Prevalence of natural ABO antibodies in donors in Surgut
- Authors: Gusachenko L.A.1,2, Litovchenko O.G.1, Gabidullina R.R.2, Chemakin Y.A.2
-
Affiliations:
- Surgut State University
- Blood Transfusion Station, Surgut
- Issue: Vol 32, No 2 (2025)
- Pages: 110-122
- Section: ORIGINAL STUDY ARTICLES
- Submitted: 26.12.2024
- Accepted: 03.06.2025
- Published: 20.07.2025
- URL: https://hum-ecol.ru/1728-0869/article/view/643450
- DOI: https://doi.org/10.17816/humeco643450
- EDN: https://elibrary.ru/VMWYAW
- ID: 643450
Cite item
Full Text
Abstract
BACKGROUND: The physiological status of a population can be assessed through the adaptive function of maintaining internal homeostasis, particularly by studying the activity of natural antibodies. The population-specific ecological variability in antibody production is of interest for both population physiology and the advancement of applied transfusion medicine and transplantation.
AIM: To assess the prevalence of natural ABO antibody titers in donors in Surgut.
METHODS: A single-center, cross-sectional, observational study was conducted. The study included donors from Surgut. The presence and activity of natural complete ABO anti-erythrocyte α (anti-A) and β (anti-B) antibodies were assessed using slide titration with standard A(II) and B(III) erythrocytes and isotonic sodium chloride solution. The prevalence of antibody titers was calculated as a percentage.
RESULTS: A total of 14,223 donor blood samples were analyzed. In type O(I) blood donors, natural antibody activity began at titers of 1:2 and 1:4, with some reaching titers as high as 1:512. The most prevalent titers in type A(II) blood donors were 1:8 in males and 1:16 in females, whereas in type B(III) blood donors, a 1:32 titer was most common in both sexes. The highest titers reported in the A(II) and B(III) groups were 1:256. Titer distributions were similar in males and females, with an overall tendency toward lower titers in 2023. A high incidence of 1:8 and 1:16 titers was reported in males and females, respectively.
CONCLUSION: Distinct patterns in the prevalence of natural ABO antibody titers were identified in 2015–2017 vs. 2023, a period with post-COVID-19 immune response transformation. These differences are likely due to previous SARS-CoV-2 infection and its effects on immune system function. The findings indicate that Surgut donors' immune systems actively produce natural ABO antibodies, which is important for assessing the physiological structure of populations living in specific environments.
Keywords
Full Text
Обоснование
Физиологическое состояние популяции можно оценить адаптационной функцией поддержания постоянства внутренней среды организма человека с точки зрения изучения активности естественных антител. Экологическое своеобразие проявления антителообразования в популяциях представляет интерес для популяционной физиологии, а также совершенствования прикладной трансфузиологии и трансплантологии [1–3].
Для антител системы АВО действует правило Ландштейнера, которое формулируется следующим образом: независимо от того, какой антиген находится на мембране эритроцитов, в плазме будут отсутствовать соответствующие антитела. У индивида с группой крови A(II) в плазме присутствуют антитела к антигену В (β), у индивида с группой крови B(III) — антитела к антигену А (α), а у индивида с группой крови AB(IV) антитела отсутствуют, поскольку в их эритроцитах образуются оба антигена. В свою очередь, при отсутствии антигенов системы АВО в сыворотке присутствуют естественные антитела против антигенов А и В, а также — против комбинированного антигена АВ [4, 5].
Принято считать, что естественные антитела формируются в отсутствие прямой антигенной стимуляции. Существует несколько гипотез, объясняющих их естественное происхождение, а также факторы, влияющие на их генерацию. Полагают, что продукция естественных антител запускается в ответ на антигены энтеробактерий и начинается уже в неонатальном периоде. Вместе с тем их способность связываться с овальбумином и антигенами собственных тканей указывает на возможную стимуляцию их выработки аутологичными антигенами. Современные исследования подтверждают обе гипотезы: продукция естественных антител может быть как следствием естественной колонизации, так и результатом реакции иммунной системы на собственные антигены [3, 6–8]. Существуют два типа В-лимфоцитов, участвующих в продукции антител.
- В1-лимфоциты — самые простые клетки данного звена иммунной системы, присутствующие естественным образом. Они продуцируют антитела без предварительной стимуляции антигеном, преимущественно иммуноглобулины класса М (IgM).
- B2-лимфоциты, напротив, вырабатывают антитела в ответ на антигенную стимуляцию — как правило, в составе веществ природного происхождения. Основным классом антител, продуцируемых этими клетками, являются иммуноглобулины G (IgG) [8].
Антитела системы АВО начинают выявлять у ребёнка грудного возраста в период от 4 до 6 мес. Следует отметить, что IgG и IgM способны активировать систему комплемента и вызвать внутрисосудистой гемолиз [4].
Естественные антитела являются компонентом гуморального звена врождённого иммунитета и представлены преимущественно низкоаффинными антителами, присутствующими в организме без предварительной антигенной стимуляции. Их мишенями являются как экзо-, так и эндогенные антигены, включая бактериального происхождения, что определяет роль естественных антител как элементов первой линии иммунной защиты от патогенов. Кроме того, установлено их участие в клиренсе продуктов катаболизма. Содержание естественных антител в крови довольно высокое, а их репертуар стабилен в течение всей жизни. Отклонения свидетельствуют о развитии патологии. Всё это указывает на важную роль естественных антител в гомеостазе [3, 8–10]. Исследования последних лет указывают на ассоциацию между системой групп крови АВО и Rh-фактором с некоторыми патологическими состояниями. В частности, обнаружена возможная связь между группой крови и восприимчивостью к инфекции COVID-19, однако механизмы этих ассоциаций остаются недостаточно изученными [5, 11–14].
Естественные антитела системы АВО имеют большое биологическое значение. По мнению некоторых авторов, одной из их ключевых функций является поддержание иммунологического гомеостаза, в частности за счёт присутствия естественных анти-А и анти-В антител, способных распознавать и нейтрализовать иногруппные изоантигены, поступающие в организм с антигенами животного, бактериального или вирусного происхождения. Механизмы, лежащие в основе продукции антител, перекрёстно реагирующих с антигенами либо антигеноподобными субстанциями, остаются предметом активных исследований. У женщин физиологическое значение естественных антител можно объяснить необходимостью нейтрализации токсических продуктов, поступающих от плода к матери в условиях гетероспецифической беременности [3, 6, 8, 9, 15–19]. Кроме того, естественные антитела системы ABО играют решающую роль в трансплантологии. При пересадке АВО-несовместимого органа (например, печени или почек) возможно развитие молниеносной реакции отторжения, опосредованной антителами. Высокий титр естественных анти-А и анти-В антител у реципиента может служить препятствием для трансплантации, несмотря на совместимость по другим критериям, и часто приводит к отказу от потенциально подходящего донора [17, 18, 20–22].
Цель исследования. Определение особенностей частоты встречаемости естественных антител системы ABО у доноров Сургута.
МАТЕРИАЛЫ И МЕТОДЫ
Дизайн исследования
Проведено наблюдательное одноцентровое одномоментное поперечное исследование.
Критерии соответствия
Критерии включения в исследование:
- венозная кровь доноров Сургута, отобранная случайным образом;
- наличие добровольного письменного согласия.
Условия проведения
Исследование проведено на Станции переливания крови Сургута. Данные охватывают два периода: до начала пандемии COVID-19 — с 2015 по 2017 г. (архивные данные) и постпандемийный — 2023 г. (результаты одномоментного исследование). Сравнительный анализ проводили как по хронологическим периодам, так и с учётом половой принадлежности.
Определение титра естественных антител системы АВО
Материалом исследования была венозная кровь.
Определение титра естественных антител системы АВО анти-A (α) и анти-B (β) проводили методом гемагглютинации на плоскости стандартными эритроцитами A(II), B(III) группы с двойным последовательным разведением сыворотки.
Для определения титра антител исследуемую сыворотку разводили непосредственно на пластинке, используя изотонический раствор натрия хлорида. В десять пронумерованных точек последовательно наносили по одной большой капле (0,1 мл) 0,9% раствора натрия хлорида. В первую точку добавляли одну каплю (0,1 мл) исследуемой сыворотки и тщательно перемешивали. Затем с помощью той же пипетки переносили одну каплю полученной смеси во вторую точку, перемешивали и продолжали последовательное разведение до десятой точки. Таким образом получали серию разведений сыворотки от 1:2 до 1:1024.
На пластинку рядом с каждой каплей разведённой сыворотки наносили маленькую каплю (0,01 мл) стандартных эритроцитов соответствующей группы: эритроциты группы A(II) — при титровании α-антител и эритроциты группы B(III) — при титровании β-антител. Соотношение эритроцитов и сыворотки должно составлять 1:10.
Каждую каплю стандартных эритроцитов тщательно перемешивали с сывороткой сухой стеклянной палочкой, после чего пластинку покачивали, оставляли на 1–1,5 мин в покое, а затем снова покачивали. Наблюдали за агглютинацией в течение 5 мин.
За титр антител принимали наибольшее разведение сыворотки, при котором происходила агглютинация стандартных эритроцитов в пределах указанного времени наблюдения [3, 15, 19, 23].
Основной исход исследования
Активность естественных групповых α- и β-антител у доноров Сургута.
Этическая экспертиза
Проведение исследования одобрено этическим комитетом Сургутского государственного университета (протокол заседания № 26 от 29.09.2021).
Все участники до включения в исследование добровольно подписали согласие. Обследование проводили с соблюдением этических норм, изложенных в Хельсинкской декларации и директивах Европейского сообщества (8/609 ЕС). В соответствии с законом персональные данные деперсонизированы.
Статистический анализ
Принципы расчёта размера выборки: размер выборки предварительно не рассчитывали. Выборку формировали с учётом репрезентативности охвата всех ключевых подгрупп (группа крови, пол, годы), мощности анализа (возможность выявить даже небольшие различия), стандартных статистических принципах обеспечивающих надёжность результатов для вывода о популяционных особенностях распределения титров естественных антител.
Методы статистического анализа данных. Статистическую обработку полученных результатов проводили с использованием программ Microsoft Offise Exсel® 2010 (Microsoft, Соединённые Штаты Америки) и SPSS Statistics® 27.0.1. (IBM Corporation, Соединённые Штаты Америки). С помощью критерия Шапиро–Уилка оценивали соответствие распределения показателей нормальному закону. При сравнении выборок статистическую значимость различий определяли с помощью апостериорного критерия Краскела–Уоллиса (с поправкой Бонферрони). Категориальные переменные описаны в виде процентных соотношений. Различия считали статистически значимыми при р <0,05.
Результаты
Объекты исследования
Для получения репрезентативной выборки с минимальной вероятностью статистической ошибки в исследование включено 14 223 донора (табл. 1).
Таблица 1. Количество обследованных доноров Сургута
Table 1. Number of donors examined in Surgut
Группа крови Blood type | 2015 г. | year | 2016 г. | year | 2017 г. | year | 2023 г. | year | Всего Total | ||||
М | M | Ж | F | М | M | Ж | F | М | M | Ж | F | М | M | Ж | F | ||
O(I) | 1619 | 896 | 1407 | 814 | 1441 | 728 | 1381 | 746 | 9032 |
A(II) | 402 | 320 | 379 | 332 | 302 | 335 | 395 | 276 | 2741 |
B(III) | 356 | 336 | 306 | 287 | 361 | 284 | 348 | 216 | 2494 |
Всего Total | 2377 | 1552 | 2092 | 1433 | 2104 | 1347 | 2124 | 1238 | 14 223 |
Примечание. М — мужчины; Ж — женщины.
Note: M, male; F, female.
Основные результаты исследования
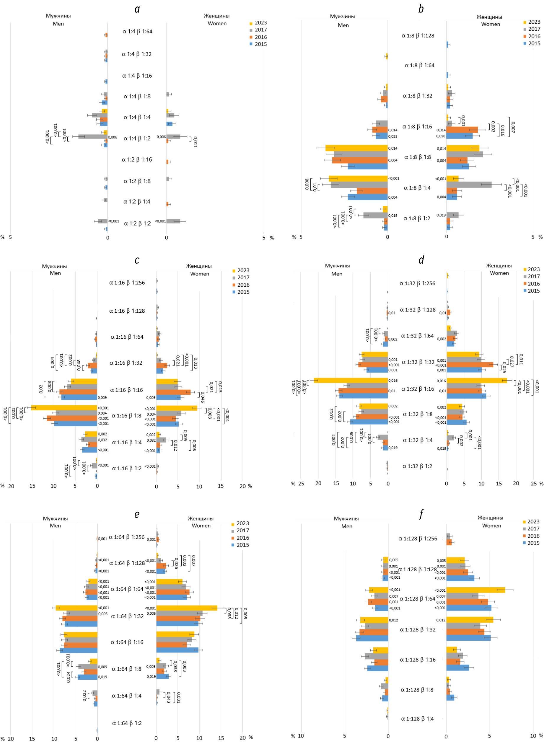
Мы изучили активность естественных групповых α- и β-антител у доноров Сургута. Встречаемость титров O(I) группы крови разнообразна в связи с присутствием сочетания α- и β-антител.
У мужчин доноров Сургута O(I) группы крови активность естественных антител начиналась с сочетания α и β в титре α 1:2 и β 1:2. Титры α 1:2 в сочетании с β 1:2, β 1:8 выявлены в 2015 и 2017 году, а α 1:2 и β 1:4 только в 2017. Частота встречаемости этих титров за исследованные годы у мужчин низкая и варьирует от 0,006 до 0,017% соответственно. Титры α 1:4 в сочетании с β представлены в шести вариантах с наибольшей частотой встречаемости и варьировали от 0,06 до 1,32% в 2017 г., что статистически значимо отличалось от показателей других лет. Следующий титр α 1:8 с β-антителами обнаружили в шести вариантах, начиная с сочетания титров α 1:8 и β 1:2, где наибольшая частота встречаемости представлена в 2017 г. Сочетание α 1:8 и β 1:4, а также α 1:8 и β 1:8 чаще отмечали в 2023 году — 3,41 и 3,62% соответственно, что статистически значимо отличалось от показателей других лет. Варианты сочетания α 1:8 с β 1:8, β 1:16, β 1:32 регистрировали во все исследуемые годы без статистически значимых различий. Сочетание титров α 1:8 и β 1:64 выявлено только в 2023 г. в 0,07% случаев. Титр α 1:16 в сочетании с β-антителами обнаружен в семи вариантах. Титры α 1:16 и β 1:2 более распространены в 2017 г. по сравнению с 2023, тогда как частота сочетания α 1:16 и β 1:8 была наибольшей в 2023 г. В то же время наблюдали статистически значимое снижение частоты выявления сочетаний α 1:16 и β 1:16, а также α 1:16 и β 1:32 в 2023 г. Титр α 1:32 в сочетании с β-антителами зарегистрирован в восьми вариантах. Наименьшая частота встречаемости выявлена при самых низких и самых высоких значениях β — 1:2, 1:128 и 1:256. Частота сочетаний α 1:32 и β 1:4, β 1:8 и β 1:64 была ниже в 2023 г. Наибольшее значение зафиксировано для α 1:32 и β 1:16 в 2023 г. — 21,22% случаев, что было статистически значимо по сравнению с предыдущими периодами. У доноров Сургута мужского пола титр α 1:64 в сочетании с β-антителами обнаружен в восьми вариантах, начиная с α 1:64 и β 1:2, зарегистрированное в 2015 г. В 2023 г. наблюдали снижение частоты сочетания α 1:64 и β 1:8. В 2016 г. обнаружили титр α 1:64 в сочетании с активным β 1:256 в 0,007% случаев. Титры α 1:128 и β 1:4 у мужчин доноров выявлены в единичных случаях в 2017 и 2023 гг. Наиболее активный вариант — α 1:128 и β 1:128. Статистически значимых различий в распределении сочетаний α 1:128 с β в исследуемые годы не обнаружено. Более активный титр α 1:256 в сочетании с β-антителами определён в шести вариантах с частотой встречаемости до 0,64%. В 2023 г. у мужчин-доноров Сургута выявлено сочетание титров α 1:512 и β 1:8.
В исследованные годы наблюдали снижение количества вариантов сочетаний титров α и β-антител O(I) группы крови у доноров-мужчин Сургута. В 2023 г. зарегистрировано 35 различных сочетаний, тогда как в 2015–2017 гг. их количество составляло 44, 40, 43 соответственно. На протяжении всех исследованных лет наибольшую частоту встречаемости демонстрировали сочетания с титрами 1:16 и 1:32. Статистически значимые различия в частоте встречаемости титров естественных антител между различными годами среди мужчин-доноров Сургута с I группой крови представлены на рис. 1.
Рис. 1. Частота встречаемости титров естественных антител в разные годы среди доноров с O(I) группой крови в Сургуте: a — α 1:2 и 1:4 в сочетании с β-антителами; b — α 1:8 в сочетании с β-антителами; c — α 1:16 в сочетании с β-антителами; d — α 1:32 в сочетании с β-антителами; e — α 1:64 в сочетании с β-антителами; f — α 1:128 в сочетании с β-антителами; g — α 1:256 и 1:512 в сочетании с β-антителами. Столбцы ошибок обозначают стандартное отклонение, указаны статистически значимые различия при сравнении между годами и между мужчинами и женщинами, p <0,05.
Fig. 1. Prevalence of natural antibody titers across different years in type O(I) blood donors in Surgut: a, α 1:2 and 1:4 combined with β-antibodies; b, α 1:8 combined with β-antibodies; c, α 1:16 combined with β-antibodies; d, α 1:32 combined with β-antibodies; e, α 1:64 combined with β-antibodies; f, α 1:128 combined with β-antibodies; g, α 1:256 and 1:512 combined with β-antibodies. Error bars represent standard deviation; significant differences are indicated for comparisons across years and between male and female donors, p < 0.05.
У женщин-доноров Сургута с O(I) группой крови сочетания титров α 1:2 и β выявлены в четырёх вариантах в 2016 и 2017 гг. Наиболее частыми из них были титры α 1:2 и β 1:2, обнаруженные в 2017 г. в 0,68% случаев. Другие сочетания — α 1:2 и β 1:4, β 1:8, β 1:16 — выявлены с частотой от 0,12 до 0,14% соответственно. Титр α 1:4 в сочетании с β-антителами зарегистрирован в трёх вариантах с частотой от 0,12 до 0,71%. Титр α 1:8 в сочетании с различными значениями β представлен в семи вариантах. Так, титры α 1:8 и β 1:4 имели статистически значимые отличия и в 2017 г. выявлены с частотой 2,58%. Значимое снижение наблюдали в сочетании титров α 1:8 и β 1:16 в 2023 г. по сравнению с предыдущими годами. Титр α 1:16 в сочетании с β-антителами также демонстрировал различия по годам. Например, титры α 1:16 и β 1:4 встречались в 2017 г., в то время как α 1:16 и β 1:8 достигли наибольшей частоты в 2023. Напротив, титры α 1:16 и β 1:32 в 2023 г. имел статистически значимое снижение частоты по сравнению с прошлыми годами. Кроме того, в 2015 и 2017 гг. регистрировали активные сочетания с титром β 1:256 — α 1:16 и β 1:256 — с частотой 0,11 и 0,14% соответственно. Варианты сочетания титра α 1:32 с β-антителами насчитывали восемь комбинаций. Титры α 1:32 и β 1:2 выявлены только в 2016 г. В сочетании α 1:32 и β 1:16 наблюдали рост частоты встречаемости к 2023 г. Титр α 1:32 в сочетании с активным титром β 1:256 выявлен в 2015 и 2023 гг. с частотой 0,23 и 0,41% соответственно. Сочетания α 1:64 с β обнаружены в семи вариантах. В 2017 г. титры α 1:64 и β 1:4 выявлены в 0,95% случаев, что статистически значимо отличалось от показателей 2015 и 2016 гг. Частота встречаемости сочетания титров α 1:64 и β 1:8, β 1:128 снижена в 2023 г., тогда как α 1:64 и β 1:32, напротив, увеличена и показатели статистически значимо отличаются. С титром α 1:128 выявлено шесть вариантов сочетаний. Начальная комбинация — α 1:128 и β 1:8. Вариант α 1:128 и β 1:16 в 2023 г. имел низкую частоту встречаемости, в то время как α 1:128 и β 1:32, β 1:64 в том же году демонстрировали рост по сравнению с предыдущими годами. У женщин-доноров Сургута титр α 1:256 в сочетании с β-антителами выявлен в пяти вариантах. Титры α 1:256 и β 1:16, β 1:32, β 1:64, β 1:128 и β 1:256 встречались с частотой от 0,11 до 1% соответственно. Единичные случаи α 1:512 с β 1:8 и β 1:32 зафиксированы в 2017 и 2023 гг. соответственно с одинаковой частотой — по 0,14%. Это сочетание можно расценивать как наиболее активные формы естественных антител α в комплексе с β.
В 2023 г. у женщин-доноров с O(I) группой крови выявлено меньше сочетаний титров естественных антител системы АВО — 33, тогда как в 2015 г. зафиксировано 38 вариантов, в 2016 — 39, в 2017 — 43 варианта (см. рис. 1). Анализ показал наличие статистически значимых различий в частоте встречаемости титров естественных АВО-антител в зависимости от года проведения исследования.
Между мужчинами- и женщинами-донорами с первой группой крови, проживающими в Сургуте, выявлены статистически значимые различия в частоте встречаемости естественных антител системы АВО.
При исследовании титра естественных антител A(II) группы крови у мужчин-доноров Сургута в разные годы обнаружено, что активность β-антител охватывала весь спектр титров, начиная с 1:2. В 2015–2017 гг. титр 1:2 регистрировали с частотой 1,9, 3,2 и 4,3% соответственно, тогда как в 2023 году его частота значительно выросла до 11,9%. Кроме того, к 2023 г. отмечено незначительное увеличение частоты встречаемости титра 1:4 до 18,5% (по сравнению с 11,7% в 2015 г. и 12 и 15% в последующие годы). Наибольшая частота встречаемости в 2023 г. зафиксирована у титра 1:8. В 2015 и 2017 гг. преобладал титр 1:16, однако в 2023 г. его частота снизилась до 19,7%. В 2016 г. титры 1:8 и 1:16 выявлены с одинаковой частотой — по 27,7%. Также в 2023 г. отмечено снижение встречаемости титра 1:32 до 10,5%, тогда как в предыдущие годы этот показатель варьировал от 13,5 до 20,3%. Титр 1:64 демонстрировал стабильные показатели в течение всех исследуемых лет наблюдения, составляя от 5,6 до 11,4%. В отдельных случаях у мужчин отмечены высокие титры — 1:128 и 1:256. Так, титр 1:128 достигал частоты 1,3% в предыдущие годы и отмечено её повышение до 3,5% в 2023 г. Титр 1:256 выявлен только в единичных случаях, максимальная частота составила 0,5% в 2016 г.
Сравнительный анализ частоты встречаемости титров β-антител у мужчин-доноров A(II) группы крови выявил статистически значимые различия между исследуемыми годами, особенно в сопоставлении с 2023 г. (риc. 2).
Рис. 2. Частота встречаемости титров естественных антител в разные годы среди доноров с A(II) группой крови в Сургуте. Столбцы ошибок обозначают стандартное отклонение, указаны статистически значимые различия при сравнении между годами и между мужчинами и женщинами, p <0,05.
Fig. 2. Prevalence of natural antibody titers across different years in type A(II) blood donors in Surgut. Error bars represent standard deviation; significant differences are indicated for comparisons across years and between male and female donors, p < 0.05.
При изучении естественных групповых антител A(II) группы у женщин-доноров Сургута мы определили разные варианты титров, максимальный из которых достигал значения 1:256. В исследуемые годы титр 1:2 выявляли с частотой от 0,6% в 2016 г. до 6% в 2023, что представляет наивысшее значение за это время. Частота встречаемости титра 1:4 варьировала от 5,1 до 13,7% в 2023 г. Титр 1:8 демонстрировал схожие показатели за исследуемые годы — от 22 до 25%, за исключением 2015 и 2017 гг., когда его частота составила 19%. Максимальная частота встречаемости установлена для титра 1:16 — от 26 до 32% в разные годы, однако в 2023 г. этот показатель снижен до 22,6%. Кроме того, в 2023 г. снижена частота встречаемости титра 1:32 по сравнению с предыдущими годами (22–27%). Титр 1:64 сохранял относительную стабильность, встречаясь с частотой от 8,7 до 13,7%. У женщин-доноров выявлен титр 1:128: в 2010 г. его частота составляла 2,6%, а наибольшее значение — 7% (зафиксировано в 2016 г.). В представленном исследовании ежегодно у женщин мы выявляли титр 1:256 с частотой от 0,17 до 1,5%. При сравнении распределения титров естественных антител системы АВО A(II) группы крови у женщин-доноров Сургута в разные годы выявлены статистически значимые различия.
При сравнении частоты встречаемости титров естественных антител A(II) группы крови между мужчинами- и женщинами-донорами Сургута выявлены статистически значимые различия.
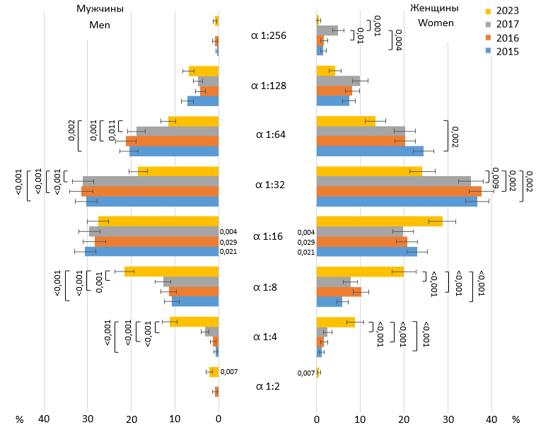
Анализ частоты встречаемости естественных антител B(III) группы крови у мужчин-доноров Сургута показал, что титр 1:2 определяли редко: в 2016 и 2023 гг. — 0,98 и 2% соответственно. Титр 1:4 варьировал от 0,5 до 11,3% в 2023 г. В том же году наблюдали высокую частоту встречаемости титра 1:8 — 21,6%, в то время как в предыдущие годы — 10,6–12,7%. Титр 1:16 в 2023 г. регистрировали с частотой 27,6%, при этом наибольшее её значение — 30,6%, зафиксированное в 2015 г. Титр 1:32 демонстрировал наибольшую частоту встречаемости с 2015 по 2017 г., что составило от 30,3 до 31,4%, однако в 2023 г. его частота снижена до 18,4%. Частота титра 1:64 в представленные годы варьировала от 18,8 в 2017 до 21,2% в 2016 г., а в 2023 она составила 11,5%. Титр 1:128 выявляли с частотой от 4,2 до 7% в разные годы. В отдельных случаях у мужчин c B(III) группой крови регистрировали титр 1:256, достигавший максимальной частоты встречаемости в 2016 г. — 1%. Мы не выявили статистически значимые различия в распределении титров естественных антител у доноров мужчин B(III) группы крови в зависимости от года исследования.
У женщин с B(III) группой крови титр 1:2 зафиксирован только в 2023 г. и составил 0,4%. Титр 1:4 продемонстрировал самую высокую частоту встречаемости также в 2023 г. — 8,8%, тогда как в предыдущие годы он варьировал от 1,2 до 2,5% в 2017 г. Естественные α-антитела в титре 1:8 выявляли от 5,9 до 19,9% случаев в 2023 году. Частота встречаемости титра 1:16 варьировала от 20,4 до 28,7% в 2023 г. Этот показатель наиболее высокий в данном титре. Титр 1:32 демонстрировал максимальную частоту встречаемости в 2008 г. — 40,7%, однако к 2023 её значение было наименьшее и составило 24%. Частота встречаемости титра 1:64 составила от 13% в 2023 г. (наименьшее), а максимальная выявлена в 2015 г. — 22,9%. Частота встречаемости титра 1:128 у женщин с B(III) группой крови варьировала от 3% в 2008 г. до 9,7% в 2017 (рис. 3). Самый активный титр в представленных группах 1:256 обнаружен с частотой от 0,2 до 4% в 2017 г. соответственно. Выявлены статистически значимые различия в частоте встречаемости титров естественных антител B(III) группы крови у женщин-доноров Сургута в зависимости от года исследования.
Кроме того, установлены статистически значимые межполовые различия при распределении встречаемости естественных антител B(III) группы крови у доноров Сургута (см. рис. 3).
Рис. 3. Частота встречаемости титров естественных антител в разные годы среди доноров с B(III) группой крови в Сургуте. Столбцы ошибок обозначают стандартное отклонение, указаны статистически значимые различия при сравнении между годами и между мужчинами и женщинами, p <0,05.
Fig. 3. Prevalence of natural antibody titers across different years in type B(III) blood donors in Surgut. Error bars represent standard deviation; significant differences are indicated for comparisons across years and between male and female donors, p < 0.05.
Обсуждение
По нашим наблюдениям, у доноров с O(I) группы крови активность естественных антител начиналась с титров 1:2 и 1:4. В 2023 г. отмечено снижение количества вариантов сочетаний титров как у мужчин, так и у женщин. Высокую частоту встречаемости наблюдали в сочетании титров 1:32 и 1:16. У женщин также выявлено увеличение частоты встречаемости титров 1:64 и 1:128. Максимальные значения активности титров у доноров O(I) группы крови достигали 1:512. В A(II) группе крови наибольшую частоту встречаемости наблюдали для титров 1:8 и 1:16 у мужчин, а также 1:16 и 1:32 у женщин. Для B(III) группы крови характерно преобладание титров 1:16 и 1:32 у мужчин, а у женщин 1:32. Максимально зарегистрированный титр в A(II) и B(III) группах составлял 1:256. У мужчин и у женщин наблюдали схожую представленность вариантов титров и тенденцию изменения их процентного соотношения к 2023 г. Отмечены особенности частоты встречаемости титров естественных антител, у женщин чаще выявляли повышенные титры, что позволяет предположить наличие дополнительной стимуляции продукции антител вследствие перенесённых разногруппных беременностей.
Согласно М.М. Зиганшиной и соавт. [9], естественные антитела играют важную роль в поддержании гомеостаза. Авторы рассматривают их как значимый регуляторный компонент сети идиотип-антиидиотипических взаимодействий, оказывающий как стимулирующее, так и супрессорное влияние на все звенья иммунной системы.
Статистически значимые различия, выявленные в нашем исследовании по сравнению с 2023 г. (постковидный период), могут быть обусловлены последствиями перенесённой инфекции COVID-19. Известно, что фенотип Оαβ(I) обеспечивает устойчивость индивида к инфицированию вирусом SARS-CoV-2 и более лёгкое течение заболевания. Об этом свидетельствуют результаты исследования С.И. Донскова и соавт. [5], указывающие на защитную роль данного фенотипа. В то же время фенотип Аβ(II) ассоциирован с повышенным риском тяжёлого течения COVID-19, осложнений и смертности. Кроме того, зарубежные авторы выдвигают гипотезы о том, что антигены системы АВО на поверхности клеток могут участвовать в процессе проникновения вируса и определять характер иммунного ответа. В частности, наличие антител к антигену A может играть защитную роль, блокируя вирусные частицы и препятствуя их связыванию с рецепторами клеток [5, 11]. Наши результаты подтверждают данные литературы о снижении содержания антител в сыворотке крови при сохранении их в слюне — как показателя иммунитета слизистой оболочки дыхательных путей. E.M. Matzhold и соавт. [14] предполагают, что антитела системы АВО участвуют в механизмах защиты от SARS-CoV-2. Тем не менее необходимы дальнейшие исследования молекулярных механизмов, объясняющих вклад естественных антител в патогенез инфекции, вызванной данным вирусом.
Ранее частоту встречаемости естественных антител системы АВО антител изучали Н.Н. Меркулова [24] среди доноров Сургута, Е.А. Хромова [25] — среди представителей этнической группы ханты, С.А. Ильдебенева [26] — в популяции доноров Нижневартовска. В других регионах России аналогичные исследования проводили О.Н. Смирнова и соавт. [27] в Ставропольском крае, а также Л.А. Гусаченко [3] среди этнических групп мокша и эрзя Республики Мордовия. Кроме того, изучены популяции доноров Ирана, Бразилии, Малайзии, Таиланда и др. Однако прямое сравнение полученных результатов затруднено из-за различий в методах титрования, форматах представления данных и объёмах выборки. Это делает некорректным сопоставление с результатами, полученными в популяции доноров Сургута. Учитывая практическую значимость определения содержания естественных антител необходимо разработать единые подходы и методики титрования.
Таким образом, наши результаты подчёркивают необходимость дальнейших исследований, направленных на повышение точности оценки содержания антител системы АВО. Актуальность изучения частоты встречаемости естественных антител сохраняется в связи с недостаточной освещённостью данной темы в современной литературе.
Показатели, полученные в донорской популяции, могут быть репрезентативными для населения города в целом, поскольку донорское движение охватывает широкий спектр социально и физиологически активных лиц. Иммунная система доноров Сургута активно реагирует выработкой естественных нормальных групповых антител, что имеет большое значение при изучении физиологической структуры популяции в конкретных условиях среды. Изучение естественных нормальных антител позволяет установить различие или сходство отдельных физиологических показателей и физиологического статуса популяций в целом.
Заключение
Проведённое исследование демонстрирует модификацию постоянства внутренней среды организма в постпандемийный период в виде изменения частоты встречаемости титров естественных α- и β-антител.
Мы выявили высокую частоту встречаемости естественных антител в титрах 1:32, 1:16 и 1:8, а также обнаружили случаи активных титров α- и β- антител с содержанием 1:128 и 1:256. Установлены гендерные различия в частоте распространения титров естественных антител: у мужчин с A(II) группой крови чаще регистрировали титры 1:8 и 1:16, тогда как у женщин — 1:16 и 1:32. В донорской популяции с B(III) группой крови титры 1:16 и 1:32 чаще встречали у мужчин, а у женщин преобладали титры 1:32. Таким образом, мы можем говорить о наличии половых различий в содержании естественных антител у доноров Сургута. Сравнительный анализ данных за 2015, 2016, 2017 и 2023 гг. показал, что в постковидный период произошло смещение в сторону преобладания титров с более низкими значениями, что, возможно, связано с особенностями иммунного ответа, сформированного после перенесённой инфекции SARC-CoV-2.
Мы рассмотрели активность естественных антител с точки зрения адаптации популяции к новым условиям среды и поддержания иммунологического гомеостаза с позиции физиологической адаптированности популяции. Это является одной из задач адаптационной физиологии и экологии, а также оценки экологического своеобразия состояния популяции. Кроме этого, значение участия естественных антител системы ABО в гомеостазе изучено недостаточно, поэтому процесс антителообразования требует дополнительного изучения. Рассмотрение данного, ранее недостаточно изученного, аспекта естественной иммунизации представляет важность как для дальнейшего совершенствования прикладной трансфузиологии, так и для установления общепопуляционных закономерностей антителообразования.
Дополнительная информация
Вклад авторов. Л.А. Гусаченко — сбор данных, анализ и интерпретация результатов, обзор литературы, подготовка и написание текста рукописи; О.Г. Литовченко — концепция и дизайн исследования, обзор литературы, редактирование текста рукописи; Р.Р. Габидуллина — сбор данных, анализ и интерпретация результатов; Ю.А. Чемакин — концепция и дизайн исследования, обзор литературы, редактирование текста рукописи. Все авторы подтверждают соответствие своего авторства международным критериям ICMJE (все авторы внесли существенный вклад в разработку концепции, проведения исследования и подготовку статьи, прочли и одобрили финальную версию перед публикацией).
Этическая экспертиза. Проведение исследования одобрено локальным этическим комитетом Сургутского государственного университета (протокол заседания № 26 от 29.09.2021).
Источники финансирования. Отсутствуют.
Раскрытие интересов. Авторы заявляют об отсутствии отношений, деятельности и интересов за последние три года, связанных с третьими лицами (коммерческими и некоммерческими), интересы которых могут быть затронуты содержанием статьи.
Оригинальность. При создании настоящей работы авторы не использовали ранее опубликованные сведения (текст, иллюстрации, данные).
Доступ к данным. Все данные, полученные в настоящем исследовании, доступны в статье.
Генеративный искусственный интеллект. При создании настоящей статьи технологии генеративного искусственного интеллекта не использовали.
Рассмотрение и рецензирование. Настоящая работа подана в журнал в инициативном порядке и рассмотрена по обычной процедуре. В рецензировании участвовали два внешних рецензента, член редакционной коллегии и научный редактор издания.
ADDITIONAL INFORMATION
Author contributions: L.A. Gusachenko: data curation, formal analysis, investigation, writing—original draft; O.G. Litovchenko: conceptualization, methodology, investigation, writing—review & editing; R.R. Gabidullina: data curation, formal analysis; Yu.A. Chemakin: conceptualization, methodology, investigation, writing—review & editing. All authors confirm that their authorship meets the international ICMJE criteria (all authors made substantial contributions to the conceptualization, investigation, and manuscript preparation, and reviewed and approved the final version prior to publication).
Ethics approval: The study was approved by the Local Ethics Committee of Surgut State University (Protocol No. 26 of September 29, 2021).
Funding sources: No funding.
Disclosure of interests: The authors have no relationships, activities, or interests for the last three years related to for-profit or not-for-profit third parties whose interests may be affected by the content of the article.
Statement of originality: No previously published material (text, images, or data) was used in this work.
Data availability statement: All data generated during this study are available in this article.
Generative AI: No generative AI technologies were used to prepare this article.
Provenance and peer review: This paper was submitted unsolicited and reviewed following the standard procedure. The peer review process involved two external reviewers, a member of the editorial board, and the in-house scientific editor.
About the authors
Lyudmila A. Gusachenko
Surgut State University; Blood Transfusion Station, Surgut
Author for correspondence.
Email: LA264648@mail.ru
ORCID iD: 0000-0002-1641-9856
SPIN-code: 5855-6368
Cand. Sci. (Biology)
Russian Federation, Surgut; SurgutOlga G. Litovchenko
Surgut State University
Email: olgalitovchenko@mail.ru
ORCID iD: 0000-0002-8368-2590
SPIN-code: 5908-4625
Dr. Sci. (Biology), Professor
Russian Federation, SurgutRozalija R. Gabidullina
Blood Transfusion Station, Surgut
Email: yarosalija@yandex.ru
ORCID iD: 0009-0008-4213-5241
Russian Federation, Surgut
Yuriy A. Chemakin
Blood Transfusion Station, Surgut
Email: ychemakin1761@mail.ru
ORCID iD: 0009-0002-2329-717X
SPIN-code: 6676-7057
Russian Federation, Surgut
References
- Agadzhanjan NA, Batocyrenova TE, Semenov YuN. Ecological, physiological and ethnic features of human adaptation to various environmental conditions: monograph. Vladimir: Vladimirskij gos. un-t; 2009. (In Russ.) ISBN: 978-5-9984-0004-9 EDN: QKSMKX
- Agadzhanyan NA, Makarova II. Ethnic aspect of adaptative physiology and population morbidity. Ekologiya cheloveka (Human Ecology). 2014;21(3):3–13. doi: 10.17816/humeco17248 EDN: RYIEWT
- Gusachenko LA, Litovchenko OG. Natural AB0 antibodies in moksha and erzya ethnic groups of the Mordovia Republic. Ekologiya cheloveka (Human Ecology). 2020;27(8):26–32. doi: 10.33396/1728-0869-2020-8-26-32 EDN: FSVJBQ
- Porunova AK, Morozova VV, Tsiroulnikova IE, et al. Titration method of AB0 antibodies with the use of modern gel technology in AB0-incompatible transplantation. Russian Journal of Transplantology and Artificial Organs. 2015;XVI(4):40–44. doi: 10.15825/1995-1191-2014-4-40-44 EDN: TGFFJZ
- Donskov SI, Bulanov AY, Simarova IB, et al. AB0 and rhesus blood groups as a risk factor for ARVI COVID-19. Russian Clinical Laboratory Diagnostics. 2021;66(11):661–665. doi: 10.51620/0869-2084-2021-66-11-661-665 EDN: GBSPJZ
- Haghighi HR, Gong J, Gyles CL, et al. Probiotics stimulate production of natural antibodies in Chickens. Clinical and Vaccine Immunology. 2006;13(9):975–980. doi: 10.1128/CVI.00161-06
- Parmentier HK, De Vries Reilingh G, Lammers A. Decreased specific antibody responses to α-Gal-conjugated antigen in animals with preexisting high levels of natural antibodies binding α-Gal Residues. Poultry Science. 2008;87(5):918–926. doi: 10.3382/ps.2007-00487 Khasbiullina NR, Bovin NV. Hypotheses of the origin of natural antibodies: a glycobiologist's opinion. Biochemistry. 2015;80(7):980–997. EDN: UCDGHB
- Ziganshina MM, Bovin NV, Sukhikh GT. Natural antibodies as a key element of the mechanism supporting homeostasis in immune system. Immunologiya. 2013;(5):277–282. EDN: RMTUZB
- Mineeva NV, Krobinets II, Gavrovskaya SV, et al. Blood group genotyping in multi-transfused patients. Kazan medical journal. 2021;102(5):621–625. doi: 10.17816/KMJ2021-621 EDN: DIOOWO
- Zubareva LM, Donskov SI. Blood groups and acute respiratory viral infection COVID-19. Russian journal of hematology and transfusiology. 2022;67(1):122–130. doi: 10.35754/0234-5730-2022-67-1-122-130 EDN: BDFRMJ
- Ray JG, Schull MJ, Vermeulen MJ, Park AL. Association between ABO and Rh blood groups and SARS-CoV-2 infection or severe COVID-19 Illness. Annals of Internal Medicine. 2021;174(3):308–315. doi: 10.7326/m20-4511 EDN: WBQVMB
- Grujić J, Budakov-Obradović Z, Klašnja J, et al. Blood group variations in COVID-19 Convalescent plasma and regular blood donors: a comparative analysis in the Serbian population. Microorganisms. 2024;12(5):915. doi: 10.3390/microorganisms12050915 EDN: BWZVVT
- Matzhold EM, Körmöczi GF, Banfi C, et al. Lower Levels of ABO Anti-A and Anti-B of IgM, IgG and IgA isotypes in the serum but not the saliva of COVID-19 convalescents. Journal of Clinical Medicine. 2022;11(15):4513. doi: 10.3390/jcm11154513 EDN: XITRRT
- Flegel WA. Pathogenesis and mechanisms of antibody-mediated hemolysis. Transfusion. 2015;55(S2):S47–S58. doi: 10.1111/trf.13147 EDN: MHKYZS
- Robbins M, Huish S, Griffiths A, et al. Influence of donor age, sex and ethnicity on high-titre anti-A and -B: Review of 6 million donations from two national blood providers. Vox Sanguinis. 2024;119(9):987–995. doi: 10.1111/vox.13697 EDN: LCSWJU
- de França ND, Poli MC, Ramos PG, et al. Titers of ABO antibodies in group O blood donors. Rev Bras Hematol Hemoter. 2011;33(4):259–262. doi: 10.5581/1516-8484.20110073
- Denomme GA, Anani WQ. ABO titers: harmonization and identifying clinically relevant ABO antibodies. Transfusion. 2020;60(3):441–443. doi: 10.1111/trf.15726 EDN: RXHKMJ
- Park ES, Jo KI, Shin JW, et al. Comparison of total and IgG ABO antibody titers in healthy individuals by using tube and Column Agglutination Techniques. Annals of Laboratory Medicine. 2014;34(3):223–229. doi: 10.3343/alm.2014.34.3.223
- Yin S, Tan Q, Yang Y, et al. Transplant outcomes of 100 cases of living-donor ABO-incompatible kidney transplantation. Chinese Medical Journal. 2022;135(19):2303–2310. doi: 10.1097/cm9.0000000000002138 EDN: DZWHCX
- Krishnan N, Higgins R, Short A, et al. Kidney Transplantation Significantly Improves Patient and Graft Survival Irrespective of BMI: A Cohort Study. American Journal of Transplantation. 2015;15(9):2378–2386. doi: 10.1111/ajt.13363
- Won D, Choe W, Kim H, et al. Significance of isoagglutinin titer in ABO-incompatible kidney transplantation. Journal of Clinical Apheresis. 2013;29(5):243–250. doi: 10.1002/jca.21312
- Mineeva NV. Human blood groups: fundamentals of immunohematology. 2nd edition. Saint Petersburg: Gangut; 2020. (In Russ.) ISBN: 978-5-85875-600-2 EDN: ZWWHNF
- Merkulova NN. Prevalence, physiological and immunoserological characteristics of natural and immune group antibodies of the ABO system in residents of the Middle Ob region [dissertation]. Moscow; 1999. (In Russ.) EDN: QDDCAZ
- Hromova EA. Immunoserological characteristics of the blood of the aborigines of the Middle Ob region [dissertation abstract]. Tyumen; 2003. 22 p. (In Russ.) EDN: NHILYV
- Ildebeneva SA. Features of distribution of immunoserological characteristics of blood of Khanty and new settlers of the northern city [dissertation]. Naberezhnye Chelny; 2013. (In Russ.) EDN: SUWXPL
- Smirnova ON, Bondar TP, Hlipavka NA. Alloimmunization with group antigens of erythrocytes depending on the type of activity and geographic location of donors. Vestnik sluzhby krovi Rossii. 2012;(1):6–8. (In Russ.) EDN: OWYXFB
Supplementary files







