Age-related characteristics of functional development of the circulatory system in schoolchildren from indigenous minorities of the Russian Northeast: a cross-sectional study
- Authors: Loskutova A.N.1
-
Affiliations:
- "Arctic" Research Center, Far Eastern Branch of the Russian Academy of Sciences
- Issue: Vol 32, No 4 (2025)
- Pages: 246-256
- Section: ORIGINAL STUDY ARTICLES
- Submitted: 16.04.2025
- Accepted: 23.06.2025
- Published: 28.07.2025
- URL: https://hum-ecol.ru/1728-0869/article/view/678605
- DOI: https://doi.org/10.17816/humeco678605
- EDN: https://elibrary.ru/JMUCAG
- ID: 678605
Cite item
Abstract
Background: Changes in cardiovascular functioning are among the key criteria for assessing the adaptive potential of the human body and general health status.
Aim: To examine age-related changes in functional parameters of the cardiovascular system (CVS) in schoolchildren belonging to the indigenous minorities of the Russian Northeast.
Methods: Between 2021 and 2023, key cardiovascular parameters were analyzed in 174 girls and 196 boys belonging to the Indigenous Minorities of the North (Even, Koryak, and Itelmen), who accounted for 62.5% of the total sample (592 individuals). Participants were seated at rest, and blood pressure and heart rate were measured three times using the Nissei DS–1862 automatic blood pressure monitor (Japan). The following parameters were calculated using conventional methods: stroke volume, cardiac output, total peripheral vascular resistance, Kerdo autonomic index, cardiac index, type of circulatory self-regulation, and functional change index.
Results: The most intensive functional development of the circulatory system in boys was observed between the ages of 13 and 16 years, whereas girls characterized by earlier changes beginning at 10–11 years, continuing into adolescence. Throughout the age-related changes of all examined parameters, no stable trend toward a decrease in heart rate was identified. A high prevalence of tachycardia and increased sympathetic activity of the autonomic nervous system was observed in adolescents. Boys aged 14–15 years had higher stroke volume compared with the girls, and those aged 16–17 years showed higher systolic and pulse pressure. The girls demonstrated higher mean diastolic blood pressure at the age of 14–15 years and greater total peripheral resistance at the age of 14 years. Regardless of sex, the cardiac type of circulatory self-regulation predominated. A hyperkinetic circulation type prevailed across age groups, except in 17-year-old boys, who demonstrated a eukinetic circulation type.
Conclusion: Age-related changes in the functional development of the circulatory system in schoolchildren belonging to the indigenous populations occur against a background of satisfactory adaptation, though with evidence of regulatory strain during transient exposure to environmental factors.
Full Text
Background
At present, the population of the Magadan region primarily consists of first- to third-generation descendants of Slavic settlers (individuals of European descent). Among adolescent males in Magadan—including indigenous individuals (ab origine—Latin for “from the beginning”), migrants, and long-settled individuals of European descent—researchers have observed a convergence of several physiological parameters. These processes are regarded by some authors as a specific stage of convergent adaptation. However, each population forms its own distinct ecological profile [1, 2]. The issue of adaptation among indigenous small-numbered peoples of the North is of both theoretical and practical interest. The study of effects of environmental factors and urbanization on the pediatric population remains relevant in age-related and ethnic physiology research [3]. This is due to the fact that growth and development in children have distinct biological natures and underlying mechanisms: growth processes lead to proportional changes, whereas the development of functional systems results in qualitative changes in physiological regulation [4].
Under the influence of environmental factors, transformations occur in the children’s development that shape optimal morphofunctional characteristics of the body. Regulatory changes in the cardiovascular system (CVS) are among the primary criteria for assessing the body's adaptive capacity. The influence of the latitudinal factor on the development of arterial hypertension and increased strain on regulatory systems in adolescents of European descent has been demonstrated [5–7]. There is also a hypothesis that natural and climatic conditions influence the formation of morphofunctional traits in adolescents from indigenous small-numbered peoples of the North living in different regions (Krasnoyarsk region, Republic of Sakha [Yakutia]) [8]. In the Magadan region, a significant proportion of indigenous adolescent boys exhibit signs of sympathicotonia, which is accompanied by reduced adaptive capacity [9]. Psychophysiological parameters among indigenous peoples demonstrate lower nervous system responsiveness and greater instability of the nervous system compared with mid-latitude norms [10]. The functional capacity of children’s regulatory systems during growth and development depends on natural and climatic conditions, socioeconomic status, and other regional factors.
Aim
To explore the age-related changes in functional parameters of the cardiovascular system among school-aged children from indigenous small-numbered peoples of the Northeastern Russia.
Methods
Study Design
A single-center cross-sectional study was conducted, including analysis of cardiovascular parameters in school-aged children—indigenous peoples of Northeastern Russia (long-settled of European descendants, indigenous populations).
Study Setting
Between 2021 and 2023, cardiovascular parameters were recorded in 592 school-aged children during the spring period (March–April). The study was conducted at the medical office of a municipal general education school in the urban-type settlement of Evensk (Magadan region, Severo-Evensky district).
Eligibility Criteria
Inclusion Criteria:
- school-aged children aged 7 to 18 years;
- indigenous peoples of Northeastern Russia;
- informed consent from the child's legal guardians and assent from the child;
- absence of diagnosed neurological, psychiatric, or chronic somatic diseases;
- three repeated measurements of the studied parameters.
Non-Inclusion Criteria:
- chronic diseases (especially affecting the central nervous, endocrine, or cardiovascular systems);
- use of drugs affecting cognitive or motor functions (antidepressants, sedatives, stimulants, etc).
Exclusion Criteria:
- missing data for the participant in the required number of measurements.
The study was approved by the Local Ethics Committee of the Scientific Research Center Arktika, Far Eastern Branch of the Russian Academy of Sciences (Conclusion No. 002/021 dated November 26, 2021).
Participant Groups
According to the aim of the study, sex- and age-specific groups were formed based on ethnicity (Evens, Koryaks, Itelmens), using the social profile of school classes. After excluding 28 children (insufficient heart rate data—4.7% of the total sample), a final sample of 370 participants was formed (196 boys and 174 girls, representing 62.5% of the total). Participant were distributed by age and sex according to anthropological principles (boys/girls): 8 years (from 7 years 6 months to 8 years 5 months 29 days)—23/14; 9 years—22/11; 10 years—14/14; 11 years—12/12; 12 years—15/21; 13 years—19/29; 14 years—21/24; 15 years—23/14; 16 years—20/16; 17–18 years—27/19.
Study Outcomes
Primary Outcome
The primary outcomes of the study were age-related changes in CVS parameters among school-aged children—indigenous peoples of Northeastern Russia. The following basic hemodynamic parameters were analyzed: systolic blood pressure (SBP, mm Hg), diastolic blood pressure (DBP, mm Hg), and heart rate (HR, bpm). Functional components of hemodynamics were also calculated.
Secondary Outcomes
A comparative analysis was performed for the type of circulatory autoregulation (TCA) and the index of functional alterations (IFA) across different age groups [11–13].
Measurement Methods of Target Outcomes
To assess the cardiovascular system in school-aged children, SBP, DBP, and HR were recorded three times in the seated position. Measurements were performed using Nissei DS-1862 Automatic Blood Pressure Monitor (Nihon Seimitsu Sokki Co., Ltd, Japan). The parameters were calculated using the following formulas:
- stroke volume (SV, mL):
for children ≥15 years: SV = [(101 + 0.5 × PP) − 0.6 × DBP] − 0.6 × A;
for children <15 years: SV = [(40 + 0.5 × PP) - (0.6 × DBP)] + 3.2 × A,
where PP = SBP − DBP; PP is pulse pressure, mm Hg; A is age, years;
- Kerdo vegetative index (KVI):
KVI = (1 − DBP/HR) × 100;
- total peripheral vascular resistance (TPVR, dyn×s×cm⁻⁵):
TPVR = (DBP + 0.42 × PP) × 79,980/CO,
where CO = SV × HR; CO is cardiac output, L/min;
- cardiac index (CI, L/[min×m²]):
CI = CO/S,
where S is body surface area calculated using the Du Bois formula;
- type of circulatory autoregulation (TCA):
TCA = (DBP/HR) × 100.
Sensitivity Analysis
Sensitivity analysis was not performed in this study.
Statistical Procedures
Sample size was not calculated a priori. Data were analyzed using Statistica 6.0 software (StatSoft Inc., USA). The Shapiro-Wilk test was used to assess the normality of distribution. For variables with a normal distribution, parametric methods were applied: Student’s t-test for comparison of independent samples and one-way analysis F-test (ANOVA), for variables with non-normal distribution, the Mann–Whitney (U) test and Kruskal–Wallis (H) test were used, respectively. The χ2-test with Yates continuity correction was used to compare proportions. Results are presented as M±m, where M is the sample mean, and m is the standard error; or as Me (Q1; Q3), where Me is the median, and Q1 and Q3 are the 25th and 75th percentiles, respectively. Differences were considered statistically significant at р <0.05.
Results
Participants
The study included 370 children from indigenous small-numbered peoples of the North (Even, Koryak, Itelmen), comprising 196 boys and 174 girls (62.5% of the total sample).
Primary Results
Among children aged 7 to 18 years, there was a consistent increase in SBP, SV, and CO (F=4.1–29.6; p < 0.001), DBP (F=2.5–2.8; p < 0.01), and PP (F=2.2–4.4; p < 0.05), alongside a decrease in TPVR and the KVI (F=2.9–6.4; p < 0.01) (Table 1). However, the rates of age-related changes were uneven and heterochronic. The absolute increase in SBP was more significant in boys (16.8 mm Hg) compared to girls (11.7 mm Hg), whereas changes in DBP were comparable (8.3 and 7.5 mm Hg, respectively). A statistically significant increase in DBP was observed only in 14-year-old girls and 16-year-old boys compared with younger age groups. Moreover, DBP in girls aged 14 to 15 years was significantly higher than in boys of the same age. Opposite differences in SBP were noted at ages 16 and 17, which was also reflected in PP patterns in the compared groups. HR showed variability with a statistically non-significant decrease: 8.33 bpm in boys (F=1.3; p=0.251) and 3.75 bpm in girls (F=1.7; p=0.091). No sex differences were detected, despite an increase in HR among 15-year-old girls compared to the younger age group.
Table 1. Age-related changes of hemodynamic parameters in schoolchildren residing in the Magadan Region
Parameter | Sex | Age (years) | |||||||||
8 | 9 | 10 | 11 | 12 | 13 | 14 | 15 | 16 | 17 | ||
1 BP (mm Hg) | B | 103.8±1.49 | 102.3±1.63 | 105.6±1.71 | 108.1±2.39 | 104.1±2.63 | 105.4±2.76 | 112.5±2.23 | 115.4±2.85 | 118.1±2.25 | 120.6±1.95 |
G | 99.3±2.73 | 99.1±2.25 | 100.7±2.00 | 101.4±2.61 | 104.6±2.00 | 106.4±2.58 | 113.3±2.54 | 115.6±3.70 | 106.8±3.28β | 111.0±2.76β | |
1 DBP (mm Hg) | B | 59.5±1.53 | 62.6±1.81 | 65.8±2.17 | 66.4±3.05 | 62.7±1.92 | 62.6±2.05 | 62.0±1.86 | 64.0±1.68 | 69.4±1.93* | 67.8±2.06 |
G | 60.1±1.72 | 62.7±1.91 | 66.9±2.15 | 61.9±2.49 | 67.1±2.08 | 64.0±1.35 | 68.1±1.46*β | 70.4±2.21β | 68.8±1.95 | 67.6±1.86 | |
2 HR (b/min) | B | 90(76;96) | 83(79;93) | 83(75;90) | 83(76;97) | 81(68;88) | 77(73;87) | 79(74;89) | 84(72;95) | 85(75;94) | 79(66;93) |
G | 88(80;94) | 91(81;103) | 79(75;93) | 81(74;87) | 86(79;97) | 81(75;88) | 78(70;87) | 90(78;98)* | 79(76;87) | 86(76;92) | |
1 PP (mm Hg) | B | 44.4±1.70 | 39.6±1.85 | 39.8±2.56 | 41.7±2.94 | 41.3±2.04 | 43.0±2.82 | 50.6±1.90* | 51.4±2.91 | 48.7±2.60 | 52.8±2.64 |
G | 39.2±1.85 | 36.4±2.92 | 33.9±2.04 | 40.2±1.49* | 37.5±2.67 | 42.4±2.35 | 45.3±2.47 | 45.2±2.90 | 38.0±2.84β | 43.4±2.24β | |
1 CO (L/min) | B | 4.5±0.17 | 4.4±0.14 | 4.4±0.17 | 4.8±0.25 | 4.9±0.20 | 5.3±0.18 | 5.9±0.18* | 6.9±0.30* | 6.2±0.26 | 5.9±0.19 |
G | 4.3+0.19 | 4.5±0.29 | 4.1±0.18 | 4.8±0.16* | 5.0±0.26 | 5.3±0.17 | 5.3±0.24 | 6.6±0.32* | 5.6±0.26* | 6.1±0.23 | |
1 SV. mL | B | 52.0±1.54 | 50.8±1.77 | 52.6±2.37 | 56.4±3.06 | 61.9±1.67 | 65.8±2.12 | 73.2±1.67* | 79.3±2.03* | 74.1±2.16 | 76.4±2.34 |
G | 48.7±1.27 | 49.4±2.41 | 48.8±1.96 | 58.1±1.60* | 57.2±2.43 | 64.4±1.52* | 66.6±1.64β | 72.3±1.94*β | 69±2.05 | 71.7±1.99 | |
1 TPVR (dyn×s×cm–5) | B | 1434±69 | 1491±66 | 1545±83 | 1451±85 | 1330±58 | 1256±59 | 1160±53 | 1045±44 | 1187±40* | 1260±52 |
G | 1442+66 | 1462±117 | 1643±113 | 1355±72* | 1465±163 | 1281±52 | 1354±55.9β | 1126±51.2* | 1237±65 | 1142±39 | |
1 CI (L/[min×m2) | B | 4.68±0.22 | 4.23±0.16 | 4.01±0.21 | 4.16±0.19 | 3.95±0.18 | 3.87±0.16 | 4.05±0.15 | 4.26±0.18 | 3.85±0.17 | 3.48±0.14 |
G | 4.80±0.26 | 4.67±0.26 | 3.89±0.21* | 4.01±0.17 | 3.88±0.26 | 3.87±0.20 | 3.69±0.18 | 4.37±0.22* | 3.78±1.14* | 4.00±1.15β | |
2 KVI (conventional units) | B | 32(24;39) | 27(24;34) | 21(14;29) | 23(21;29) | 20(14;27) | 20(16;26) | 23(10;35) | 24(13;33) | 14(7;24) | 14(6;13) |
G | 32(26;36) | 30(23;38) | 18(14;28) | 23(20;27) | 24(12;33) | 21(12;30) | 13(3;24)β | 21(11;30) | 11(7;10) | 18(15;26)β | |
2 TSC (conventional units) | B | 68(61;76) | 73(66;76) | 79(70;86) | 77(70;80) | 80(70;87) | 80(72;85) | 77(65;90) | 76(66;89) | 86(76;93) | 86(80;94) |
G | 68(62;75) | 70(61;80) | 82(71;86) | 78(72;80) | 76(67;88) | 79(70;88) | 87(75;98)β | 79(69;89) | 89(74;93) | 82(72;85)β | |
1 IFI (conventional units) | B | 1.85±0.05 | 1.84±0.05 | 1.87±0.06 | 1.96±0.09 | 1.76±0.78 | 1.79±0.06 | 1.89±0.05 | 1.99±0.07 | 2.07±0.07 | 2.07±0.06 |
G | 1.80±0.08 | 1.83±0.06 | 1.82±0.06 | 1.75±0.14 | 1.93±0.05 | 1.88±0.06 | 1.97±0.07 | 2.21±0.12 | 1.95±0.07 | 2.08±0.09 | |
Note: * differences between age groups of the same sex; p < 0.05; β, sex differences within the same age group, p < 0.05; 1, parametric Student t test, M ± m, where M is sample mean, m is standard error of the mean; 2, non-parametric Mann–Whitney test, Me (Q1; Q3), where Me is median; Q1 and Q3 are 25th and 75th percentiles, respectively. Differences were considered significant at p < 0.05. Abbreviations: B, boys; G, girls; SBP, systolic blood pressure. mm Hg; DBP, diastolic blood pressure, mm Hg; HR, heart rate, beats per minute; PP, pulse pressure, mm Hg; CO, cardiac output, L/min; SV, stroke volume, mL; TPVR, total peripheral vascular resistance, dyn×cm–5×s; KVI, Kerdo vegetative index, conventional units; CI, cardiac index; TSC, type of self-regulation of blood circulation; IFI, index of functional changes.
Cardiac parameters such as SV and CO increased by 24.4 mL and 1.3 L/min in boys and by 23.0 mL and 1.8 L/min in girls, respectively. Boys demonstrated higher mean SV and CO at ages 14 and 15 compared to younger groups, whereas girls exhibited asynchronous changes: SV increased at ages 11, 13, and 15 years, and CO increased at ages 11, 15, and 16 years. Sex differences were identified only for SV at ages 14 and 15, with higher values observed in boys. One of the key parameters of the circulatory system is total peripheral vascular resistance, reflecting the resistance of resistive vessels to blood flow and the precapillary patency. TPVR decreased with age: by 174 dyn×s×cm⁻⁵ in boys and by 300 dyn×s×cm⁻⁵ in girls. Age-related changes in TPVR were observed in girls at ages 11 and 15 compared to younger groups, and in boys at age 16 years. It should be noted that age-related changes in TPVR were uneven, and sex differences were recorded only at age 14, with significantly higher values in girls.
Secondary Results
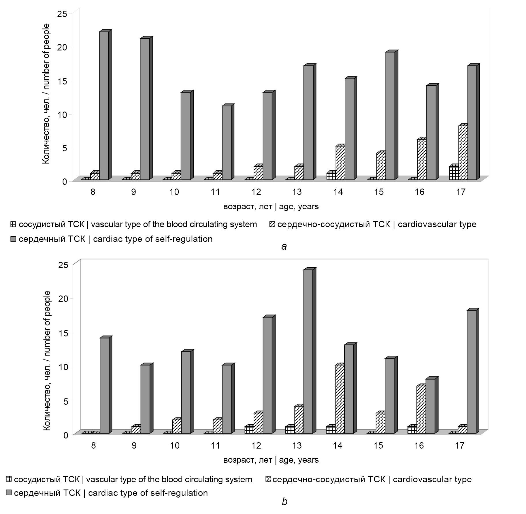
In the age groups studied, mean values indicate a hyperkinetic type of blood circulation (CI >3.5 L/[min×m2]), with the exception of 17-year-old males, who exhibited a eukinetic type of blood circulation (CI ranging from 2.7 to 3.5 L/[min×m2]). At all ages, the predominant type of circulatory autoregulation was cardiac (TCA <90 conventional units), however, intragroup variability was observed (Fig. 1).
Fig. 1. Prevalence of different types of circulatory self-regulation across age groups: a, in boys; b, in girls. Age groups are denoted by numbers 8–17. CSR, circulatory self-regulation type (solid fill, cardiac type; hatching, cardiorespiratory type; cross-hatching, vascular type).
Adverse Events
No adverse events were reported.
Discussion
Summary of Primary Results
According to the study findings, the most significant changes in the CVS occur in boys during adolescence, whereas in girls, these changes begin earlier (10–11 years) and continue through late adolescence. The pace of pubertal transformations and the processes of morphofunctional maturation of organs and systems differ between boys and girls, exhibiting distinct patterns in the regulation of age-related changes. The cardiovascular system is particularly vulnerable during periods of rapid growth, as the development of the arterial component of the vascular network lags behind the increase in heart size, and the heart growth does not keep pace with the overall increase in body size [4].
Interpretation
Comparison of hemodynamic parameters in boys with growth rates in height and body mass [14] revealed synchronous changes in mean SBP, SV, and CO between ages 13 and 16, coinciding with the pubertal growth spurt at 14–15 years. In girls, significant increases in mean SV and CO, along with decreases in TPVR, occurred in two distinct phases: the first at ages 10–11 corresponding to a period of rapid general somatic growth, and the second at 14–15 years. At ages 13–14, SBP increased by 7.1 mm Hg in boys and by 6.9 mm Hg in girls, influencing subsequent changes in PP. According to data, sex differences were observed for SV at ages 14–15, and for SBP and PP at ages 16–17, with higher mean values among boys.
Several studies [15, 16] have reported lower BP values and a lower prevalence of abnormal BP among individuals from indigenous small-numbered peoples of the North (Khanty) compared with the reference values provided in Russian clinical guidelines and regional standards developed for migrant populations of the Khanty-Mansi Autonomous Area–Yugra. Nifontova [17] found that in middle and late school-aged children, BP levels among indigenous peoples were comparable to those of descendants of migrant settlers
According to regional studies [18], school-aged children of European descent from the city of Magadan exhibit the most intensive functional development of the CVS at ages 11–16 in boys and 11–13 in girls. Across all age groups, boys exhibit higher values of SV and cardiac output. At ages 14–17, boys also exceeded girls in SBP and left ventricular contractility. In girls, the mean values of HR, DBP, and TPVR are higher [18]. BP values in indigenous girls were generally consistent with regional norms, except for elevated DBP in 13-year-old European-descendant girls (68.8 ± 0.7 mm Hg). Mean SBP values were lower only in 16–17-year-old indigenous boys compared to European-descendant peers—125.0 ± 1.33 and 126.7 ± 1.30 mm Hg, respectively [18]. The observed convergence of BP values among different ethnic groups is associated with increased rates of longitudinal body growth in schoolchildren from the indigenous population, as confirmed by a previous study [14]. Adolescence is frequently associated with the onset of arterial hypertension and an increased proportion of individuals with high-normal BP (between the 90th and 95th percentiles) [19]. Regional data among 11–17-year-olds of European descent showed that 11.3% of boys and 10.3% of girls had BP near the upper normal range, and hypertension was present in 11.5% and 9.5% respectively [18]. The distribution of BP values [19] in comparable age groups of boys and girls from the indigenous population showed that values approaching the upper limit of normal were observed in 13.0% and 8.1%, respectively, whereas values exceeding the 95th percentile of the distribution were recorded in 8.7% and 8.1%, respectively.
One observed feature of CVS function in the examined boys and girls was the absence of a consistent age-related decrease in HR, as well as elevated values during adolescence (>80 bpm). Resting tachycardia was recorded in 34.8% of boys and 33.1% of girls from the indigenous population, which was significantly higher than in 11–17-year-old children of European descent—18.0% and 20.2%, respectively [18]. High frequency of HR deviations from the norm in children and adolescents from the indigenous small-numbered peoples of Northern Russia has also been reported in other studies [8, 16]. An insufficient decline in HR during puberty may be associated with the fact that, along with age-related enhancement of cholinergic influences on the CVS, the development of the sympathoadrenal system is accompanied by sustained sympathetic activity [4]. Our data confirm positive values of the Kerdo vegetative index in schoolchildren of indigenous population. During the studied ontogenetic period, a decrease in the average values was observed—from 32 conventional units to 14 and 18 conventional units in boys and girls, respectively—indicating enhanced parasympathetic influences on the key physiological functions of the child's body. However, during the growth spurt phase, 14-year-old boys exhibited a more pronounced manifestation of the sympathetic branch of the autonomic nervous system (ANS) compared to girls, whereas by age 17, sex differences reversed in direction.
It is known that changes in SV during growth and development occur proportionally to the anatomical and physiological features of age-related cardiac evolution, including increases in cardiac mass and volume, development of contractile myocardium, and enlargement of cardiac chambers [4]. According to our data, maximum SV was reached at age 15, with boys demonstrating significantly higher SV values after the growth spurt [14]. In subsequent age groups, SV values decreased slightly, with no sex differences observed. According to previous studies [18], SV increases with age among European-descent and exhibits distinct sex differences, reaching peak values at age 17 in boys (92.6±2.3 mL) and in girls (65.2±1.7 mL). Mean SV values in 17-year-old indigenous boys were lower than regional age norms for European descent, whereas girls exhibited the opposite trend. Elevated CO, driven by both increased SV and HR, indicates an inefficient and energy-demanding level of cardiovascular system function [20].
Our findings show that a hyperkinetic circulatory type occurs in 70.9% of boys and 69.9% of girls. Age-related patterns reveal an increasing trend of eukinetic circulation type prevalence only among indigenous boys, whereas in girls the peak occurs at 13–14 years (11 individuals), with a subsequent decline in older age groups (1–7 individuals). A study by Govorukhina and Konkova [16] demonstrated that the hyperkinetic circulation type was more frequent among 8- to 17-year-old Khanty children compared with descendants of migrant settlers. It has been demonstrated that hemodynamic and autonomic support of CVS functioning varies among individuals with different types of circulation (hypo-, eu-, and hyperkinetic). In the hyperkinetic type, hemodynamic support of baseline functioning is achieved through increased SV and CO with elevated HR and SBP, heightened sympathetic tone of the ANS, and central regulatory circuit activity. In the hypokinetic hemodynamic type, circulatory regulation is dominated by the vascular component and parasympathetic ANS activity. In the eukinetic type of central hemodynamics, parameters of CVS function and heart rate variability fall within an intermediate range [21].
With age-related somatic and cardiocirculatory changes, boys and girls from the indigenous population demonstrated satisfactory adaptation (IFA <2.6) [12]. However, the study identified specific features of adaptation based on the TCA, which reflect the level of regulatory strain in the CVS. The balanced autoregulation of circulation is indicated by a cardiovascular TCA (90–110 conventional units). A shift in circulatory regulation toward vascular dominance (TCA >110 conventional units) indicates greater regulatory efficiency and an increase in functional CVS reserves to support long-term adaptation. However, a shift toward cardiac dominance (TCA <90 conventional units) indicates impaired function and reduced adaptive capacity in response to short-term external stressors [11].
Among 13- to 16-year-old European-descendant boys—native residents of the Magadan region—a trend toward elevated HR and predominance of the cardiac type of circulatory autoregulation (63.7%) was observed, compared with their peers from Moscow (44.4%) [22]. In our study, a comparable age group also demonstrated a predominance of the cardiac type of autoregulation in 76.5% of boys and 67.5% of girls, whereas the cardiovascular type of TCA was observed in 19.8% and 28.9%, respectively.
In the age-related pattern, only boys demonstrated a trend toward an increasing proportion of schoolchildren with cardiovascular TCA, which is consistent with findings from studies of European-descendant boys [23]. Among 8- to 16-year-old girls, the prevalence of cardiac and cardiovascular TCA followed an inverted U-shaped pattern (Fig. 1, b). While the peak frequency of the cardiac type of TCA in 12- to 13-year-old girls is likely associated with intensive somatic changes and immature mechanisms of circulatory regulation, by age 17 this functional pattern may indicate maladaptive responses. The observed distribution of cardiac and cardiovascular TCA types in girls may be explained by the fact that early pubertal somatic maturation is accompanied by a more prolonged phase of functional development of the circulatory system. Therefore, their adaptive capacity may require greater mobilization of functional reserves compared to boys.
Study Limitations
The cross-sectional design of the present study does not allow for tracking individual trajectories of cardiovascular system changes during growth and development in children. In addition, the following limitations should be taken into account:
- a relatively small sample size (370 schoolchildren), particularly within certain age subgroups;
- calculation-based methods for determining parameters, which are less accurate compared with data obtained from hardware–software systems for noninvasive central hemodynamic assessment.
Conclusion
The results obtained reflect general patterns in the development of the cardiovascular system in children throughout ontogeny. The most rapid functional development of the circulatory system in school-aged children occurs between the ages of 13 and 16 years in boys, whereas in girls, changes begin earlier—at 10–11 years—and continue into late adolescence.
Among the identified features of circulatory system development in boys and girls were the absence of a consistent decline in HR and a high proportion of adolescents with tachycardia. In a state of relative rest, the regulation of the cardiac chronotropic function in schoolchildren is characterized by physiological hyperactivity of the sympathoadrenal system, which declines with age. Another feature of circulatory system function is an earlier increase in volumetric hemodynamic parameters (stroke volume and cardiac output) in girls compared with boys. Before adolescence, there are no sex differences in circulatory system function. However, at 14–15 years of age, boys demonstrate higher mean SV values, and at 16–17 years, they show higher SBP and PP. In girls, higher values of DBP at 14–15 years and total peripheral vascular resistance at 14 years were observed compared with boys.
Regardless of sex, the cardiac type of circulatory autoregulation predominated. The hyperkinetic circulation type predominated, with the sole exception of 17-year-old males, who exhibited the eukinetic circulation type. Age-related increases in optimal variants of circulatory autoregulation (eukinetic circulation type and cardiovascular type of TCA) were observed only in indigenous boys. This may be regarded as a favorable trend in the adaptive capacity of the cardiovascular system. Among 8- to 16-year-old girls, the prevalence of these circulatory types followed an inverted U-shaped pattern, with peaks in CI at 13–14 years and in TCA at 14 years, followed by a decline by late adolescence. With the persistence of constitutional characteristics typical of the Arctic population in girls, there is a tendency toward reduced functional reserves of the cardiovascular system in supporting adaptation.
Additional information
Author contributions: A.N. Loskutova: conceptualization, investigation, formal analysis, writing—original draft. The author
confirms that his authorship meets the ICMJE criteria (the author made a substantial contribution to the conceptualization, investigation, and manuscript preparation, and reviewed and approved the final version prior to publication).
Ethics approval: The study was approved by the Local Ethics Committee of the Scientific Research Center Arktika, Far Eastern Branch of the Russian Academy of Sciences (Conclusion No. 002/021 dated November 26, 2021).
Consent for publication: All participants provided written informed consent prior to enrollment in the study.
Funding sources: This work was funded from the budget of the Scientific Research Center Arktika, Far Eastern Branch of the Russian Academy of Sciences, as part of the project titled Study of Intersystem and Intrasystem Mechanisms of Responses in the Formation of Functional Adaptive Reserves of the Human Body of the Northern Type at Various Stages of Ontogenesis in Individuals Living in Uncomfortable and Extreme Conditions, with the Determination of Integrated Informative Health Indices (Registration No. АААА-А21-121010690002-2).
Disclosure of interests: The author has no relationships, activities, or interests for the last three years related to for-profit or not-for-profit third parties whose interests may be affected by the content of the article.
Statement of originality: No previously published material (text, images, or data) was used in this work.
Data availability statement: The editorial policy regarding data sharing does not apply to this work, as no new data was collected or created.
Generative AI: No generative artificial intelligence technologies were used to prepare this article.
Provenance and peer review: This paper was submitted unsolicited and reviewed following the standard procedure. The peer review process involved two external reviewers, a member of the editorial board, and the in-house scientific editor.
About the authors
Alesya N. Loskutova
"Arctic" Research Center, Far Eastern Branch of the Russian Academy of Sciences
Author for correspondence.
Email: lesa82@inbox.ru
ORCID iD: 0000-0001-5350-8893
SPIN-code: 2570-0124
Cand. Sci. (Biology)
Russian Federation, 24 Karl Marx ave, Magadan, 685000References
- Sukhanova IV, Maximov AL, Vdovenko SI. Peculiarities of adaptation observed in young male residents of Magadan region: morphofunctional changes (Report 1). Ekologiya cheloveka (Human Ecology). 2013;20(8):3–10. doi: 10.17816/humeco17313 EDN: RAHIVV
- Sukhanova IV, Maximov AL, Vdovenko SI. Peculiarities of adaptation in young male residents of Magadan region: analysis of intersystem functional relations (Report 2). Ekologiya cheloveka (Human Ecology). 2014;21(6):8–15. doi: 10.17816/humeco17226 EDN: SEPUJN
- Agadzhanyan NA, Makarova II. Ethnic aspect of adaptative physiology and population morbidity. Ekologiya cheloveka (Human Ecology). 2014;21(3):3–13. doi: 10.17816/humeco17248 EDN: RYIEWT
- Bezrukikh MM, Sonkin VD, Farber DA. Age physiology (Physiology of child development). Moscow: Akademiya; 2003. (In Russ.) ISBN: 978-5-7695-3742-4 EDN: KPPDZ
- Astahova TA, Rychkova LV, Pogodina AV, et al. Status of health of adolescents of main ethnic groups of Eastern Siberia. Medical News of North Caucasus. 2018;13(1–1):14–17. doi: 10.14300/mnnc.2018.13004 EDN: MCQNVA
- Demin DB, Poskotinova LV, Krivonogova EV. Age features of cardiovascular system functional parameters in adolescents living in different arctic areas. Ekologiya cheloveka (Human Ecology). 2015;22(7):27–32. doi: 10.17816/humeco16997 EDN: UGCJZH
- Nadtochiy LA, Smirnova SV, Bronnikova EP. The depopulation of indigenous and small-numbered peoples and problem of preserving of ethnic groups of the north-east of hanty. Ekologiya cheloveka (Human Ecology). 2015;22(3):3–11. doi: 10.17816/humeco17087 EDN: TMITDX
- Kuzhuget AA, Trusey IV, Kolpakova TV, Kirko VI. Morphofunctional parameters of adolescents of indigenous small-numbered peoples of the North from various natural climatic zones. Journal of Medical and Biological Research. 2019;7(4):389–398. doi: 10.17238/issn2542-1298.2019.7.4.389 EDN: BPULEG
- Loskutova AN. Dynamics of changing heart rate variability in 12–17-year-old adolescents from the scanty aborigines of the north residing in the territory of Magadan region. In: Forum «Science in the Russian North-East: fundamental and applied studies in the Northern Pacific and Arctic» Proceedings of the anniversary conference dedicated to the 60th anniversary of the N.A. Shilo Northeastern Interdisciplinary Scientific Research Institute, Far Eastern Branch of the Russian Academy of Sciences. Magadan, March 5–6, 2020. Goryachev NA, editor. Magadan: NEISRI FEB RAS, 2020. P. 183–184. (In Russ.) EDN: BPOGJX
- Bartosh TP, Bartosh OP. Age-related features of neurodynamic indicators in native adolescent females of Russia’s Northeast. Psychology. Psychophysiology. 2019;12(4):71–82. doi: 10.14529/jpps190408 EDN: FDTAHH
- Arinchin NI, Gorbacevich AI, Kononcev VI. Short-term test for determining of blood circulation types, pre-pathological states and pathogenic forms of hyper- and hypotension. In: Automatization of Scientific Studies: Proceedings of XI of All-Soviet Union School on Automatization of Scientific Studies. Minsk, 1978. P. 31–34. (In Russ.) doi: 10.1882/0016-9900-2017-96-5-466-469
- Baevsky RM, Maximov AL, Berseneva AP. Grounds of human ecological valeology. Magadan: NESC FEB RAS, 2001. (In Russ.) ISBN: 5-7442-1282-5
- Guminskiy AA, Leontyeva NN, Marinova KV. Guidelines for laboratory classes on general and age physiology. Moscow: Prosveshchenie Publ.; 1990. (In Russ)
- Loskutova AN. Age-related anthropometric changes in physical development among aboriginal schoolchildren in Russia’s North-East. Ekologiya cheloveka (Human Ecology). 2023;30(12):879–889. doi: 10.17816/humeco627050 EDN: EERZYG
- Baitrak OA, Meshcheryakov VV, Somova TM. Comparative analysis of indicators of blood pressure in children and adolescents of foreign and indigenous population in the Middle Priobye. Vestnik SurGU. Meditsina. 2020;(2(44)):33–44. doi: 10.34822/2304–9448-2020-2-33-40 EDN: TXJTMZ
- Govorukhina AA, Kon’kova KS. Features of the circulatory system in 8–17-year-old children of different ethnic groups living in the Khanty-Mansi autonomous okrug – Yugra. Journal of Medical and Biological Research. 2021;9(2):126–137. doi: 10.37482/2687–1491-Z050 EDN: PVIENY
- Nifontova OL. Systemic analysis of cardiovascular parameters in students living in Yugra [dissertation]. Surgut, 2009. Available from: https://www.dissercat.com/content/sistemnyi-analiz-parametrov-serdechno-sosudistoi-sistemy-uchashchikhsya-yugry (In Russ.) Accessed: January 01, 2025. EDN: QETDXT
- Grechkina LI, Karandasheva VO. Age-specific features of the functional development of the circulatory system in children living in Northeastern Russia. Zdorov’e Naseleniya i Sreda Obitaniya. 2020;(1(334)):34–38. doi: 10.35627/2219-5238/2021-334-1-34-38 EDN: YDNUNG
- Aleksandrov AA, Kisliak OA, Leontyeva IV, et al. Clinical guidelines on arterial hypertension diagnosis, treatment and prevention in children and adolescents. Systemic Hypertension. 2020;17(2):7–35. doi: 10.26442/2075082X.2020.2.200126 EDN: MIRZHC
- Solodkov AS, Sologub EB. Human physiology. General. Sport. Age-specific. Moscow: OOO Izdatelstvo Sport 2015. (In Russ.) ISBN: 978-5-9906734-0-3 EDN: XMQCPV
- Averyanova IV, Maksimov AL. Cardiovascular profiles and heart rate variability observed in young male residents of Magadan region having different hemodynamic types. Vestnik Tomskogo gosudarstvennogo universiteta. Biologiya = Tomsk State University Journal of Biology. 2017;(40):132–149. doi: 10.17223/19988591/40/8 EDN: ZWDSFV
- Grechkina LI. Comparative investigations regional features of the functioning of the cardiovascular system observed in adolescent male residents of cities of Magadan and Moscow. Hygiene and Sanitation. 2017;96(5):466–469. doi: 10.18821/0016-9900-2017-96-5-466-469 EDN: YSQDHV
- Grechkina LI. Typological peculiarities of the cardiovascular system functioning in adolescents. Hygiene and Sanitation. 2018;97(10):962-966. doi: 10.18821/0016-9900-2018-97-10-962-966 EDN: YOCQXR
Supplementary files





