Evaluation of Influence of Metal Nanoparticles аnd Their Oxides on Elemental Composition of Organs in Laboratory Animals аnd Their Bioaccumulative Potential
- Authors: Obidina I.V.1, Churilov G.I.1, Ivanycheva Y.N.1, Pronina E.M.1, Matua T.I.1, Chernykh I.V.1
-
Affiliations:
- Ryazan State Medical University
- Issue: Vol 32, No 5 (2025)
- Pages: 334-343
- Section: ORIGINAL STUDY ARTICLES
- Submitted: 02.12.2024
- Accepted: 30.06.2025
- Published: 20.08.2025
- URL: https://hum-ecol.ru/1728-0869/article/view/642454
- DOI: https://doi.org/10.17816/humeco642454
- EDN: https://elibrary.ru/AUCQNQ
- ID: 642454
Cite item
Abstract
BACKGROUND: Active development of nanotechnology and the use of research in many industries, including agriculture and medicine, require a comprehensive study of the influence of ultra dispersed substances on humans and animals. Today, we have limited evidence of the influence of nanoparticles on the microelement levels in organs and tissues. However, given the growing production and release of nanoparticles into the environment in processes, it is required to consider both the direct and indirect effects of particles of various chemical origin.
AIM: To evaluate the influence of copper, cobalt, and copper oxide nanoparticles on behavior and microelement levels in the liver, kidneys, and reproductive system in laboratory animals and to study their bioaccumulative potential upon intragastric administration.
METHODS: The experiment was conducted on male ICR mice divided into four variable groups of 6 subjects each, who were administered distilled water (control group) or 0.02 mg/kg suspensions of copper, cobalt, and copper oxide nanoparticles intragastrically for 20 days, once a day. We assessed the changes in body weight and anxiety in animals (the number of upright postures with and without support and the number of short-term grooming). At the end of the experiment, the animals were euthanized to sample the liver, kidneys, and reproductive organs and to determine the microelement levels using energy dispersive X-ray fluorescence.
RESULTS: After administration of all tested nanoparticles, the animals showed signs of anxiety, including an increased number of upright postures with support (the cobalt nanoparticle group) and a decreased number of upright postures without support accompanied by increased number of grooming acts (the copper and copper oxide nanoparticle groups). Animals of the same groups (copper and copper oxide) showed a decrease in body weight compared to the control group. An analysis of the microelement level in the liver, kidneys, and reproductive system revealed ambiguous changes in potassium, calcium, and sulfur levels and increased oxygen content in the testes and appendages. We detected no signs of bioaccumulation of copper, copper oxide, and cobalt nanoparticles in the studied organs. Thus, nanoparticles have indirect toxicity, which is manifested by changes in the microelement levels in organs and is characterized by the rapid elimination of nanoparticles.
CONCLUSION: Copper, cobalt, and copper oxide nanoparticles have a multidirectional indirect effect on the physiology and behavior of animals realized by changes in the microelement levels in their organs. We detected no accumulation of copper, cobalt, or copper oxide nanoparticles in the studied organs.
Full Text
BACKGROUND
Nanoparticles (NPs) of various chemical origin are both produced in industrial processes and formed naturally [1]. A variety of substances, including those in nanodispersed substances, enter the human body from the environment. In addition to biological activity, promotion of growth and development, protection against diseases, and delivery of medicines to cells, NPs produced in certain processes and manufactured for medical and agricultural applications pose risks to plant and animal organisms as they can cause oxidative stress and cell dysfunction [2, 3].
Ultra dispersed metals and their oxides have fundamentally different properties compared to the same substances in a macrostate or in the form of ions [4]. NPs are capable of overcoming biological barriers; therefore, they are used in medicine for treatment and diagnostic purposes [5]. However, some studies revealed their ability to cause oxidative stress and disrupt microelemental balance, as well as their cytotoxic effect [6]. Nevertheless, there are reports of rapid elimination of NPs without significant bioaccumulation and pronounced toxic effects [7].
The dialectic of this issue requires a comprehensive study of the toxicological safety of NPs affecting humans, animals, and plants [8, 9]. Industries dealing with nanomaterials should have a realistic understanding of toxicologic risks of a well-known material in a new, ultra dispersed form [10]. Both in vitro and in vivo studies are needed to verify an acceptable risk profile.
In a series of previous experiments, it was shown that cobalt, copper, iron NPs; and copper, cobalt, and zinc oxides NPs promote plant growth [11]. The studies demonstrated the manifestation of a low-dose mechanism and the relationship between the toxicity or promoting effect and the particle size and concentrations [12]. In most cases, NPs of 35–80 nm in size promoted germination and germinative power and activated inorganic nutrition, which was confirmed by changes in the microelement levels in plants. It was found that NPs of 35–60 nm in size could influence the transmembrane potential of cells and activated enzymes and plant hormones by changing the pH of solutions used for dipping before planting [13]. By activating enzyme synthesis, such particles promoted carbohydrate and nitrogen metabolism, but their bioaccumulation in plants was not recorded. Still, ultra dispersed metal oxides often suppressed plant growth, inhibited their development, and showed a bioaccumulative trend [12].
As such, NPs are used to treat plants, it is highly probable that they enter the body of animals, necessitating an evaluation of their effect on organs and metabolism. Our previous studies on rats and mice investigated the acute and chronic toxicity of copper and cobalt NPs, and copper and zinc oxides NPs. They showed that the optimum dose was 0.02 mg/kg as it did not cause pronounced signs of metabolic and morphologic toxicity in intragastric administration [14, 15].
The liver, kidneys, and reproductive system are generally considered as target organs when studying the toxicity of new compounds due to their key role in detoxification, filtration, and reproduction [16, 17]. In addition, nanodispersed metals both cause a cascade response themselves and may have an indirect effect by changing the elemental composition of organs and tissues; there is insufficient data on such studies in the literature [18].
AIM: To study the influence of copper, cobalt, and copper oxide NPs on the behavior of laboratory animals; changes in body weight; microelement levels in the liver, kidneys, and reproductive system in chronic intragastric administration and to evaluate the bioaccumulative potential of NPs.
METHODS
The study used copper and cobalt NPs of 20–50 nm in size, and copper oxide NPs of 40–60 nm in size. All nanomaterials were synthesized at the National University of Science and Technology MISIS using the electroless metallization of the corresponding hydroxides in a hydrogen stream. The particle surface area was determined by BET adsorption using a Quantachrome NOVA 1200e analyzer (Japan). X-ray phase analysis using a Shimadzu XRD-7000 diffractometer (Japan) was used to verify the ball shape of the particles.
Six weeks old male ICR laboratory mice (n = 24) weighing 18–22 g (Federal State Budgetary Scientific Institution Scientific Center for Biomedical Technologies of the Federal Medical and Biological Agency, Moscow Region) were used as subjects. The animals were kept under standard vivarium conditions (temperature: 22 ± 2 °C, relative humidity: 50–60%; light conditions: 12/12 hrs) with access to water and food ad libitum.
The experiment was conducted in the vivarium of the Federal State Budgetary Educational Institution of Higher Education Ryazan State Medical University of the Ministry of Health of the Russian Federation in accordance with international regulations (Directive 86/609/EEC) and good laboratory practice (Order No. 199n of the Ministry of Health of the Russian Federation dated April 1, 2016). The study protocol was reviewed and approved by the meeting of the Commission for Control over Laboratory Animal Care and Use (No. 22 dated January 23, 2020). During the experimental period, the mice received complete granulated feed with balanced elemental, energy, vitamin, and mineral content manufactured under GOST R 50258-92.
Mice were randomized into four groups of six subjects. Animals in group 1 (control group) received distilled water intragastrically; group 2 received suspended copper NPs; group 3 received cobalt NPs, and group 4 received copper oxide NPs. 0.002 mg/mL NPs were suspended in distilled water by dispersing nanopowders in an ultrasonic bath (Grad 13–35, STC Soltek, Moscow) with a power of 150 W and a frequency of 35 kHz for 15 min. 10 mL/kg of suspended NPs were administered daily in the morning, before feeding, for 20 days, according to Guidelines (MU) 1.2.2869-11 (Moscow, 2011).
The animals’ body weight was measured using OHAUS laboratory scales (resolution 0.01 g) before the experiment and at day 6, 11, 16, and 21. Visual examination was performed daily. Motor activity was assessed every three days by counting upright postures (with and without support) for 2 min in a plexiglass arena (diameter: 135 mm, height: 350 mm). In addition, we recorded the number of grooming acts lasting up to 5 s [19].
At day 21, animals were euthanized by decapitation after inhalation anesthesia with isoflurane. The liver, kidneys, and reproductive system (testicles and appendages) were sampled in accordance with MU 1.2.2745-10. The organs were dried in a cabinet dryer for 72 h at 75 °C and ground in porcelain mortars with porcelain pestles.
The elemental composition of the tissues was determined by energy dispersive X-ray fluorescence using an Arl QuantX spectrometer (Switzerland) at the Regional Center for Scanning Probe Microscopy of the Federal State Budgetary Educational Institution of Higher Education Ryazan State Radio Engineering University named after V.F. Utkin. The test was performed using UniQuant software with automatic spectral fitting. In addition, we performed spot analysis of samples using a JEOL JSM-6610LV scanning electron microscope with an INCA X-MAX system (identification of all elements except hydrogen, helium, and lithium).
Statistical data processing was performed using the Statistica 12.0 software. Normality of distribution was tested using the Kolmogorov–Smirnov and Shapiro–Wilk tests. The data were processed after variance analysis (normal distribution) or the Kruskal–Wallis test (anomalous distribution). The corresponding parameters recorded in each experimental group on a specific day were compared with the control group on the same day (Dunnett’s test for body weight and behavior of animals in normal distribution; Mann–Whitney test with Bonferroni correction for the essential microelement level in abnormal distribution). Data are presented as the arithmetic mean and standard error of the mean (normal distribution) or the median and lower/upper quartiles (anomalous distribution). Differences were considered significant at p < 0.05 for normal distributions and p <0.017 for anomalous distributions.
RESULTS
Body Weight
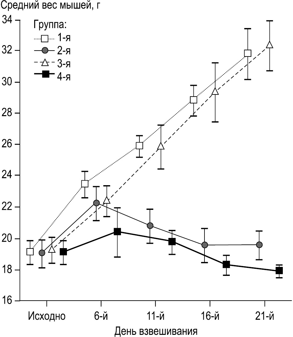
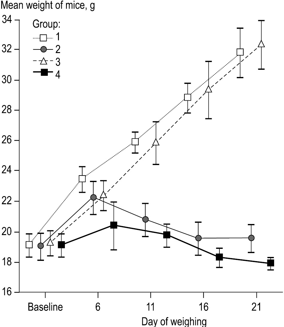
The average baseline body weight of mice in all groups was 19.07±0.10 g and did not differ between groups (p=0.987). As early as at day 4 of the experiment, the group of animals given copper oxide NPs showed low appetite, which was recorded by an increased amount of food left in the feeders. At day 7, the mice that were given nanodispersed copper showed low appetite as well. Weighing of animals at day 6, 11, 16, and 21 recorded weight loss in the groups receiving copper and copper oxide suspensions. The weight in the copper NPs group of animals decreased by 38.6% (the average weight difference was 12.27±1.21 g; p <0.001) and by 43.9% (the difference of 13.97±1.46 g with the control group; p <0.001) in the copper oxide NPs group compared to the control group at the last day of the experiment. The experimental group subjects that were administered nanodispersed cobalt consumed all food and showed weight gain that did not differ significantly from the control group (p=0.492; see Fig. 1).
Fig. 1. Changes in body weight of mice (g) with intragastric administration of nanoparticles (NPs) for 21 days (mean value ± standard error of the mean). * Significant differences in relation to the control group (each experimental group was compared with the control group on a specific day of observation using the Dunnett’s test); p <0.01.
Motor Activity
The upright motor activity of experimental animals was determined by counting the number of times they stood on their hind legs without support and with support on the side in a special setup at day 3, 6, 9, 12, and 18. Starting from day 7 of the experiment, we observed a reliable decrease in the number of unsupported upright postures by 21.4% (day 9, p=0.017), 38.7% (day 12, p=0.037), and 43.8% (day 18, p=0.002) in the copper NPs group; and by 28.1% (day 9, p=0.055), 32.25% (day 12, p=0.011), and 40.6% (day 18, p=0.002) in the copper oxide NPs group. The number of short-term (less than 5 s) grooming acts increased, indicating a lower cognitive activity and anxious behavior. The supported upright postures on the side in these groups did not differ significantly from the control group (p=0.567). In the cobalt NPs group, starting from day 9, the animals tended to increase the average number of supported upright postures by 1.53 times (41.93–53.57%; p=0.013) compared to the control group. This trend persisted until the end of the experiment. However, the number of grooming acts and unsupported upright postures did not differ from the control group (p=0.352).
Elemental Composition of Biological Material
Measurements of copper (p=0.288), copper oxide (p=0.323), and cobalt (p=0.596) levels in the liver, kidneys, and reproductive system did not reveal significant differences between the experimental and control groups, indicating the absence of bioaccumulation of the studied NPs. The analysis of other elements showed reliable differences of potassium and calcium levels in all studied organs, sulfur levels in the liver and reproductive system, and oxygen in the reproductive system.
Potassium level in the liver of animals was reliably higher in all experimental groups compared to the control group: by 111.8% (p=0.004) in the copper NPs group, by 159.8% (p=0.001) in the cobalt NPs group, and by 208.1% (p=0.002) in the copper oxide NPs group. Calcium levels in the cobalt NPs and copper oxide NPs groups were higher by 86.2% (p=0.004) and 89.4% (p=0.004), respectively, compared to the control group (see Table 1).
Table 1. Measurements of the levels of elements in weight samples of liver tissue, %
Group | Рotassium | Calcium |
Group 1 (control group) | 0.259 (0.247; 0.262) | 0.094 (0.077; 0.111) |
Group 2 (copper NPs) | 0.546 (0.532; 0.574)* | 0.132 (0.114; 0.152) |
Group 3 (cobalt NPs) | 0.673 (0.648; 0.709)* | 0.175 (0.142; 0.183)* |
Group 4 (copper oxide NPs) | 0.798 (0.751; 0.836)* | 0.178 (0.157; 0.185)* |
Note. * Significant differences in comparison with the control (p <0.01).
In the kidneys, there was a significant increase in elemental sulfur (copper oxide NPs) by 34.4% (p <0.001) and calcium (cobalt NPs) by 30.8% (p=0.001) compared to the control group; in the copper oxide NPs group, the calcium level decreased by 37.83% (p=0.001). In the nanodispersed copper and cobalt groups, the potassium level was lower (by 66.1% and 42.6% [р=0.001], respectively) (see Table 2).
Table 2. Measurements of the levels of elements in weight samples of kidney tissue. %
Group | Sulfur | Рotassium | Calcium |
Group 1 (control group) | 0.442 (0.411; 0.458) | 0.183 (0.177; 0.191) | 0.185 (0.169; 0.193) |
Group 2 (copper NPs) | 0.407 (0.387; 0.442) | 0.062 (0.059; 0.071)* | 0.122 (0.119; 0.137) |
Group 3 (cobalt NPs) | 0.518 (0.470; 0.528) | 0.105 (0.103; 0.112)* | 0.242 (0.238; 0.263)* |
Group 4 (copper oxide NPs) | 0.594 (0.575; 0.613)* | 0.228 (0.221; 0.236) | 0.115 (0.091; 0.120)* |
Note. * Significant differences in comparison with the control (p <0.01).
We observed a significant decrease in the sulfur level in the testes of animals in the cobalt NPs group (by 83.7% [p <0.001]) and the copper oxide NPs group (by 54.3% [p <0.001]) compared to the control group. However, the calcium level increased in all experimental groups: by 52.4% (copper NPs; p=0.005), by 44.4% (cobalt NPs; p=0.004), and by 107.9% (copper oxide NPs; p <0.001; see Table 3).
Table 3. Measurements of the levels of elements in weight samples of reproductive tissue (testes and appendages). %
Group | Sulfur | Рotassium | Calcium | Кислород |
Group 1 (control group) | 0.527 (0.518; 0.536) | 0.229 (0.221; 0.236) | 0.126 (0.112; 0.141) | 15.18 (14.70; 15.71) |
Group 2 (copper NPs) | 0.648 (0.629; 0.707) | 0.503 (0.483; 0.531)* | 0.192 (0.172; 0.214)* | 22.48 (14.01; 25.64) |
Group 3 (cobalt NPs) | 0.086 (0.079; 0.103)* | 0.287 (0.265; 0.302) | 0.182 (0.171; 0.194)* | 22.85 (20.77; 23.87)* |
Group 4 (copper oxide NPs) | 0.241 (0.233; 0.271)* | 0.271 (0.261; 0.277) | 0.262 (0.251; 0.277)* | 19.87 (19.12; 20.14)* |
Note. * Significant differences in comparison with the control (p <0.01).
An increased level of elemental oxygen was found in the reproductive system of animals in all experimental groups compared to the control group. Significant differences were observed in two groups; an increase of 50.5% (cobalt NPs, p=0.001) and 30.9% (copper oxide NPs, p=0.014), which may indicate a specific effect of such NPs on these tissues (see Table 3). Levels of other elements did not differ significantly between the groups (p=0.392).
DISCUSSION
Copper and cobalt are important for cell function. For example, cytochrome c oxidase, consisting of several subunits with a copper atom, is an element of the electron transport chain, a universal catabolic pathway.
Cobalt is primarily contained in cyanocobalamin molecules; it is present in the active centers of important enzymes, such as methyltransferase and ribonucleoside triphosphate reductase; it is a coenzyme of some proteolytic enzymes, and influences heme metabolism [20].
According to the literature, when administered intragastrically, the tested NPs may be absorbed enterally, primarily by clathrin-dependent endocytosis [10, 21]. Subsequently, they enter the bloodstream and are delivered to organs and tissues, where they can accumulate [22, 23]. Mononuclear phagocytes, especially macrophages, are largely responsible for the elimination of NPs from the body [24, 25].
Macro- and microelements, including calcium, potassium, and sulfur, are markers of toxicity [26]. According to the literature, copper and cobalt NPs can increase the level of essential elements in tissues, such as calcium, magnesium, iron, manganese, zinc, potassium, and phosphorus [27, 28]. As laboratory animals received identical feed and water throughout the experiment, changes in the levels of elements in organs may be associated with changes in their excretion by the kidneys and redistribution between different organs under the influence of the administered NPs.
Increased potassium and calcium levels in the liver and reproductive system may indicate nephrotoxicity of NPs [29, 30]. Calcium is a universal regulator of humoral response [31]. There is evidence that exposure to NPs causes oxidative stress, depleting antioxidant ability and disrupting calcium homeostasis [32]. Possible mechanisms include extracellular calcium influx due to lipid peroxidation-induced membrane damage and calcium channel blockade [33]. Increased calcium levels may also be associated with its mobilization from bone tissue due to the direct effect of NPs on osteoclasts and osteoblasts or indirect effect involving parathyroid hormones.
Lower sulfur levels, especially in the reproductive system, may be associated with a disrupted antioxidant protection and protein metabolism. Increased kidney sulfur (copper oxide NPs) can be interpreted as an adaption—an attempt to compensate for oxidative stress by increasing the production of antioxidant sulfur compounds, especially glutathione [34]. However, its lower levels in the reproductive system (cobalt NPs and copper oxide NPs) indicates a possible coenzyme deficiency and depletion of protective systems [35].
Increased oxygen levels in the reproductive system of animals in all experimental groups may be associated with increased lipid peroxidation, which is a typical effect of metal NPs [36]. This is confirmed by lower sulfur levels in the system and indicates the development of uncompensated oxidative stress. This effect may indicate both higher sensitivity of the reproductive system to NP exposure and a possible increase in blood flow, promoting local oxygen saturation of tissues.
Increased anxiety in animals observed at administration of NPs may be associated with the nephrotoxicity described above and, similar to the NPs described above, the penetration of blood-brain barrier by the particles and their central nervous system toxicity [37].
The normal weight gain in animals receiving cobalt NPs and its decrease in subjects receiving copper NPs and copper oxide NPs may be associated with the latter’s gastrotoxicity [38, 39]. The absence of bioaccumulated copper and cobalt in organs can be explained by their rapid elimination, mainly by the intestines [40]. Excretion of NPs by the kidneys is unlikely due to the damaging effect on these organs.
Thus, at a dose of 0.02 mg/kg, all studied NPs show signs of toxicity, especially reproductive, which is consistent with the literature [41, 42]. Therefore, when using NPs in agriculture, e.g. for seed treatment, it is required to consider the possible risks of their subsequent entry into the body of animals and humans. It is advisable to evaluate the doses, frequency, and duration of exposure to NPs and the vegetative season, when they should be used. It is worth noting that the prooxidant effect of NPs can be reduced by improving their physicochemical properties, including size, shape, content, and pH of solutions.
CONCLUSION
Copper, cobalt and copper oxide NPs are toxic in case of continuous intragastric intake. Its toxicity is manifested by nephrotoxicity and activation of lipid peroxidation.
The absence of significant bioaccumulation of copper, copper oxide, and cobalt in tissues is consistent with the hypothesis of the predominantly transient effect of the studied NPs and their possible rapid elimination from the body. Our study emphasizes the need for further research into the mechanisms of NP exposure on organs and systems, especially in long-term exposure.
ADDITIONAL INFORMATION
Author contributions: Inna V. Obidina: investigation, data curation, formal analysis, writing—original draft; Gennady I. Churilov: conceptualization; Yulia N. Ivanycheva: methodology; Elizaveta M. Pronina and Tamriko I. Matua: investigation; Ivan V. Chernykh: formal analysis, writing—review & editing. All authors confirm that their authorship meets the international ICMJE criteria (all authors made substantial contributions to the conceptualization, investigation, and manuscript preparation, and reviewed and approved the final version prior to publication).
Ethics approval: The study protocol was reviewed and approved by the meeting of the Commission for Control over Laboratory Animal Care and Use of the Federal State Budgetary Educational Institution of Higher Education Ryazan State Medical University of the Ministry of Health of the Russian Federation (No. 22 dated January 23, 2020).
Funding sources: No funding.
Disclosure of interest: The authors have no relationships, activities, or interests for the last three years related to for-profit or not-for-profit third parties whose interests may be affected by the content of the article.
Statement of originality: No previously obtained or published material (text, images, or data) was used in this study or article.
Data availability statement: The editorial policy regarding data sharing does not apply to this work, as no new data was collected or created.
Generative AI: No generative artificial intelligence technologies were used to prepare this article.
Provenance and peer review: This paper was submitted unsolicited and reviewed following the standard procedure. The peer review process involved two external reviewers, a member of the editorial board, and the in-house scientific editor.
About the authors
Inna V. Obidina
Ryazan State Medical University
Author for correspondence.
Email: inna.obidina@mail.ru
ORCID iD: 0000-0002-7235-6415
SPIN-code: 8087-7620
Cand. Sci. (Biology); Associate Professor
Russian Federation, RyazanGennady I. Churilov
Ryazan State Medical University
Email: genchurilov@yandex.ru
ORCID iD: 0000-0002-4056-9248
SPIN-code: 2096-4817
Dr. Sci. (Biology), Professor
Russian Federation, RyazanYulia N. Ivanycheva
Ryazan State Medical University
Email: julnic79@mail.ru
ORCID iD: 0009-0007-6930-7296
SPIN-code: 1636-3360
Cand. Sci. (Biology), Associate Professor
Russian Federation, RyazanElizaveta M. Pronina
Ryazan State Medical University
Email: pronina.em2002@yandex.ru
Russian Federation, Ryazan
Tamriko I. Matua
Ryazan State Medical University
Email: matua.2001@mail.ru
Russian Federation, Ryazan
Ivan V. Chernykh
Ryazan State Medical University
Email: ivchernykh88@mail.ru
ORCID iD: 0000-0002-5618-7607
SPIN-code: 5238-6165
Dr. Sci. (Biology), Associate Professor
Russian Federation, RyazanReferences
- Gmoshinski IV, Shipelin VA, Khotimchenko SA. Nanomaterials in food products and their package: comparative analysis of risks and advantages. Health Risk Analysis. 2018;(4):134–142. doi: 10.21668/health.risk/2018.4.16 EDN: YUGSCD
- Vershinina IA, Lebedev SV. Investigation of the responses of the Eisenia fetida worms when copper and zinc nanoparticles are introduced into the habitat. Bulletin of Nizhnevartovsk State University. 2022;(1):45–54. doi: 10.36906/2311-4444/22-1/05 EDN: FYMTIA
- Sutunkova MP, Solovyеva SN, Chernyshov IN, et al. Manifestations of subacute systemic toxicity of lead oxide nanoparticles in rats after an inhalation exposure. Toxicological Review. 2020;(6):3–13. doi: 10.36946/0869-7922-2020-6-3-13 EDN: GPVVHA
- Oberdorster G, Oberdorster E, Oberdorster J. Nanotoxicology: an emerging discipline evolving from studies of ultrafine particles. Environ Health Perspect. 2005;113(7):823–839. doi: 10.1289/ehp.7339
- Chernykh IV, Kopanitsa MA, Shchulkin AV, et al. Evaluation of cytotoxicity of gold glyconanoparticles of human colon adenocarcinoma cells. I.P. Pavlov Russian Medical Biological Herald. 2023;31(2):255–264. doi: 10.17816/PAVL0VJ112525 EDN: BBWWHG
- Sutunkova MP, Minigalieva IA, Privalova LI, et al. Impact of toxicity effects of zinc oxide nanoparticles in rats within acute and subacute experiments. Hygiene and Sanitation. 2021;100(7):704–710. doi: 10.47470/0016-9900-2021-100-7-704-710 EDN: GTJKCC
- Antsiferova AA, Kopaeva MYu, Kochkin VN, Kashkarov PK. Effects of long-term oral administration of silver nanoparticles on the cognitive functions of mammals. Toxicological Review. 2021;29(6):33–38. doi: 10.36946/0869-7922-2021-29-6-33-38 EDN: WASEGZ
- Lutkovskaya YaV, Sizova EA, Kamirova AM. Ultrafine forms of trace elements in the diet of ruminants: impact on productivity and health. The Agrarian Scientific Journal. 2024;(5):96–104. doi: 10.28983/asj.y2024i5pp96-104 EDN: KQORQF
- Onishchenko GG, Tutelyan VA, Gmoshinskiy IV, Khotimchenko SA. Evelopment of the system for nanomaterials and nanotechnology safety in Russian Federation. Hygiene and Sanitation. 2013;92(1):4–11. EDN: PVFGVB
- Awashra M, Młynarz P. The toxicity of nanoparticles and their interaction with cells: an in vitro metabolomic perspective. Nanoscale Adv. 2023;5(10):2674–2723. doi: 10.1039/d2na00534d
- Polishchuk SD, Churilov DG, Churilov GI, et al. Determining the common patterns of nanoparticle effects on physiological and biochemical processes in plants. E3S Web of Conferences. 2023;411:02051. doi: 10.1051/e3sconf/202341102051
- Stepanova IA, Polischuk SD, Churilov DG, et al. Biological activity of cobalt and zinc oxide nanoparticles and their bioaccumulation on the example of vetch. Herald of Ryazan State Agrotechnological University Named after P.A. Kostychev. 2019;(1):62–67. EDN: EQVUFC
- Churilov GI, Obidina IV, Churilov DG, Polishchuk SD. Influence of the size and concentration of metal nanoparticles on their biological activity. Modern Science: Actual Problems of Theory and Practice. 2020;(3):62–69. EDN: KOWNLD
- Churilov GI, Obidina IV, Churilov DG, et al. Comparative toxicological characteristics of cobalt, copper, copper oxide and zinc nanoparticles. Modern Science: Actual Problems of Theory and Practice. 2020;(4):28–34. doi: 10.37882/2223-2966.2020.04.38EDN: ASCFPX
- Stepanova IA. Mineral and lipid metabolism indicators in livestock after administration of metal nanopowders [dissertation]. Ryazan; 2018. 158 p. (In Russ.) EDN: GYKDWE
- Lee IC, Ko JW, Park SH, et al. Comparative toxicity and biodistribution in rats following subchronic oral exposure to copper nanoparticles and microparticles. Part Fibre Toxicol. 2016;13(1):56. doi: 10.1186/s12989-016-0169-x
- Zinkovskaya I, Ivlieva AL, Petritskaya EN, Rogatkin DA. Unexpected reproductive effect of prolonged oral administration of silver nanoparticles in laboratory mice. Ekologiya cheloveka (Human Ecology). 2020;27(10):23–30. doi: 10.33396/1728-0869-2020-10-23-30 EDN: DMCCCS
- Elyasin PA, Zalavina SV, Mashak AN, Skalny AV. Peculiarities of mineral exchange of liver and structure of the mesenterial lymph node of adolescent rats in conditions of lead chronic intoxication. The Siberian Scientific Medical Journal. 2018;38(6):24–28. doi: 10.15372/SSMJ20180604 EDN: YPPDUL
- Apukhtin KV, Shevlyakov AD, Kotova MM, et al. Analyses of rodent grooming and its behavioral microstructure in modern neurobiological studies. Russian Journal of Physiology. 2024;110(6):889–914. doi: 10.31857/S0869813924060022 EDN: BFDDUM
- Pronina IV, Mochalova ES, Efimova YuA, Postnikov PV. Biological functions of cobalt and its toxicology and detection in anti-doping control. Fine Chemical Technologies. 2021;16(4):318–336. doi: 10.32362/2410-6593-2021-16-4-318-336 EDN: SLGLNG
- Sutunkova MP. Toxicological-hygienic criteria and risk management for health impacts of metal-containing nanoparticles [dissertation]. Yekaterinburg; 2019. 317 p. (In Russ.) EDN: RHVLXY
- Zemlyanova MA, Stepankov MS, Ignatova AM. Features of bioaccumulation and toxic effects of copper (II) oxide nanoparticles under the oral route of intake into the body. Toxicological Review. 2021;29(6):47–53. doi: 10.36946/0869-7922-2021-29-6-47-53 EDN: PHYHZY
- Zaytsev VV. Pharmacotoxicological properties and efficacy of cobalt and copper nanoparticle-based compounds in hypomicroelementoses [dissertation]. Astrakhan; 2022. 155 p. (In Russ.) EDN: BFIMNX
- Zelepukin IV. Novel approaches to controlling nanoparticle pharmacokinetics [dissertation]. Moscow; 2021. 109 p. EDN: HIEHCE
- Triboulet S, Aude-Garcia C, Carrière M, et al. Molecular responses of mouse macrophages to copper and copper oxide nanoparticles: proteomic analyses. Mol Cell Proteomics. 2013;12(11):3108–3122. doi: 10.1074/mcp.M112.025205
- Franovskii SYu, Turbinskii VV, Oks EI, Bortnikova SB. Elemental markers of exposure under combined oral introduction of chemical mixtures with prevalent antimony and arsenic into white Wistar rats . Health Risk Analysis. 2019;(3):94–103. doi: 10.21668/health.risk/2019.3.11 EDN: WGXHOB
- Glukhcheva Y, Tinkov AA, Ajsuvakova OP, et al. The impact of perinatal cobalt exposure on iron, copper, manganese, and zinc metabolism in immature ICR mice. Problems of Biological, Medical and Pharmaceutical Chemistry. 2019;22(3):3–8. doi: 10.29296/25877313-2019-03-01 EDN: YWEEZL
- Sizova EA, Miroshnikov SA, Lebedev SV, Glushchenko NN. Effect of multiple doses of nanoparticles copper on the elemental composition of rat liver. Vestnik of the Orenburg State University. 2012;(6):188–190. EDN: PDQWHL
- Akhpolova VO, Brin VB. Calcium exchange and its hormonal regulation. Journal of Fundamental Medicine and Biology. 2017;(2):38–46. EDN: ZHRGCH
- Manke A, Wang L, Rojanasakul Y. Mechanisms of nanoparticle-induced oxidative stress and toxicity. Biomed Res Int. 2013;2013:942916. doi: 10.1155/2013/942916
- Sakovets TG, Bogdanov EI. Hypokalemic myoplegia. Kazan Medical Journal. 2013;94(6):933–938. doi: 10.17816/KMJ1822 EDN: RSHIY
- Cremades A, Sanchez-Capelo A, Monserrat A, et al. Potassium deficiency effects on potassium, polyamines and amino acids in mouse tissues. Comp Biochem Physiol A Mol Integr Physiol. 2003;134(3):647–654. doi: 10.1016/s1095-6433(02)00369-0
- Huang CC, Aronstam RS, Chen DR, Huang YW. Oxidative stress and gene expression in lung cells exposed to ZnO nanoparticles. Toxicol In Vitro. 2010;24(1):45–55. doi: 10.1016/j.tiv.2009.09.007
- Iskakova SA. Lipid peroxidation in organs of rats after subchronic sulfur vapor exposure. In: The dynamics of scientific research. Ecology. Publishing house Education and Science s.r.o.; 2008.
- Nimni ME, Han B, Cordoba F. Are we getting enough sulfur in our diet? Nutr Metab. 2007;4:24. doi: 10.1186/1743-7075-4-24
- Min Y, Suminda GGD, Heo Y, et al. Metal-based nanoparticles and their oxidative stress mechanisms. Antioxidants. 2023;12(3):703. doi: 10.3390/antiox12030703
- Hersh AM, Alomari S, Tyler BM. Crossing the Blood-Brain Barrier: Advances in Nanoparticle Technology for Drug Delivery in Neuro-Oncology. Int J Mol Sci. 2022;23(8):4153. doi: 10.3390/ijms23084153
- Zaitseva NV, Zemlyanova MA, Stepankov MS, Ignatova AM. Copper (II) oxide nanoparticles toxicity and potential human health hazards. Ekologiya cheloveka (Human Ecology). 2021;28(11):50–57. doi: 10.33396/1728-0869-2021-11-50-57 EDN: BBNUWI
- Zhang H, Wu X, Mehmood K, et al. Intestinal epithelial cell injury induced by copper nanoparticles in piglets. Environ Toxicol Pharmacol. 2017;56:151–156. doi: 10.1016/j.etap.2017.09.010
- Poon W, Zhang YN, Ouyang B, et al. Elimination pathways of nanoparticles. ACS Nano. 2019;13(5):5785–5798. doi: 10.1021/acsnano.9b01383
- Ivlieva AL, Zinkovskaia I, Petriskaya EN, Rogatkin DA. Nanoparticles and nanomaterials as inevitable modern toxic agents. Review. Part 2. Main areas of research on toxicity and techniques to measure a content of nanoparticles in tissues. Ekologiya cheloveka (Human Ecology). 2022;29(3):147–162. doi: 10.17816/humeco100156 EDN: CUXNFJ
- Habas K, Demir E, Guo I, et al. Toxicity mechanisms of nanoparticles in the male reproductive system. Drug Metab Rev. 2021;53(4):604–617. doi: 10.1080/03602532.2021.1917597
Supplementary files






