Hygienic assessment of aluminum intake in the adult population of Western Siberia
- Authors: Brusentsova A.V.1, Turchaninov D.V.1, Gogadze N.V.2, Zueva V.A.2, Vilms E.A.1
-
Affiliations:
- Omsk State Medical University of the Ministry of Health of the Russian Federation
- Center of Hygiene and Epidemiology in the Omsk region
- Issue: Vol 30, No 9 (2023)
- Pages: 695-706
- Section: ORIGINAL STUDY ARTICLES
- Submitted: 10.03.2023
- Accepted: 11.01.2024
- Published: 23.12.2023
- URL: https://hum-ecol.ru/1728-0869/article/view/321227
- DOI: https://doi.org/10.17816/humeco321227
- ID: 321227
Cite item
Full Text
Abstract
BACKGROUND: In recent decades, research has demonstrated the potential for adverse effects of aluminium on human health. However, there has been a lack of information regarding aluminum intake among different population groups in Western Siberia, thus emphasizing the significance of this study.
AIM: To estimate aluminum intake by food consumption in the adult population of Western Siberia.
MATERIAL AND METHODS: The study was conducted in 2019–2020 in the Omsk region. Dietary aluminum intake was assessed in 421 adult residents (177 men and 244 women) of the region using a food frequency questionnaire. The sample was similar to the general population of the region in terms of gender, age, and place of residence. The aluminum content in 160 food samples was determined earlier.
RESULTS: The median daily intake of aluminum was 4.77 mg/day (3.679; 6.118). No differences in the aluminum intake was observed either by age (р=0.619) or by gender (р=0.334). The main dietary sources of aluminum were beverages (48.5%), vegetables (18.4%), and bakery (11.1%). Among single food products the main sources of aluminium were tea (45.5%), bread (6.7%) and cucumbers (5.3%).
The proportion of aluminum consumed through vegetables tends to increase with age, whereas the opposite trend is observed for confectionery consumption.
CONCLUSION: The dietary consumption of aluminum among the adult population in the Omsk region did not exceed the permissible levels. There were no variations in aluminum intake between men and women across different age groups. The primary source of aluminum in the diet of the Omsk region population is plant-based food.
Keywords
Full Text
ВВЕДЕНИЕ
Длительное время считалось, что алюминий не может оказывать вредное воздействие на здоровье человека. Однако ряд исследований, проведённых во второй половине XX века, опроверг эту точку зрения.
В настоящее время алюминий считают токсичным микроэлементом [1] и относят к веществам 3 класса опасности. В ряде исследований было доказано негативное влияние алюминия на почки [2], нервную [3–5], репродуктивную [3, 4], дыхательную [6–8], костную [5, 9–11], сердечно-сосудистую [12] системы, кровь [13–15]. Есть данные о возможном развитии аллергических дерматитов после контакта с соединениями алюминия [2–5]. Ряд исследований свидетельствует о возможном влиянии алюминия на иммунитет [11, 16].
В организм алюминий может попадать с воздухом, водой, пищевыми продуктами, косметическими средствами (дезодоранты и антиперспиранты, средства для бритья, тональные основы, кремы, косметика для глаз, губ, ногтей и кожи, средства для снятия макияжа, краски для волос и другие продукты для ухода за зубами, полостью рта, кожей), лекарственными препаратами (антациды, фосфатсвязывающие средства и буферные анальгетики, вакцины) [4, 5, 17].
Абсорбция алюминия из воздуха в лёгких наиболее велика (1,5–3%) [4, 5], из воды в желудочно-кишечном тракте — 0,1–0,4% [2, 5, 18], по другим данным — до 0,8% [4], пищевых продуктов — 0,1% [2, 3], по другим данным — 2,0–4,0% [19]. Биодоступность алюминия при контакте с кожей средств личной гигиены составляет всего 0,00052% [4]. Абсорбция алюминия также зависит от ряда других факторов: типа соединения алюминия, рН (повышение рН снижает адсорбцию), растворимости соединений (нерастворимые соединения хуже адсорбируются), присутствия комплексообразующих лигандов (усиливают усвоение путём образования абсорбируемых (обычно водорастворимых) комплексов, например, с лимонной и молочной кислотами, либо снижают его путём образования нерастворимых соединений, например, с фосфатом или растворённым силикатом, конкурирующих ионов, например, железо, магний, кальций) [3–5, 18, 20]. При отсутствии профессионального контакта с алюминием наиболее существенный вклад в суммарную дозу вносят пищевые продукты и вода [4, 18]. Несмотря на то, что биодоступность алюминия из воды выше, значительно большее потребление пищевых продуктов, содержащих алюминий, делает пищу основным источником алюминия (более 95% от общего воздействия) [3, 4, 18, 21]. Растительные пищевые продукты являются основными источниками алюминия. В наибольшем количестве алюминий встречается в хлебобулочных изделиях, овощах, грибах, морепродуктах [2, 5, 18, 22, 23]. Мясо, рыба, молочнокислые изделия, яйца в 50–100 раз беднее по содержанию алюминия, чем овощи, фрукты, ягоды. Значительное содержание алюминия выявлено в листовом и пакетированном чае, травах, какао и какао-продуктах, специях [18, 24, 25]. Содержание алюминия в овощах и фруктах зависит от сорта, места произрастания. Самые высокие концентрации были обнаружены в Испании на Канарских островах, где почва кислая из-за её вулканической природы. [26]
Помимо этого, алюминий содержится в красителях, пищевых добавках (E523, E541, E554, E556 и E559), дрожжах, консервах. Пищевые продукты, в которых используются пищевые добавки, содержащие алюминий, считаются основным источником воздействия алюминия (хлеб и хлебобулочные изделия). Применяемые в настоящее время пищевые добавки также вносят существенный вклад в общее поступление алюминия в организм человека [24].
Использование алюминиевой посуды, фольги, ёмкостей для приготовления и хранения пищевых продуктов также может приводить к росту пищевого поступления алюминия с продуктами питания [3, 5, 14, 27]. Количество алюминия, переходящего из тары/упаковки, зависит от ряда факторов: времени контакта, температуры, рН среды.
В среднем поступление алюминия в организм человека из всех возможных источников составляет от 11 до 136 мг/человека в неделю [5, 18, 24, 25]. Безопасный уровень поступления (TWI) алюминия из всех источников составляет 1 мг/кг массы тела в неделю, условно-переносимый уровень поступления алюминия за неделю (PTWI) — 0–2,0 мг/кг массы тела [18, 24].
До настоящего времени отсутствовала информация о поступлении алюминия с пищевыми продуктами в организм различных групп населения Омской области, данные в целом по Российской Федерации носят ориентировочный характер, что определило актуальность настоящего исследования.
Цель исследования. Гигиеническая оценка пищевого поступления алюминия в организм у взрослого населения региона Западной Сибири.
МАТЕРИАЛ И МЕТОДЫ
Объект исследования: взрослое население Омской области. Исследование проводилось в период 2019–2020 гг.
Дизайн исследования: наблюдательное поперечное исследование.
Для обеспечения получения репрезентативных данных предварительно был произведён расчёт минимально необходимого количества респондентов с помощью приложения StatCalc программы EpiInfo (версия 7) с учётом численности генеральной совокупности взрослого населения Омской области (1 454 300 человек), ожидаемой распространённости недостаточного потребления нутриентов (50,0%), обеспечения 95% надежности исследования, статистической мощности исследования 80%. Минимально необходимое число участников составило 384 человека. С учётом потенциальной выбраковки анкет (принятой на уровне 25%) был составлен план исследования, включавший 480 человек, распределённых по полу, возрасту, месту проживания (г. Омск, сельские муниципальные районы области) пропорционально структуре населения региона. Учитывалась численность каждой возрастной группы генеральной совокупности (18–29 (35,4 %), 30–44 (27,9 %), 45–64 (27,9 %), 65 лет и старше (8,8 %)), соотношение населения по месту проживания (сельское (26,0%), городское (74,0%)), полу (мужчины (42,0 %), женщины (58,0 %)). Критерии включения в исследование: наличие информированного согласия на участие в исследовании, соответствие характеристик потенциального респондента плану исследования (по полу, возрасту, территории и времени проживания (проживание на территории региона не менее 2 лет)).
После исключения неполных и сомнительных данных (n=59; основная причина — респонденты не могли точно вспомнить частоту употребления отдельных пищевых продуктов, затруднялись указать точный средний размер порции, при этом не было технической возможности заменить участника исследования в процессе опроса на другого, соответствующего плану исследования) выборка включала 421 взрослого жителя региона (177 мужчин и 244 женщины) в возрасте от 18 до 83 лет, медиана возраста — 37 (23; 57) лет.
Выборка являлась репрезентативной по отношению к населению Омской области, статистически значимо не отличаясь от такового по соотношению мужчин и женщин (p=0,12) и медиане возраста. В число респондентов вошли 118 человек, проживающих в 18 сельских муниципальных районах (из 32) всех четырёх природно-климатических зон региона.
С учётом необходимости оценки показателей в отдельных возрастно-половых группах их минимальная численность была не менее 39 человек, что соответствует рекомендациям (25–50 человек) [28].
Опрос респондентов проводили методом активного анкетирования (интервью) обученные интервьюеры. Для сбора данных о фактическом питании использован стандартный опросник частоты потребления пищи [29], включающий 67 видов продуктов питания, объединённых в 10 групп. Для уточнения размеров разовой порции использовался альбом размеров порций продуктов и блюд. Анализ потребления нутриентов проводили расчётным методом с использованием оригинальной, официально зарегистрированной базы данных химического состава пищевых продуктов, потребляемых населением Омской области [30]. Для проведения расчётов было необходимо предварительно установить содержание алюминия в 67 видах пищевых продуктов. Это было сделано как по данным специально организованных лабораторных исследований алюминия в пищевых продуктах, так и по сведениям общедоступных баз данных [31, 32].
Определение алюминия было проведено в 160 пробах пищевых продуктов: чай чёрный (раствор), кофе растворимый (раствор), сыр твёрдых сортов, батон белый, хлеб серый, печенье песочное, картофель (жареный), капуста белокочанная (сырая), морковь (варёная), макаронные изделия (отварные), колбаса варёная, пиво (в алюминиевой банке), бананы (без кожуры), консервы из сайры в масле (в жестяной таре), шоколад молочный. Отбирались 10–11 проб каждого вида продукции (по возможности разных производителей и наиболее популярных у покупателей). Исследования были проведены по методике М-02-1702-20 «Методика измерений содержания элементов в пищевых продуктах методом атомно-эмиссионной спектрометрии с индуктивно-связанной плазмой» в аккредитованной лаборатории на атомно-эмиссионном спектрометре с индуктивно-связанной аргоновой плазмой ICPE-9820 фирмы Shimadzu с вакуумируемым спектральным блоком. Для каждой пробы использовали две параллельные навески. Одновременно с пробами готовили холостой раствор, повторяя всю последовательность действий, за исключением взятия навески пробы. Для калибровки по длинам волн не требовались стандартные образцы, она проводилась по используемому аргону.
Процедура пробоподготовки была следующей. Пластиковым шпателем отбирали в термостойкий фторопластовый стакан, предварительно установленный на аналитических весах, и взвешивали 1,00±0,01 г предварительно измельчённой и гомогенизированной пробы, добавляли 8 см3 концентрированной азотной кислоты. Вращательными движениями стакана навеску осторожно смачивали, перемешивали. Выдерживали открытые стаканы в течение 20 минут на воздухе, затем помещали закрытые стаканы вентилируемого типа в микроволновую печь и проводили разложение образцов. После охлаждения до комнатной температуры аккуратно открывали стаканы в вытяжном шкафу, избегая разбрызгивания пробы, проверяли разложение образца. Растворы должны быть бесцветными, с желтоватым или зеленоватым оттенком, в растворах не должен присутствовать осадок или взвесь. После разложения содержимое стаканов количественно переносили в мерные колбы вместимостью 25 см3, промывая стаканы водой для лабораторного анализа. Затем доводили растворы до метки водой и перемешивали.
Измерения велись на трёх длинах волн: 167,081; 394,403; 396,153.
Градуировку прибора проводили перед началом измерений подготовленных проб. Для получения градуировочной характеристики не менее двух раз измеряли интенсивность атомного излучения у каждого градуировочного раствора. После получения градуировочных кривых проводили корректировку фона и разметку полученных профилей.
Дублированные образцы проб пищевых продуктов и холостая проба были подготовлены и проанализированы с добавкой элемента в тех же условиях, что и исходные образцы проб.
Воспроизводимость рассчитывали как разность содержания алюминия в пробе с добавкой и его содержания в чистой пробе, отнесённую к известному содержанию алюминия в пробе с добавкой. Воспроизводимость образцов продуктов и холостой пробы оказалась в пределах 90–110%, что показало допустимость использования такого метода для определения содержания алюминия в пищевых продуктах.
Предел обнаружения (LOD) был рассчитан через измерение холостого образца: образец измеряли 10 раз в условиях воспроизводимости. Предел обнаружения был получен из следующего выражения: LOD=3,29×S, где S — значение стандартного отклонения измерений [33].
Предел количественного определения (LOQ) был рассчитан в соответствии с рекомендациями ИЮПАК (IUPAC — Международный союз теоретической и прикладной химии) как десятикратное стандартное отклонение (для 10 измерений): LOQ =10×S [34].
Полученную информацию обрабатывали с помощью пакета Statistiсa 6. Нормальность распределения признаков проверяли с использованием критерия Шапиро–Уилка. В связи с отсутствием нормального распределения количественных признаков для определения статистической значимости различий в независимых выборках применяли U-критерий Манна–Уитни или H-критерий Краскела–Уоллиса. Различия между выборочными экстенсивными (структурными) показателями оценивали с помощью метода углового преобразования Фишера. Во всех процедурах статистического анализа критический уровень значимости р принимали равным 0,05.
Выражением вида 0,22±0,2% обозначались показатель и стандартная ошибка показателя.
РЕЗУЛЬТАТЫ
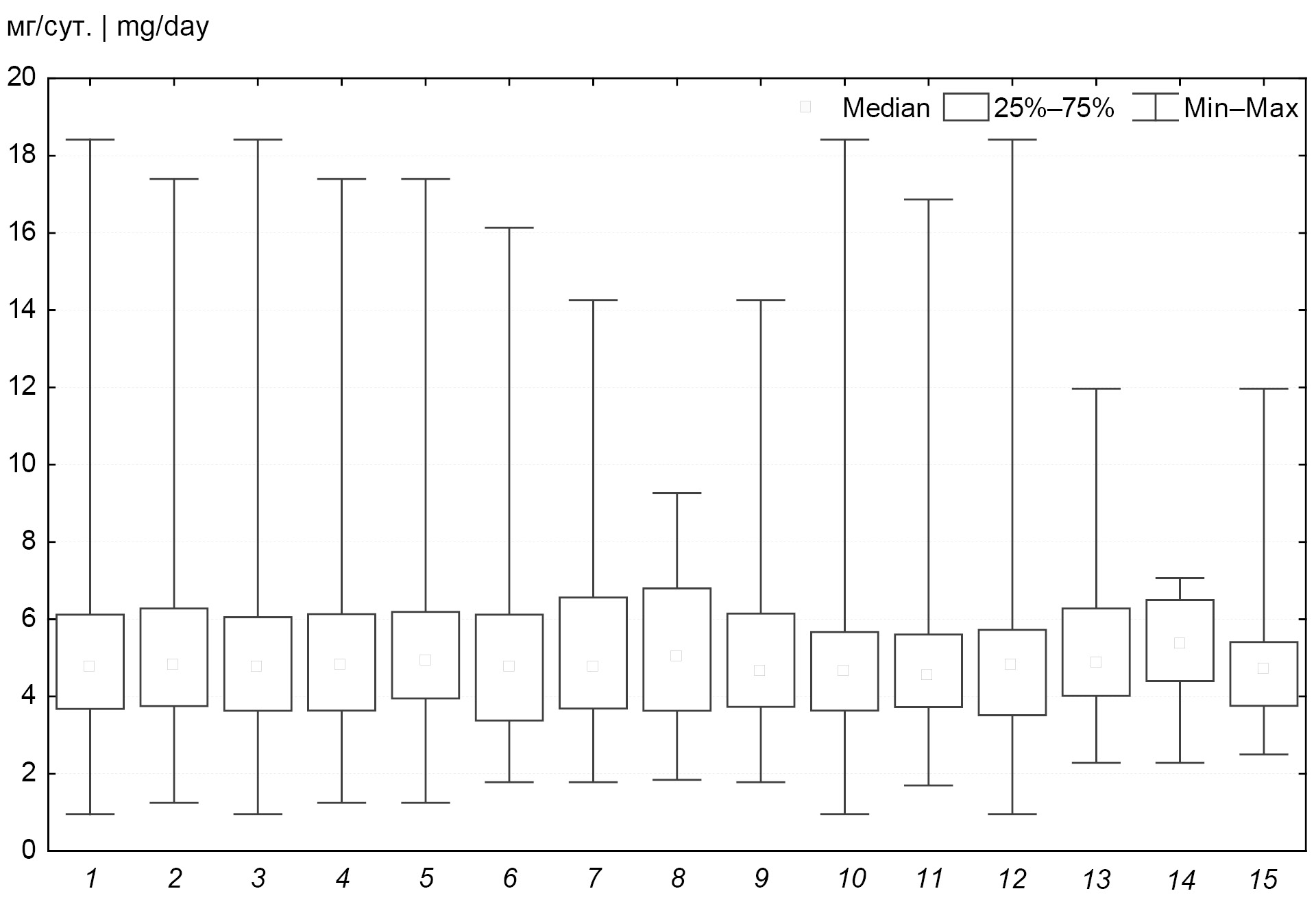
Расчёты, проведённые при оценке нутриентного состава рациона, показали, что медиана суточного пищевого поступления алюминия в организм в репрезентативной выборке взрослого населения Омской области составила 4,77 (3,679; 6,118) мг/сут., что соответствует 33,47 (25,77–42,89) мг/нед. Максимальное значение среднесуточного поступления достигло 18,4 мг/сут., минимальное — 0,96 мг/сут.
Данные о поступлении алюминия с пищевыми продуктами по возрастным группам 18–29 лет, 30–44 года, 45–64 года, 65 лет и более приведены на рис. 1.
Рис. 1. Поступление алюминия с пищевыми продуктами у взрослого населения Омской области (2019–2020 гг.), мг/сут.
1 — всё население; 2 — мужчины; 3 — женщины; 4 — оба пола 18–29 лет; 5 — мужчины 18–29 лет; 6 — женщины 18–29 лет; 7 — оба пола 30–44 года; 8 — мужчины 30–44 года; 9 — женщины 30–44 года; 10 — оба пола 45–64 года; 11 — мужчины 45–64 года; 12 — женщины 45–64 года; 13 — оба пола 65 лет и старше; 14 — оба пола 65 лет и старше; 15 — оба пола 65 лет и старше.
Fig. 1. Dietary aluminum intake in the adult population of the Omsk region (2019–2020) (mg/day).
1 — the entire population; 2 — men; 3 — women; 4 — both sexes 18–29 years old; 5 — men 18–29 years old; 6 — women 18–29 years old; 7 — both sexes 30–44 years old; 8 — men 30–44 years old; 9 — women 30–44 years old; 10 — both sexes 45–64 years old; 11 — men 45–64 years old; 12 — women 45–64 years old; 13 — both sexes 65 years and older; 14 — both sexes 65 years and older; 15 — both sexes 65 years of age and older.
Значимых различий в поступлении алюминия среди мужского и женского населения выявлено не было как в целом (р=0,334), так и в отдельных возрастных группах.
Также не было отмечено существенных различий в среднесуточном поступлении количества алюминия в изучаемых возрастных группах. Однако при оценке поступления алюминия в организм на основании величины «доза поступления» (мг/кг в неделю) определена следующая закономерность: в более молодых возрастных группах (18–29 лет и 30–44 года) доза поступления выше, чем у старших возрастных групп (45–64 года, 65 лет и старше), что обусловлено более высокой массой тела старших возрастных групп (табл. 1).
Таблица 1. Поступление алюминия с продуктами питания и показатели массы тела в различных возрастных группах (взрослое население Омской области, 2019–2020 гг.)
Table 1. Dietary intake of aluminum and body weight indicators across age groups in the adult population of the Omsk region, 2019–2020
Показатели Indicators | 18–29 лет 18–29 years | 30–44 года 30–44 years | 45–64 года 45–64 years | 65 лет и старше 65 years and older | p (H-критерий) p (H-test) |
Al, мг/сут. | Al, mg/day | 4,8 | 4,8 | 4,7 | 4,8 | 0,619 |
Al, мг/кг в неделю | Al, mg/kg per week | 0,5* | 0,49** | 0,43*, ** | 0,45 | 0,025 |
Индекс массы тела, кг/м2 Body mass index, kg/m2 | 0,79х, хх | 0,79 z, zz | 0,83х, ххх, z | 0,86хх, ххх, zz | <0,001 |
Масса тела, кг | Body weight, kg | 68V, VV | 68о, оо | 74V, о, ооо | 80VV, оо, ооо | <0,001 |
Примечание: статистически значимые различия: * — p (U-критерий)=0,025; ** — p (U-критерий)=0,006; х, хх, zz, V, VV, оо — p (U-критерий) <0,001; z — p (U-критерий)=0,002; о — p (U-критерий)=0,001; ooo — p (U-критерий)=0,014.
Note: statistically significant differences * — p (U-test)=0.025; ** — p (U-test)=0.006; x, xx, zz, V, VV, oo — p (U-test) <0.001; z — p (U-test)=0.002; o — p (U-test)=0.001; ooo — p (U-test)=0.014.
Существенный практический интерес представляют приоритетные группы продуктов — источники «пищевого» алюминия. Медианное поступление и относительный вклад по группам продуктов приведены в табл. 2.
Таблица 2. Поступление алюминия с основными группами пищевых продуктов (взрослое население Омской области, 2019–2020 гг.), мг/сут., %
Table 2. Aluminum intake with the main food groups in the adult population of the Omsk region, 2019–2020 (mg/day, %)
Группы продуктов Of the product group | Медиана поступления (Р25, Р75), мг/сут. Median income (P25, P75), mg/day | Вклад основных групп продуктов, % Contribution of the main product groups, % |
Напитки | Drinks | 1,827 (1,407; 3,300) | 48,5 |
Овощи | Vegetables | 0,768 (0,476; 1,235) | 18,4 |
Хлебобулочные изделия | Bakery products | 0,463 (0,204; 0,723) | 11,1 |
Фрукты | Fruits | 0,227 (0,109; 0,443) | 6,9 |
Мясо и мясопродукты | Meat and meat products | 0,186 (0,113; 0,319) | 4,9 |
Кондитерские изделия | Confectionery products | 0,117 (0,035; 0,270) | 3,9 |
Молоко и молочные продукты | Milk and dairy products | 0,136 (0,066; 0,228) | 3,2 |
Каши, макароны | Porridge, pasta | 0,119 (0,064; 0,206) | 2,9 |
Рыба и морепродукты | Fish and seafood | 0,005 (0,002; 0,011) | 0,2 |
Масла, жиры | Oils, fats | 0,000 (0,000; 0,000) | 0,0 |
Всего | Total | 4,773 (3,679; 6,118) | 100,0 |
Основной вклад в поступление алюминия с пищевыми продуктами внесли следующие группы продуктов: «Напитки» — 48,5%, «Овощи» — 18,4%, «Хлебобулочные изделия» — 11,1%.
Структура основных «пищевых» источников поступления алюминия в различных возрастно-половых группах представлена в табл. 3.
Таблица 3. Структура основных «пищевых» источников поступления алюминия в различных возрастных/половых группах, (взрослое население Омской области, 2019–2020 гг.), %
Table 3. The structure of the main dietary sources of aluminum by age-groups and gender, in the adult population of the Omsk region, 2019–2020 (%)
Группы продуктов Product group | Возраст, годы | Age, years | Пол | Gender | ||||||
18–29 | 30–44 | 45–64 | >65 | Мужчины Men | Женщины Women | P**** | p*** | |
Напитки | Drinks | 44,2 | 52,2 | 47,4 | 47 | 0,870 | 44,9 | 49,7 | 0,026 |
Овощи | Vegetables | 19,5*, z | 17,9 | 21* | 22,6 z | 0,037 | 16,5 | 20,8 | 0,004 |
Хлебобулочные изделия Bakery products | 11,9 | 10,5 | 12,4 | 13,2 | 0,293 | 14,5 | 8,8 | <0,001 |
Фрукты | Fruits | 6,5 | 5,8 | 5,7 | 4,0 | 0,206 | 6,9 | 6,9 | 0,591 |
Мясо и мясопродукты Meat and meat products | 5,7 | 4,5 | 4,7 | 4,1 | 0,693 | 6,7 | 4,4 | <0,001 |
Каши, макароны Porridge, pasta | 3,7о | 2,6v | 2,8yy | 4,7о, v, yy | 0,006 | 3,3 | 2,5 | 0,058 |
Кондитерские изделия Confectionery products | 5,3**, vv | 2,9zz | 2,3**,vv,b | 1,0zz, b | <0,001 | 4,1 | 3,4 | 0,136 |
Молоко и молочные продукты Milk and dairy products | 3,1 | 3,4 | 3,5 | 3,4 | 0,359 | 2,9 | 3,3 | 0,569 |
Рыба и морепродукты Fish and seafood | 0,1 | 0,1 | 0,2 | 0,1 | 0,056 | 0,2 | 0,2 | 0,231 |
Масла, жиры | Oils, fats | 0,0 | 0,0 | 0,0 | 0,0 | – | 0,0 | 0,0 | – |
Всего | Total | 100,0 | 100,0 | 100,0 | 100,0 | – | 100,0 | 100,0 | – |
Примечание: статистическая значимость различий: *** — по H-критерию Краскела–Уоллиса, **** — по U-критерию Манна–Уитни; статистически значимые различия: *, ** — p (U-критерий)=0,019, vv, v, zz, b — p (U-критерий) <0,001, о — p (U-критерий)=0,029, z — p (U-критерий)=0,016, yy — p (U-критерий)=0,005.
Note: the statistical significance of the differences: *** — by the Kruskal–Wallis H-criterion, **** — by the Mann–Whitney U-criterion; statistically significant differences: *, ** — p (U-test)=0.019, vv, v, zz, b — p (U-test) <0.001, о — p (U-test)=0.029, z — p (U-test)=0.016, yy — p (U-test)=0.005.
Хотя общий уровень поступления в различных возрастно-половых группах был сопоставим, структура поступления алюминия за счёт различных групп продуктов несколько отличалась. Так, у мужчин хлебобулочные и мясные продукты вносили больший вклад в общее поступление алюминия, чем у женщин (p <0,001, p <0,001, соответственно). У женщин вклад групп напитков и овощей был больше, чем у мужчин (p=0,026, p=0,004, соответственно). Был отмечен рост вклада группы овощей и снижение вклада группы кондитерских изделий в поступление алюминия с увеличением возраста населения (p=0,037 и p <0,001, соответственно). Вклад группы каш и макаронных изделий был больше в возрастных группах 18–29 лет и 65 лет и старше по сравнению со средними возрастными группами (p=0,006).
Установлена прямая, средней силы корреляционная связь величины «пищевого» поступления алюминия с количеством потребляемой соли пищевой (rs=+0,33; p <0,001) и количеством потребляемых населением овощей и фруктов (rs=+0,32; p <0,001).
Среди отдельных пищевых продуктов основным источником алюминия был чай (45,5%), вторым по значимости — хлеб (6,7%), третьим — огурцы свежие (5,3%), остальные продукты оценивались величиной менее 3% (рис. 2).
Рис. 2. Вклад отдельных пищевых продуктов в поступление алюминия в организм человека с пищевыми продуктами (взрослое население Омской области, 2019–2020 гг.), %.
Fig. 2. Contribution of individual food products to the total dietary intake of aluminum in the adult population of the Omsk region, 2019–2020 (%).
ОБСУЖДЕНИЕ
Медиана поступления «пищевого» алюминия у взрослого населения Омской области (4,77 мг/сут., или 33,6 мг/неделю, или 0,48 мг/кг в неделю) не превышала TWI, а также PTWI и была на уровне поступления алюминия в организм человека в других странах [3, 5, 24, 25, 35]. Так, во Франции среднее поступление алюминия с пищей составляло 11 мг/неделю, Нидерландах — 21,7 мг/неделю, Японии — 31,5 мг/неделю, США — 56–63 мг/неделю (мужчины), 49 мг/неделю (женщины), Швеции — 91 мг/неделю (женщины), Гонконге — 36 мг/неделю, Бельгии — 0,25 мг/кг в неделю, Норвегии — 0,29 мг/кг в неделю, Германии — 0,18–0,29 мг/кг в неделю [1, 3].
Тем не менее у 0,48±0,34% взрослого населения Омской области было отмечено превышение условно-переносимого уровня поступления «пищевого» алюминия за неделю (PTWI=0–2,0 мг/кг массы тела, JECFA), и у 4,3±0,99% — превышение допустимой недельной дозы (TWI=1 мг/кг массы тела, EFSA).
Основным продуктом, являющимся источником алюминия в продуктах для взрослого населения Омской области, был чай (45,5%). Лидирующее место данного источника может быть объяснено существенным содержанием алюминия в чае [11, 21, 25, 35, 36], а также значительным потреблением этого напитка в России (входит в число стран-лидеров по потреблению чая [37]).
Установленная корреляционная связь величины пищевого поступления алюминия и количества потребляемых овощей и фруктов может быть объяснена значимым содержанием алюминия в продуктах растениеводства. Корреляция величин пищевого поступления алюминия и соли пищевой требует пристального внимания и дополнительного изучения с точки зрения содержания алюминия в пищевой соли и продуктах, богатых ею (консервы, переработанное мясо и другие). Это особенно важно в контексте того, что пищевые добавки, содержащие алюминий (E554, E555, Е556, E558, E559), разрешены к применению в качестве средств, препятствующих слеживанию и комкованию. Они используются в технологических целях в процессе производства сухих порошкообразных продуктов, включая сахар, пищевую соль и её заменители, пряности, а также при производстве продуктов, плотно обёрнутых фольгой, в продуктах в форме таблеток, в биологически активных добавках к пище, в сахаристых кондитерских изделиях, в качестве осветляющего, фильтрующего материала, флокулянта и сорбента в сусле, соко- и виноматериалах. На момент подготовки настоящей рукописи было принято (но не вступило в силу) Решение Совета Евразийской экономической комиссии от 29.08.2023 № 84, которое внесло изменения в технический регламент Таможенного союза «Требования безопасности пищевых добавок, ароматизаторов и технологических вспомогательных средств» (ТР ТС 029/2012), исключив из числа разрешённых к применению пищевые добавки Е555, Е556, Е558, Е559.
ЗАКЛЮЧЕНИЕ
Уровни поступления алюминия с пищевыми продуктами у большей части взрослого населения Омской области не превышали допустимых. Различий поступления с пищевыми продуктами алюминия между мужчинами и женщинами в различных возрастных группах выявлено не было. Основным источником «пищевого» алюминия у населения Омской области были пищевые продукты растительного происхождения.
В целом, в ближайшее время представляется актуальным проведение расширенных исследований по изучению фонового содержания алюминия в пищевых продуктах с целью установления пищевых продуктов с высоким содержанием алюминия и разработки технологических приёмов снижения его содержания в конечной продукции.
ДОПОЛНИТЕЛЬНАЯ ИНФОРМАЦИЯ
Вклад авторов. А.В. Брусенцова — анализ и интерпретация данных, подготовка первого варианта статьи; Д.В. Турчанинов — концепция и дизайн исследования, интерпретация данных, подготовка окончательного варианта статьи; Н.В. Гогадзе — получение и анализ данных, подготовка первого варианта статьи; В.А. Зуева — получение и анализ данных, подготовка первого варианта статьи; Е.А. Вильмс — анализ и интерпретация данных, подготовка окончательного варианта статьи. Все авторы внесли существенный вклад в планирование и проведение исследования, анализ и интерпретацию результатов, подготовку рукописи и публикацию статьи.
Конфликт интересов. Авторы декларируют отсутствие конфликтов интересов.
Источник финансирования. Анализ материалов исследования и подготовка рукописи статьи осуществлены в рамках выполнения Государственного задания Министерства здравоохранения Российской Федерации № 056-00044-23-00, проект «Разработка риск-ориентированных технологий многоуровневой профилактики алиментарно-зависимых социально-значимых болезней».
ADDITIONAL INFORMATION
Authors’ contribution. A.V. Brusentsova analyzed the data and wrote the first draft of the article; D.V. Turchaninov contributed to the concept and design of the study, interpretation of the data and preparation of the final version of the article; N.V. Gogadze participated in data collection, data analysis and drafting the first version of the article; V.A. Zueva participated in data collection, data analysis and drafting the first version of the article; E.A. Vilms contributed to the interpretation of the data and preparation of the final version of the article. All authors made significant contributions to the planning and execution of the study, analysis and interpretation of the results, preparation of the manuscript and the subsequent publication of the article.
Competing interests. The authors declare no conflicts of interest.
Funding sources. Analysis of the research materials and preparation of the manuscript were carried out within the framework of the State Assignment from the Ministry of Health of the Russian Federation No. 056-00044-23-00 «Development of risk-based technologies for multi-level prevention of nutrition-dependent socially significant diseases».
About the authors
Anna V. Brusentsova
Omsk State Medical University of the Ministry of Health of the Russian Federation
Author for correspondence.
Email: anna4855@mail.ru
ORCID iD: 0000-0002-8796-7526
SPIN-code: 4044-2792
Scopus Author ID: 55531316400
MD, Cand. Sci. (Medicine), associate professor
Russian Federation, OmskDenis V. Turchaninov
Omsk State Medical University of the Ministry of Health of the Russian Federation
Email: omskgsen@yandex.ru
ORCID iD: 0000-0002-6298-4872
SPIN-code: 7918-8431
Scopus Author ID: 15052616900
ResearcherId: V-7732-2017
MD, Dr. Sci. (Medicine), professor
Russian Federation, OmskNatela V. Gogadze
Center of Hygiene and Epidemiology in the Omsk region
Email: natella@nextmail.ru
ORCID iD: 0000-0002-7088-4951
SPIN-code: 3713-8247
MD, Dr. Sci. (Medicine), professor
Russian Federation, OmskValeriya A. Zueva
Center of Hygiene and Epidemiology in the Omsk region
Email: Zueva_904@mail.ru
ORCID iD: 0000-0001-5740-0820
Russian Federation, Omsk
Elena A. Vilms
Omsk State Medical University of the Ministry of Health of the Russian Federation
Email: wilms26@yandex.ru
ORCID iD: 0000-0002-0263-044X
SPIN-code: 7663-3913
Scopus Author ID: 56677865700
MD, Cand. Sci. (Medicine), associate professor
Russian Federation, OmskReferences
- Skal’nyj AV, Rudakov IA. Bioelementy v medicine. Moscow: Publishing house "ONYX 21st century": Mir; 2004. 272 p. (In Russ).
- BagryantsevaОV, Shatrov GN, Khotimchenko SА, et al. Aluminium: food-related health risk assessment of the consumers. Health Risk Analysis. 2016;1:59–68. doi: 10.21668/health.risk/2016.1.07
- Centre for Food Safety Food and Environmental Hygiene Department. The Government of the Hong Kong Special Administrative Region. Aluminium in food. Risk Assessment. Studies Report No. 35. Chemical Hazard Evaluation. 2009. 45 p.
- Affourtit F, Bakker MI, Pronk MEJ. National Institute for Public Health and the Environment, RIVM. Human health risk assessment of aluminium RIVM report 2020-0001. doi: 10.21945/RIVM-2020-0001
- Krewski D, Yokel RA, Nieboer E, et al. Human health risk assessment for aluminum, aluminum oxide, and aluminum hydroxide. Journal of Toxicology and Environmental Health: Part B, Critical Reviews. 2007;10 Suppl. 1:1–269. doi: 10.1080/10937400701597766
- Zhenihov NA, Dianova DG. Metally v okruzhayushchej prirodnoj srede i ih vliyanie na zdorov’e cheloveka. Aktualnye problemy gumanitarnyh i estestvennyh nauk. 2017;(1–4):72–74. (In Russ). EDN: XQOBYB
- Forbes WF, Gentleman JF. Risk factors, causality, and policy initiatives: the case of aluminum and mental impairment —unresolved problems. Experimental Gerontology. 1998;33(1–2):141–154. doi: 10.1016/s0531-5565(97)00061-2
- Bobun II, Ivanov SI, Unguryanu TN, et al. Regional standardization of water chemical substances in case of the Arkhangelsk region. Hygiene & sanitation. 2011;(3):91–95. EDN: NWGPML
- Robinson RF, Griffith JRK, Nahata MC, et al. Infant aluminum related bone disease (ARBD) after chronic antacid administration. Journal of Toxicology: Clinical Toxicology. 2002;40(5):604–605.
- Martynova MO, Kozyrev KM, Albegova ZhK. To the question of the modern concepts influence of aluminum on the living organisms. Modern problems of science and education. 2014;(2):302. Available from: https://science-education.ru/ru/article/view?id=12441
- Shugalei IV, Garabadzhiu AV, Ilyushin MA, Sudarikov AM. Some aspects of the influence of aluminum and its compounds on living organisms. Journal of ecological chemistry. 2012;21(3):168–172. EDN: STGSYT
- Dolgikh ОV, Alikina IN, Shabaldin AV. The effects of aluminum exposure on immune status in children with functional cardiovascular system disorders. Complex Issues of Cardiovascular Diseases. 2019;8(3):29–35. doi: 10.17802/2306-1278-2019-8-3-29-35
- Hernández G, Bollini A, Huarte M, et al. In vitro effect of aluminium upon erythrocyte membrane properties. Clinical Hemorheology and Microcirculation. 2008;40(3):191–205.
- Skorobogatova AS, Luk’yanenko LM, Slobozhanina EI. Izmenenie aktivnosti antioksidantnyh fermentov v eritrocitah cheloveka pri vozdejstvii subgemoliticheskih koncentracij hlorida alyuminiya. X International Conference “Mediko-social’naya ekologiya lichnosti: sostoyanie i perspektivy”; 2012 6–7 April; Minsk. P. 216–218 (In Russ).
- Mahieu S, Carmen CM, Gonzalez M, et al. Aluminum toxicity. Hematological effects. Toxicology Letters. 2000;111(3):235–242. doi: 10.1016/s0378-4274(99)00184-8
- Yang X, Xu F, Zhuang C, et al. Biol Trace effects of corticosterone on immune functions of cultured rat splenic lymphocytes exposed to aluminum trichloride. Biological Trace Element Research. 2016;173(2):399–404. doi: 10.1007/s12011-016-0678-3
- Belousov YuB, Gurevich, KG. Potencial’naya toksichnost’ alyuminijsoderzhashchih preparatov. Farmateka. 2005;(12):75–78. (In Russ).
- European Food Safety Authority. Scientific Opinion of the Panel on Food Additives, Flavourings, Processing Aids and Food Contact Materials on a request from European commission on Safety of aluminium from dietary intake. The EFSA Journal. 2008;6(7):1–34. doi: 10.2903/j.efsa.2008.754
- Oberlis D, Harland B, Skal’nyj A. Biologicheskaya rol’ makro- i mikroelementov u cheloveka i zhivotnyh. Saint Petersburg: Nauka; 2008. 544 p. (In Russ).
- World Health Organization. Aluminium in Drinking-water: Background document for development of WHO Guidelines for Drinking-water Quality. Guidelines for drinking-water quality, 2nd ed. Addendum to Vol. 2. Health criteria and other supporting information. World Health Organization. Geneva; 1998. 15 p.
- Cuciureanu R, Urzică A, Voitcu M, Antoniu A. Estimareaaportuluizilnic de aluminiuprinconsum de alimente [Assessment of daily aluminum intake by food consumption]. The Revista Medico-Chirurgicală of the “Society of Physicians and Naturalists” Iasi. 2000;104(3):107–112. (In Romanian).
- Pennington JA. Aluminium content of foods and diets. Food Additives & Contaminants. 1988;5(2):161–232. doi: 10.1080/02652038809373696
- Choi JY, Habte G, Khan N, et al. Determination of toxic heavy metals in Echinodermata and Chordata species from South Korea. Food Additives and Contaminants: Part B Surveillance. 2014;7(4):295–301. doi: 10.1080/19393210.2014.932311
- Khotimchenko SA, Bessonov VV, Bagryanceva OV, Gmoshinsky IV. Safety of food products: new problems and ways of solution. Occupational health and human ecology. 2015;4:7–14. EDN: UWALFB
- Stahl T, Taschan H, Brunn H. Aluminium content of selected foods and food products. Environmental Sciences Europe. 2011;(37). doi: 10.1186/2190-4715-23-37
- González-Weller D, Gutiérrez AJ, Rubio C, et al. Dietary intake of aluminum in a Spanish population (Canary Islands). Journal of Agricultural and Food Chemistry. 2010;58(19):10452–10457. doi: 10.1021/jf102779t
- Alabi OA, Apata SA, Adeoluwa YM, Sorungbe AA. Effect of the duration of use of aluminum cookware on its metal leachability and cytogenotoxicity in Allium cepa assay. Protoplasma. 2020;257(6):1607–1613. doi: 10.1007/s00709-020-01536-7
- Tutelyan VA, Nikityuk DB, editors. Nutriciologiya i klinicheskaya dietologiya. Nacional’noe rukovodstvo. Moscow: GEOTAR-Media; 2022. 1008 p. (In Russ).
- Martinchik AN, Baturin AK, Baeva BC. Izuchenie fakticheskogo pitaniya s pomoshch’yu analiza chastoty potrebleniya pishchi: sozdanie voprosnika i ocenka dostovernosti metoda. Profilaktika zabolevanij i ukreplenie zdorov’ya. 1998;(5):14–19. (In Russ).
- Regional’nye tablitsy khimicheskogo sostava produktov pitaniya, ispol’zuemykh naseleniem Omskoy oblasti. Svidetel’stvo o gosudarstvennoy registratsii bazy dannykh No 2014621096 Rossiyskaya Federatsiya / Turchaninov DV et al.; zayavitel’ FGBOU VO «Omskiy gosudarstvennyy meditsinskiy universitet» Ministerstva zdravookhraneniya Rossiyskoy Federatsii. Opubl. 05.08.2014. (In Russ).
- Skurikhin IM, Volgarev MN, editors. Himicheskij sostav pishchevyh produktov. Kn. II: Spravochnye tablicy soderzhaniya aminokislot, zhirnyh kislot, vitaminov, mikro- i makroelementov, organicheskih kislot i uglevodov. Мoscow: Agropromizdat; 1987. 360 p. (In Russ).
- fdc.nal.usda.gov [Internet]. U.S. Department of Agriculture (Agricultural Research Service) [cited: 2022 Dec 28]. Available from: www.fdc.nal.usda.gov/index.html
- Gazulla MF, Rodrigo M, Orduña M, et al. High precision measurement of silicon in naphthas by ICP-OES using isooctane as diluent. Talanta. 2017;164:563–569. doi: 10.1016/j.talanta.2016.12.023
- Currie LA. Nomenclature in evaluation of analytical methods including detection and quantification capabilities (IUPAC Recommendations 1995). Pure and Applied Chemistry. 1995;67(10):1699–1723. doi: 10.1351/pac199567101699
- Flaten TP. Aluminium in tea – concentrations, speciation and bioavailability. Coordination Chemistry Reviews. 2002;228(2):385–395. doi: 10.1016/S0010-8545(02)00036-X
- Karak T, Bhagat RM. Trace elements in tea leaves, made tea and tea infusion: A review. Food Research International. 2010;43(9):2234–2252. doi: 10.1016/j.foodres.2010.08.010
- Annual per capita tea consumption worldwide as of 2016, by leading countries [Internet]. Statica [cited: 2022 Dec 28]. Available from: https://www.statista.com/statistics/507950/global-per-capita-tea-consumption-by-country/
Supplementary files





