep. 2017;18(1):21–24. doi: 10.15252/embr.201643589
- Roberts HA, Clark DA, Kalina C, et al. To vax or not to vax: predictors of anti-vax attitudes and COVID-19 vaccine hesitancy prior to widespread vaccine availability. PLoS One. 2022;17(2):e0264019. doi: 10.1371/journal.pone.0264019
- Toure AA, Traore FA, Camara G, et al. Facilitators and barriers to COVID-19 vaccination among healthcare workers and the general population in Guinea. BMC Infect Dis. 2022;22(1):752. doi: 10.1186/s12879-022-07742-3
- Kobayashi Y, Howell C, Heinrich T, Motta M. Investigating how historical legacies of militarized violence can motivate COVID-19 vaccine hesitancy: evidence from global dyadic survey. Soc Sci Med. 2022;311:115346. doi: 10.1016/j.socscimed.2022.115346
- Benoit SL, Mauldin RF. The “anti-vax” movement: a quantitative report on vaccine beliefs and knowledge across social media. BMC Public Health. 2021;21(1):2106. doi: 10.1186/s12889-021-12114-8
- Cvjetkovic SJ, Jeremic VL, Tiosavljevic DV. Knowledge and attitudes toward vaccination: a survey of Serbian students. J Infect Public Health. 2017;10(5):649–656. doi: 10.1016/j.jiph.2017.05.008
- Winter K, Pummerer L, Hornsey MJ, Sassenberg K. Pro-vaccination subjective norms moderate the relationship between conspiracy mentality and vaccination intentions. Br J Health Psychol. 2022;27(2):390–405. doi: 10.1111/bjhp.12550
- Vasileva AV, Neznanov NG, Soloviev AG. Mental ecology in the structure of the COVID-19 pandemic (review). Ekologiya cheloveka (Human Ecology). 2022;29(7):461–469. (In Russ). doi: 10.17816/humeco81183
- Larson HJ, de Figueiredo A, Xiahong Z, et al. The state of vaccine confidence 2016: global insights through a 67-country survey. EBioMedicine. 2016;12:295–301. doi: 10.1016/j.ebiom.2016.08.042
- Borga LG, Clark AE, D’Ambrosio C, Lepinteur A. Characteristics associated with COVID-19 vaccine hesitancy. Sci Rep. 2022;12(1):12435. doi: 10.1038/s41598-022-16572-x
- Sorokin MY, Kasyanov ED, Rukavishnikov GV, et al. Behavioral and emotional reactions of the russian population to the beginning of the COVID-19 pandemic: an on-line survey results. Psychiatr Danub. 2021:33(3):386–392. doi: 10.24869/psyd.2021.386
- Vasileva AV, Karavaeva TA, Radionov DS, et al. Concerns and challenges related to Sputnik V vaccination against the novel COVID-19 infection in the Russian Federation: the role of mental health, and personal and social issues as targets for future psychosocial interventions. Front Psychiatry. 2022;13:835323. doi: 10.3389/fpsyt.2022.835323
- Baltar F, Brunet I. Social research 2.0: virtual snowball sampling method using Facebook. Internet Research. 2012;22(1):57–74. doi: 10.1108/10662241211199960
- Zalyaev AR, Mukharyamova LM, Shammazova EYu. COVID-19 vaccination in the context of public trust. Sotsial'naya politika i sotsiologiya. 2020;19(4):127–135. (In Russ). doi: 10.17922/2071-3665-2020-19-4-127-135
- Ryazantsev SV, Khramova MN, Smirnov AV. The social demographic aspects of vaccination of population of Russia in the context of COVID-19 pandemic. Problems of Social Hygiene, Public Health and History of Medicine, Russian Journal. 2021;29(5):1047–1056. (In Russ). doi: 10.32687/0869-866X-2021-29-5-1047-1056
- Bogomiagkova ES. The attitude of russians to vaccination against COVID-19: problems and contradictions. Problems of Social Hygiene, Public Health and History of Medicine, Russian Journal. 2021;29(S1):736–742. (In Russ). doi: 10.32687/0869-866X-2021-29-s1-736-742
- Vasileva AV, Karavaeva TA, Radionov DS, Yakovlev AV. The social-demographic characteristics and pandemic COVID-19 individual experience and their impact on vaccination attitude study aimed to determine the psychosocial interventions targets. V.M. Bekhterev Review of Psychiatry and Medical Psychology. 2021;55(2):27–36. (In Russ). doi: 10.31363/2313-7053-2021-55-2-27-36
- Ryaguzova EV. Cognitive aspects of students’ attitudes towards COVID-19 vaccination. Russian Psychological Journal. 2021;18(2):109–121. (In Russ). doi: 10.21702/rpj.2021.2.7
- Malygin VL, Malygin YaV, Iskandirova AS, et al. Multifactorial model of willingness to get vaccinated in medical students during 3rd wave of COVID-19 pandemic. Nevrologiya, Neiropsikhiatriya, Psikhosomatika" (Neurology, Neuropsychiatry, Psychosomatics). 2021;13(6):29–34. (In Russ). doi: 10.14412/2074-2711-2021-6-29-34
- Kalenik EN, Samylina AA. Interrelation between the level of the cognitive component of health behavior among students and refusal of COVID-19 vaccination. Simbirsk Scientific Journal Vestnik. 2021;44(2):31–37. (In Russ).
- Hutsich EA, Sychyk SI, Itpayeva-Liudchik SL. Adherence to vaccination and perception of COVID-19 risk among populaiton in the Republic of Belarus. Health Risk Analysis. 2021;(3):4–13. (In Russ). doi: 10.21668/health.risk/2021.3.01
- Panov RI, Brynza NS, Gorbunova OP, Allabirdina TsG. Otnoshenie naseleniya k vaktsinatsii protiv COVID-19. Universitetskaya meditsina Urala. 2021;7(2):60–62. (In Russ).
- Sorokin MY, Lutova NB, Mazo GE, et al. Structure of anxiety and stress as factors of COVID-19 vaccine acceptance. V.M. Bekhterev Review of Psychiatry and Medical Psychology. 2021;55(2):52–61. (In Russ). doi: 10.31363/2313-7053-2021-55-2-52-61
- Popova NM, Shumikhina DV, Faezova AA, Sharipova DN. Otnoshenie studentov meditsinskogo vuza k vaktsinatsii ot COVID-19. Modern Science. 2021;(12-2):133–138. (In Russ).
- Khoshchanov EE. Otnoshenie rabotnikov zdravookhraneniya k vaktsinatsii ot koronavirusnoi infektsii SARS-CoV-2 (COVID-19). Shkola Nauki. 2021;(5):53–56. (In Russ). doi: 10.5281/zenodo.4813469
- Orlova NV, Il'enko LI, Davydov DV, et al. Attitude of medical students to vaccination against COVID-19. Medical Alphabet. 2022;(3):29–33. (In Russ). doi: 10.33667/2078-5631-2022-3-29-33
- Matveeva ES, Fedorova AM. Vaccination against COVID-19: the opinion of medical students. Ural Medical Journal. 2022;21(1):42–47. (In Russ). doi: 10.52420/2071-5943-2022-21-1-42-47
- Avitisov PV, Belova DN, Nazyrov RK. Analysis of attitudes to vaccination against COVID-19 in personnel of rescue military formations of the emercom of Russia. Medicо-Biological and Socio-Psychological Problems of Safety in Emergency Situations. 2022;(1):101–108. (In Russ). doi: 10.25016/2541-7487-2022-0-1-101-108
- Klimova VA, Komarova AN, Maltseva SM. The attitude of students aged 18-19 to vaccination from COVID-19. International Journal of Advanced Studies in Education and Sociology. 2022;(2):8–12. (In Russ).
- Kuznetsova EV, Shchur NS. Assessment of medical students’ attitude to vaccination against the novel coronavirus disease COVID-19. Medical Education Today. 2022;(1):18–23. (In Russ).
- Nikolaev EL, Mohareb AAL, Salem OETM, Omar AShA. The specificity of medical students attitudes toward coronavirus infection and vaccination against COVID-19 during the third wave of the pandemic. International Journal of Medicine and Psychology. 2022;5(1):59–62. (In Russ).
- Sorokin MYu, Lutova NB, Mazo GE, et al. Prerequisites of willingness to accept a COVID-19 vaccine among the Russian population. Bulleten medicinskoj nauki. 2021;(4):95–103. (In Russ). doi: 10.31684/25418475-2021-4-95
- Belyakov NA, Khalezova NB, Boeva EV, et al. Social and psychological problems of population vaccination against COVID-19. HIV Infection and Immunosuppressive Disorders. 2021;13(3):7–23. (In Russ). doi: 10.22328/2077-9828-2021-13-3-7-23
- Xiao X, Wong RM. Vaccine hesitancy and perceived behavioral control: a meta-analysis. Vaccine. 2020;38(33):5131–5138. doi: 10.1016/j.vaccine.2020.04.076
- Davis TPJr, Yimam AK, Kalam MA, et al. Behavioural determinants of COVID-19-vaccine acceptance in rural areas of six lower- and middle-income countries. Vaccines (Basel). 2022;10(2):214. doi: 10.3390/vaccines10020214
- Yang L, Ji L, Wang Q, et al. Vaccination intention and behavior of the general public in China: cross-sectional survey and moderated mediation model analysis. JMIR Public Health Surveill. 2022;8(6):e34666. doi: 10.2196/34666
- Khubchandani J, Sharma S, Price JH, et al. COVID-19 vaccination hesitancy in the United States: a rapid national assessment. J Community Health. 2021;46(2):270–277. doi: 10.1007/s10900-020-00958-x
- Franic J. What lies behind substantial differences in COVID-19 vaccination rates between EU Member States? Front Public Health. 2022;10:858265. doi: 10.3389/fpubh.2022.858265
- Solís Arce JS, Warren SS, Meriggi NF, et al. COVID-19 vaccine acceptance and hesitancy in low- and middle-income countries. Nat Med. 2021;27(8):1385–1394. doi: 10.1038/s41591-021-01454-y
- Moola S, Gudi N, Nambiar D, et al. A rapid review of evidence on the determinants of and strategies for COVID-19 vaccine acceptance in low- and middle-income countries. J Glob Health. 2021;11:05027. doi: 10.7189/jogh.11.05027
- Sereda AP, Andrianova MA. Study design guidelines. Traumatology and Orthopedics of Russia. 2019;25(3):165–184. (In Russ). doi: 10.21823/2311-2905-2019-25-3-165-184
- Rasskazova E, Ivanova T. Motivational models of health behavior: the problem of the "gap" between intention and action. Psychology. Journal of Higher School of Economics. 2015;12(1):105–130. (In Russ).
- Kulakova EN, Nastausheva TL, Kondratjeva IV. Scoping review methodology: history, theory and practice. Current Pediatrics (Moscow). 2021;20(3):210–222. (In Russ). doi: 10.15690/vsp.v20i3/2271
Supplementary files
 
				
			 
					 
						 
						 
									
 
  
  
  Email this article
			Email this article 




