Hormonal Status of Young Women Living in the Kola North Under Conditions of Technogenic Pollution
- Authors: Belisheva N.K.1, Martynova A.A.1, Grigorieva E.I.1
-
Affiliations:
- Kola Scientific Center of the Russian Academy of Sciences
- Issue: Vol 32, No 8 (2025)
- Pages: 570-584
- Section: ORIGINAL STUDY ARTICLES
- Submitted: 23.04.2025
- Accepted: 12.08.2025
- Published: 09.10.2025
- URL: https://hum-ecol.ru/1728-0869/article/view/678848
- DOI: https://doi.org/10.17816/humeco678848
- EDN: https://elibrary.ru/RZWEEV
- ID: 678848
Cite item
Full Text
Abstract
BACKGROUND: The impact of toxic environmental pollution on the reproductive system and the high prevalence of its developmental disorders among young women living in the Kola North necessitate investigation of the potential relationship between reproductive health of young women and technogenic exposure.
AIM: The work aimed to assess hormonal status as an indicator of reproductive health in young women residing in Apatity (Murmansk Region) under conditions of technogenic pollution.
METHODS: It was a single-center, cross-sectional study. The hormonal status of young women residing in Apatity was assessed in two stages: in November 2022 and March 2023. Concentrations of hormones involved in reproductive regulation were measured on days 3–5 of the menstrual cycle (follicular phase): luteinizing hormone, follicle-stimulating hormone, testosterone, dehydroepiandrosterone sulfate, anti-Müllerian hormone, estradiol, and 17-hydroxyprogesterone; and on days 19–21 (luteal phase): progesterone, prolactin, cortisol, sex hormone-binding globulin, and the free androgen index. Hormone concentrations were determined in plasma samples using enzyme immunoassay. Statistical analysis was performed, and correlation coefficients and intergroup differences were considered significant at p < 0.05.
RESULTS: The study included 50 women aged 16–22 years. More than 30% demonstrated a specific hormonal phenotype characterized by deviations of reproductive health indicators from physiological norms. This phenotype reflected hormonal imbalance with features of polycystic ovary syndrome and hyperandrogenism, potentially associated with prolonged exposure to xenobiotics and leading to premature depletion of ovarian reserve.
CONCLUSION: A specific hormonal phenotype with features of endocrine pathological condition associated with markers of polycystic ovary syndrome and hyperandrogenism indicates a risk of infertility. We suggest that one possible cause of hormonal imbalance in women living in Apatity is technogenic environmental exposure, which may result in premature depletion of ovarian reserve.
Full Text
Обоснование
Репродуктивное здоровье во многом зависит от качества окружающей среды [1, 2], особенно в условиях промышленного загрязнения [3, 4]. Полагают, что ухудшение из года в год экологической обстановки может оказывать более сильное воздействие на функциональное состояние репродуктивной системы, чем изолированное влияние производственных факторов среды [5].
C процессом глобализации за последние 50 лет значительно возросло воздействие химических веществ, разрушающих эндокринную систему (Endocrine-Disrupting Chemicals, EDCs или ЭРХ) [6, 7]. Среди этих веществ особое значение имеет группа репродуктивных токсикантов, в первую очередь гормоноподобных ксенобиотиков (ГПК) [1, 8], к которым относят дихлордифенилтрихлорэтан и его метаболиты, а также другие пестициды, включая некоторые фосфорорганические соединения [9]. Предполагают, что воздействие ЭРХ в критические периоды формирования репродуктивной системы — во время внутриутробного развития или полового созревания — может оказывать долгосрочное влияние на функцию яичников и репродуктивное здоровье [6]. Показано, что они способны нарушать гормональную сигнализацию, приводят:
- к нарушениям менструального цикла;
- проблемам с фертильностью;
- повышенному риску возникновения синдрома поликистозных яичников (СПКЯ) или рака яичников [2, 6].
Нарушения репродуктивной функции лежат в основе бесплодия, которое является одной из наиболее актуальных проблем современного общества. Снижение показателей фертильности и увеличение числа репродуктивных расстройств регистрируют во всём мире. По данным Всемирной организации здравоохранения (ВОЗ), бесплодие затрагивает почти каждого шестого человека [10]. Исследования показали, что такие нарушения у женщин, как эндометриоз и СПКЯ, оказывающие решающее влияние на функцию яичников и фертильность, значительно возросли за последнее десятилетие [11, 12].
Арктику, в силу сочетания экстремальных природных и антропогенных факторов, их выраженности, а также геополитического значения, относят к территориям, где проблема репродуктивного здоровья наиболее актуальна [13–15]. Ведущий вклад в проблему заболеваемости населения в Арктике вносят территориальные техногенные загрязнения, обусловленные человеческой деятельностью. Так, Г.Ф. Янковская [16] продемонстрировала, что в условиях Кольского Заполярья при воздействии токсичного загрязнения окружающей среды становление репродуктивной функции девочек характеризуется высокой частотой нарушений, значительно превышающей соответствующие показатели по Российской Федерации. Согласно её данным, только у 36,3% девочек-подростков не выявлено отклонений в соматополовом развитии, тогда как у а у 53,7% — наблюдали гипофункцию яичников.
В Кольском Заполярье Апатитско-Кировский район является территорией с критически высокой заболеваемостью детского и подросткового населения [17]. Данная территория характеризуется высоким уровнем пыления отходов, образующихся при переработке апатит-нефелиновой руды в хвостохранилище апатито-нефелиновой обогатительной фабрики (АНОФ-2), а также содержанием других токсических соединений в различных средах [18, 19]. Исследование физиологического статуса девушек репродуктивного возраста, проживающих в Апатитах, показало, что более чем у 25% обследованных выявлены отклонения от оптимальных концентраций адренокортикотропного гормона, кортизола, тиреотропного и соматотропного гормонов, тироксина, а также активностей ферментов антиоксидантной защиты [20]. Условия проживания в регионе с воздействием территориальных ксенобиотиков, обладающих, вероятно, репродуктивной токсичностью, обусловливают необходимость оценки состояния репродуктивного здоровья молодых женщин с использованием соответствующих индикаторов [21], отражающих функционирование гипоталамо-гипофизарно-яичниковой оси, нарушения функций которой играют ключевую роль в развитии бесплодия.
Цель
Оценка гормонального статуса как показателя репродуктивного здоровья у молодых женщин, проживающих в Апатитах (Мурманская область) в условиях техногенного загрязнения.
Методы
Дизайн исследования
Проведено одноцентровое одномоментное исследование, включающее анкетирование молодых женщин и их комплексное обследование с оценкой соматометрических, гемодинамических, биохимических, гематологических и гормональных показателей.
Условия проведения исследования
Исследование проведено на базе Кольского научного центра Российской Академии наук. Оценку биохимических, гематологических и гормональных показателей осуществляли на основе анализа венозной крови, забор которой производили рано утром натощак. Исследования образцов крови выполняли в лицензированной клинико-диагностической лаборатории при больнице Центра медико-биологических проблем адаптации человека в Арктике (филиал Кольского научного центра Российской академии наук).
Критерии соответствия
Критерии включения:
- молодые девушки — учащиеся медицинского колледжа, рождённые в Апатитах и проживающие в данном городе;
- наличие информированного добровольного согласия на участие в исследовании;
- возраст — от 16 до 22 лет;
- готовность участвовать в исследовании в соответствии с фазами менструального цикла: оценка содержания гормонов на 3–5-й день менструального цикла (фолликулярная фаза) и на 19–21-й день цикла (лютеиновая фаза).
Продолжительность исследования
Исследование выполняли в два этапа: в ноябре 2022 г. и марте 2023 г. Для каждой участницы продолжительность исследования определена как разница между забором крови на гормоны в фолликулярную и лютеиновую фазы менструального цикла.
Методы оценки общего состояния здоровья
Исследование включало анкетирование участниц с использованием анкеты, разработанной сотрудниками Центра медико-биологических проблем адаптации человека в Арктике (филиал Кольского научного центра Российской академии наук). Анкетирование проводили анонимно, методом самозаполнения. В соответствии с его результатами, всем участницам предложено пройти комплексную оценку репродуктивного здоровья. Возраст менархе определяли при анкетировании ретроспективным методом; при ответах на вопросы анкеты учитывали длительность менструального цикла, его регулярность, длительность менструации и объём менструальной кровопотери, наличие или отсутствие ациклических маточных кровотечений, дисменореи.
Для характеристики соматометрических особенностей использовали показатели роста, массы тела, окружности грудной клетки в покое (ОГК, см), объёма груди (ОГ), окружности талии (ОТ, см) и бёдер (ОБ, см). Индекс массы тела (ИМТ, кг/м2) рассчитывали в соответствии с индексом Кетле II по формуле:
(1)
где М — масса тела, кг; Р — рост, м. Распределение по ИМТ проводили согласно классификации ВОЗ:
- дефицит массы тела — ИМТ <16 кг/м2;
- пониженная масса тела (гипотрофия) — 16,0–18,5 кг/м2;
- норма (нормортрофия) — 18,5–24,99 кг/м2;
- избыточная масса тела (гипертрофия) — 30 кг/м2;
- ожирение разной степени — >30 кг/м2.
Измерение пульса осуществляли пальпаторным методом на лучевой артерии в течение 1 мин. Артериальное систолическое и диастолическое давление (САД и ДАД соответственно, мм рт. ст.) фиксировали с применением механического тонометра в положении сидя не менее трёх раз с интервалом не менее 1 мин.
Клинический анализ крови включал оценку количества:
- лейкоцитов, ×109/л;
- эритроцитов, ×1012/л;
- тромбоцитов, тыс.
Концентрацию гемоглобина (г/л) определяли с помощью гематологического анализатора Mindray® BC-6000 (Mindray Medical International Limited, Китай); скорость оседания эритроцитов (СОЭ, мм/ч) — ручным методом с использованием капилляров Панченкова.
Биохимические исследования выполнены на автоматическом биохимическом анализаторе Mindray® BS-240Pro (Mindray Medical International Limited, Китай) с использованием образцов сыворотки и плазмы крови, которые после забора крови из вены оставляли на 2 ч для свёртывания при комнатной температуре (или на ночь при −4 °С) до центрифугирования (20 мин при ускорении 1000 g).
В плазме крови с использованием реактивов Mindray (Китай) определяли:
- глюкозу — глюкозооксидазным методом, ммоль/л;
- общий холестерин (ОХ) — энзиматическим методом с холестериноксидазой-пероксидазой, ммоль/л.
Целевые показатели исследования
Основной показатель исследования
Гормональный статус молодых женщин, проживающих в Апатитах.
Дополнительные показатели исследования
Выявление корреляционных взаимосвязей между показателями состояния организма молодых женщин, потенциально указывающих на гормональные нарушения.
Анализ в группах
Для выявления ассоциации между нарушениями менструального цикла и гормональным статусом участниц исследования разделили на 2 группы: с нарушениями менструации (1-я группа) и без нарушений (2-я группа). Нарушение менструального цикла устанавливали на основе анализа анкетных данных, проводимого в рамках данного исследования. Общее число участников этих групп определяли наличием информации о менструациях и её ассоциации с гормональным статусом.
Методы измерения целевых показателей
Индикаторами состояния репродуктивной системы были концентрации гормонов, участвующих в регуляции репродуктивных функций. На 3–5-й день менструального цикла (фолликулярная фаза):
- лютеинизирующий гормон (ЛГ);
- фолликулостимулирующий гормон (ФСГ);
- тестостерон;
- дегидроэпиандростеронсульфат (ДГЭА-С);
- антимюллеров гормон (АМГ);
- эстрадиол;
- 17-гидроксипрогестерон (17-ОН-прогестерон).
На 19–21-й день цикла (лютеиновая фаза):
- прогестерон;
- пролактин;
- кортизол;
- секс-стероидсвязывающий глобулин (ССГ).
Иммуноферментный анализ (ИФА) проводили с использованием микропланшетного инкубатора/шейкера Statfax® 2200 [Awareness Technology, Inc., Соединённые Штаты Америки (США)], микропланшетного фотометра Statfax® 2100 (Awareness Technology, Inc., США) и миокропланшетного вошера Statfax® 2600 (Awareness Technology, Inc., США). Методом трёхфазного ИФА определяли следующие гормоны:
- ССГ, нмоль/л [набор реагентов «ИФА-ССГ» (Алкор Био, Россия)];
- кортизол, нмоль/л [набор реагентов «СтероидИФА-кортизол» (Алкор Био, Россия)];
- ДГЭА-С, мкг/мл [набор реагентов «СтероидИФА-ДГЭА-сульфат» (Алкор Био, Россия)];
- пролактин, мМЕ/л [набор реагентов «ИФА-пролактин» (Алкор Био, Россия)];
- ФСГ, мМЕ/мл [набор реагентов «Гонадотропин ИФА-ФСГ» (Алкор Био, Россия)];
- ЛГ, мМЕ/мл [набор реагентов «Гонадотропин ИФА-ЛГ» (Алкор Био, Россия)];
- прогестерон, нмоль/л [набор реагентов «СтероидИФА-прогестерон» (Алкор Био, Россия)];
- тестостерон, нмоль/л [набор реагентов «СтероидИФА-тестостерон» (Алкор Био, Россия)];
- АМГ, нг/мл [набор реагентов «АМГ-ИФА» (ХЕМА, Россия)].
Индекс свободных андрогенов (ИСА) определяли по формуле [22]:
(2)
где ТС — концентрация общего тестостерона, нмоль/л; ССГ — концентрация ССГ, нмоль/л.
Этическая экспертиза
Весь комплекс обследований выполняли с соблюдением норм и правил биомедицинской этики, представленных в Хельсинкской декларации Всемирной медицинской ассоциации об этических принципах проведения медицинских исследований (2013 год). Исследование одобрено этическим комитетом Центра медико-биологических проблем адаптации человека в Арктике — филиал Федерального исследовательского центра «Кольский научный центр Российской академии наук» (протокол заседания № 1/2022 от 15.03.2022). Все участницы и, в случае необходимости, их законные представители дали письменное информированное согласие на добровольное участие в исследовании.
Статистические процедуры
Запланированный размер выборки
Размер выборки предварительно не рассчитывали, поскольку он был детерминирован: с одной стороны — числом участниц, обучавшихся в медицинском колледже и согласившихся принять участие в исследовании, с другой стороны — ограниченным количеством наборов реактивов, обусловленным объёмом финансирования темы научно-исследовательской работы.
Статистические методы
Статистический анализ проводили в соответствии с рекомендациями, приведёнными в работе Т.Н. Унгуряну и соавт. [23], с использованием пакета программ Statistica 10.0 (StatSoft Inc., CША). Нормальность распределения значений исследуемых показателей проверяли с помощью критериев Колмогорова–Смирнова с поправкой Лиллиефорса и критерия Шапиро–Уилка. Данные представлены в виде M±SD, где M — среднее значение, а SD — стандартное отклонение, а также в виде Me [Q1; Q3], где Me — медиана, а Q1 и Q3 — 1-й и 3-й квартиль соответственно. Кроме того, определяли процентильное распределение. Значимость различий между группами отдельных показателей оценивали с использованием непараметрических методов (U-критерий Манна–Уитни, тест Колмогорова–Смирнова), а также t-критерия для независимых переменных. В случае нормального распределения показателей, для оценки степени связи между ними использовали критерий Пирсона, при нарушении нормальности распределения применяли коэффициент ранговой корреляции Спирмена [23]. При сравнении групп и выявлении связей между переменными критический уровень статистической значимости составил p <0,05.
Результаты
Формирование выборки
В исследовании приняли участие 50 молодых женщин, однако в силу объективных причин не у всех удалось определить содержание отдельных гормонов, поэтому количество участниц варьирует. Кроме того, сформировано две группы:
- 1-я группа — молодые девушки с нарушениями менструального цикла, n=17 (19,5±1,5 года);
- 2-я группа — молодые девушки без нарушений менструального цикла, n=13 (19,1±1,1 года).
Характеристики выборки
Для оценки общего здоровья участниц исследования и его связи с уровнем гормонов, регулирующих функции репродуктивной системы, проанализированы соматометрические, гемодинамические (табл. 1), биохимические, гематологические и гормональные (табл. 2) индикаторы физиологического состояния.
Таблица 1. Соматометрические и гемодинамические показатели молодых женщин, проживающих в Апатитах
Table 1. Somatometric and hemodynamic parameters of young women living in Apatity
Индикаторы | n | M±SD | Min–max | Me [Q1; Q3] | P10 | P90 |
Возраст, лет* | 50 | 19,7±1,4 | 16,0–22,0 | 18,0 | 22,0 | |
Возраст, лет | 28 | 19,2±1,4 | 16,0–22,0 | 18,0 | 21,0 | |
Рост, cм | 28 | 164,5±6,9 | 152,0–175,0 | 155,0 | 174,0 | |
Масса тела, кг* | 28 | 60,2±11,0 | 45,0–93,6 | 49,0 | 77,0 | |
Индекс массы тела, кг/м2* | 28 | 22,2±3,5 | 17,2–32,6 | 18,7 | 27,0 | |
Объём груди, см* | 28 | 86,8±9,6 | 73,0–118,0 | 76,0 | 99,0 | |
Окружность грудной клетки в покое, см | 28 | 77,6±8,6 | 64,0–98,0 | 68,0 | 89,0 | |
Окружность талии, см* | 28 | 71,3±8,7 | 59,0–92,0 | 62,0 | 88,0 | |
Окружность бёдер, см* | 28 | 98,4±8,1 | 90,0–124,0 | 91,0 | 110,0 | |
Систолическое артериальное давление, мм рт. ст. | 28 | 113,4±8,9 | 98,0–133,0 | 101,0 | 123,0 | |
Диастолическое артериальное давление, мм рт. ст. | 28 | 74,4±6,9 | 60,0–89,0 | 66,0 | 83,0 | |
Частота сердечных сокращений, в мин | 28 | 76,6±9,7 | 50,0–92,1 | 63,0 | 88,0 |
Примечание. Данные представлены в виде M±SD, где M — среднее значение, а SD — стандартное отклонение, а также в виде Me [Q1; Q3], где Me — медиана, а Q1 и Q3 — 1-й и 3-й квартиль соответственно; P10 и P90 — 10-й и 90-й процентиль; min–max — минимальное и максимальное значение. * — показатели не подчиняются нормальному распределению.
Таблица 2. Показатели физиологического и гормонального статуса молодых женщин, проживающих в Апатитах
Table 2. Parameters of physiological and hormonal status of young women living in Apatity
Индикаторы | n | M±SD | Min–max | Me [Q1; Q3] | P10 | P90 | Референсные значения |
Возраст, лет1 | 50 | 19,7±1,4 | 16,0–22,0 | 18,0 | 22,0 | — | |
Менархе, лет1 | 50 | 12,6±0,9 | 11,0–15,0 | 12,0 | 13,5 | — | |
Глюкоза, ммоль/л | 45 | 4,76±0,62 | 3,5–6,3 | 3,90 | 5,60 | 3,5–6,2 | |
Общий холестерин, ммоль/л | 45 | 4,34±0,53 | 3,0–5,2 | 3,70 | 5,00 | до 5,17 | |
Лейкоциты, ×109/л | 45 | 5,8±1,4 | 3,2–9,7 | 4,0 | 7,5 | 4,0–9,0 | |
Скорость оседания эритроцитов, мм/ч | 45 | 5,6±3,4 | 2,0–14,0 | 2,0 | 11,0 | 2,0–15,0 | |
Гемоглобин, г/л | 45 | 129,4±13,5 | 97,0–160,0 | 111,0 | 144,0 | 120–140 | |
Тромбоциты, ×109/л1 | 45 | 212,5±57,3 | 20,0–360 | 160,0 | 280,0 | 180–320 | |
Эритроциты, ×1012/л | 45 | 4,3±0,3 | 3,6–5,1 | 3,9 | 4,7 | 3,9–4,7 | |
Лютеинизирующий гормон, мМЕ/мл | 48 | 10,0±4,38 | 2,4–19,0 | 4,30 | 17,00 | 1,1–8,73 | |
Фолликулостимулирующий гормон, мМЕ/мл | 49 | 8,45±2,92 | 1,18–16,3 | 5,10 | 12,31 | 1,8–11,33 | |
Эстрадиол, пг/мл | 28 | 36,9±21,2 | 10,0–97,0 | 17,0 | 68,0 | 30–100 | |
Дегидроэпиандростеронсульфат, мкг/мл | 49 | 2,92±1,23 | 0,91–6,35 | 1,36 | 4,83 | 0,8–3,9 | |
Дегидроэпиандростеронсульфат, мкг/дл | 292±123 | 91–635 | 261 [214; 371] | 136 | 483 | — | |
Тестостерон, нмол/л | 29 | 2,98±0,97 | 1,76–5,42 | 1,81 | 4,38 | 0,5–4,3 | |
Тестостерон, нг/дл | 85,8±27,9 | 50,7–156,1 | 52,1 | 126,1 | 15,0–95,0 или 2,5–70,0 | ||
Секс-стероидсвязывающий глобулин, нмоль/л1 | 43 | 66,3±39,7 | 21,8–223,0 | 27,4 | 112,3 | 14,1–129 | |
Индекс свободных андрогенов1 | 23 | 5,4±3,3 | 1,47–14,09 | 2,22 | 9,93 | <5,5 | |
Антимюллеров гормон, нг/мл1 | 49 | 5,01±2,79 | 1,86–12,45 | 2,30 | 10,08 | 0,2–12,62 | |
Антимюллеров гормон, пмоль/л1 | 50 | 35,1±20,3 | 13,3–88,93 | 16,00 | 68,75 | — | |
Прогестерон, нмоль/л1 | 45 | 28,6±20,2 | 5,79–81,48 | 8,34 | 57,31 | 10–894 | |
Прогестерон, мМЕ/л | 43 | 501±211 | 156–982 | 466,0(323,0-637,0) | 223,0 | 775,0 | 67-726 |
Пролактин, нг/мл | 45 | 23,6±9,9 | 7,33–35,44 | 10,5 | 36,4 | 2–25 | |
17-гидроксипрогестерон, нмоль/л1 | 29 | 3,66±1,77 | 1,24–8,74 | 1,74 | 6,32 | <0,3–2,06 | |
Кортизол, нмоль/л | 45 | 419,9±144,9 | 127–754 | 230,0 | 667,0 | 150–660 |
Примечание. Данные представлены в виде M±SD, где M — среднее значение, а SD — стандартное отклонение, а также в виде Me [Q1; Q3], где Me — медиана, а Q1 и Q3 — 1-й и 3-й квартиль соответственно; P10 и P90 — 10-й и 90-й процентиль; min–max — минимальное и максимальное значение. 1 — показатели не подчиняются нормальному распределению; 2 — значения представлены для женщин в возрасте 18–30 лет; 3 — фолликулярная фаза; 4 — лютеиновая фаза.
У большинства молодых женщин ИМТ соответствует нормальным показателям для женщин в возрасте 20 лет и старше по данным ВОЗ (18,5–24,9 кг/м²). Однако у 10% участниц исследования этот показатель превышает норму (см. табл. 1). Артериальное давление также соответствует диапазону нормы для возрастной группы 18–29 лет (САД и ДАД — 90–130 и 60–80 мм рт. ст. соответственно), однако их средние значения (см. табл. 1) свидетельствуют о тенденции к гипотонии. Значения ЧСС также находятся в диапазоне нормы.
По данным табл. 2, содержание глюкозы, ОХ, гемоглобина, а также количество лейкоцитов и эритроцитов у большинства участниц исследования находятся в пределах референсных значений, как и показатель СОЭ. Таким образом, гемодинамические, биохимические и гематологические индикаторы физиологического состояния свидетельствуют о том, что здоровье большинства обследованных женщин соответствует норме, определяемой данными индикаторами.
Основные результаты исследования
Характеристика гормонального статуса молодых женщин, проживающих в Апатитах, продемонстрирована в табл. 2. Важным критерием гормональной зрелости девушек является возраст наступления менархе (см. табл. 2).
Все соматометрические показатели, за исключением роста, были выше, чем во 2-й группе, однако выявленные различия не достигали уровня статистической значимости p <0,05.
Однако обнаружены тенденции к снижению содержания отдельных гормонов у женщин 1-й группы в сравнении со 2-й группой соответственно, а именно:
- ЛГ — 9,4±4,56 против 10,3±4,1 мМЕ/мл;
- ФСГ — 8,67±3,16 против 8,85±1,84 мМЕ/мл;
- прогестерона — 30,8±20,7 против 32,8±23,0 нмоль/л;
- пролактина — 398±138,0 против 526±258 мМЕ/л;
- эстрадиола — 31,5±10,7 против 41,2±19,8 пг/мл.
В свою очередь, в 1-й группе выявлено повышение содержания следующих гормонов относительно 2-й группы, а именно:
- ДГЭА-С — 2,93±1,16 против 2,43±0,66 мкг/мл;
- АМГ — 4,64±2,81 против 4,53±2,30 нг/мл;
- тестостерона — 2,85±1,04 против 2,42±0,34 нмоль/л;
- 17-ОН-прогестерона — 3,97±1,75 против 3,2±1,65 нмоль/л.
Кроме того, отмечена тенденция к увеличению ИСА в 1-й группе в сравнении со 2-й (6,51±4,44 против 3,72±2,13).
Дополнительные результаты исследования
Для выявления дополнительных ассоциаций между показателями состояния организма молодых женщин, которые могли бы указывать на гормональные нарушения, мы провели корреляционный анализ. В зависимости от характера распределения показателей, значимость коэффициентов корреляции оценивали с использованием критерия Пирсона или ранговой корреляции Спирмена. Согласно коэффициентам ранговой корреляции Спирмена, возраст наступления менархе оказался отрицательно связан с соматометрическими показателями, такими как рост (r=−0,42), масса тела (r=−0,48), ОТ (r=−0,44) и ОБ (r=−0,46), p <0,05. Кроме того, между возрастом наступления менархе и количеством тромбоцитов (r=0,48), а также концентрацией АМГ (r=0,42) выявлена положительная корреляционная связь, p <0,05. В свою очередь, отрицательная корреляционная связь установлена между концентрациями АМГ и эстратиола (r=−0,39), тогда как положительная — между концентрацией АМГ и ЧСС (r=0,53), p <0,05. Нарушения менструального цикла оказались связаны с содержанием ЛГ обратной корреляцией (r=−0,42; p <0,05), что отражает снижение его концентрации у молодых женщин 1-й группы по сравнению со 2-й группой.
Обсуждение
Резюме основного результата исследования
Проведённое исследование показало, что более чем у 30% молодых женщин, участвовавших в исследовании, выявлен специфический гормональный фенотип, характеризующийся различной степенью отклонения показателей, отражающих репродуктивное здоровье, от физиологической нормы. Нарушения менструального цикла, выявленные у более чем 50% участниц исследования и сопровождающиеся повышением концентрации андрогенных гормонов (ДГЭА-С, тестостерона), увеличением ИСА, снижением содержания эстрадиола, а также превышением концентрации АМГ как минимум у 25% молодых женщин, можно рассматривать как возможные проявления СПКЯ и ГАГ.
Интерпретация результатов исследования
Анализ гормонального профиля у участниц исследования, показал, что средние значения концентрации ЛГ превышают верхнюю границу референсного диапазона (8,7 мМЕ/мл), а содержание ФСГ приближено к его верхней границе (11,3 мМЕ/мл) и в 10% случаев превышает её (см. табл. 2).
Признаком гипофункции яичников является низкое содержание эстрадиола, медианные показатели которого в нашем исследовании приближены к нижней границе референсных значений (30 пг/мл). Кроме того, у 25% участниц исследования его концентрация была ниже нормы (см. табл. 2).
Содержание ДГЭА-С у более чем 25% молодых женщин приближено к верхней границе нормы — 3,7 мкг/мл (Q3), а у 10% (90-й перцентиль) — превышает её, при референсном верхнем значении 4,8 мкг/мл. Согласно данным E. Lerchbaum и соавт. [22], нормальная концентрация тестостерона у женщин репродуктивного возраста составляет <2,67 нмоль/л, а по данными C. Ayala и соавт. [24], у женщин младше 35 лет — 26,67 нг/дл. Эти показатели существенно ниже значений, полученных в нашем исследовании (см. табл. 2). Таким образом, если ориентироваться на работы E. Lerchbaum и соавт. [22], а также C. Ayala и соавт. [24], то у более чем 50% участниц нашего исследования концентрация тестостерона превышает значения нормы. Оценка содержания ССГ показала, что его значения находятся в пределах референсного диапазона. Однако ИСА, который в норме составляет <5,5 [22], а по данным J.S. Laven и соавт. [25] — <4,5, у не менее чем 25% женщин превышал значение 5,5 (Q3), а у 50% — 4,5 (см. табл. 2).
Наиболее признанным индикатором фертильности у женщин является концентрация АМГ [25–27], которую рассматривают как потенциальный клинический маркёр овариального резерва и реакции на гонадотропины [21, 27]. По данным J.S. Laven и соавт. [25], у нормоовуляторных женщин медианное значение содержания АМГ составляет 2,1 мкг/л (min–max: 0,1–7,1). Кроме того, существуют сведения, что концентрация АМГ у женщин в возрасте младше 35 лет составляет 20,8 пмоль/л (3,6–37,2) [26, 28], что соответствует значению АМГ только у 25% молодых женщин в нашем исследовании. В свою очередь, у 50% молодых женщин его содержание превышает эти значения (см. табл. 2).
Концентрация прогестерона в лютеиновой фазе менструального цикла у 25% молодых женщин в нашем исследовании практически соответствовала нижней границе референсных значений — 11,0 нмоль/л (Q1) при норме 10–89 нмоль/л. Содержание пролактина у 25% участниц исследования, напротив, приближалось к верхней границе нормы 637 мМЕ/л (Q3), а у 10% — превышало её (775 мМЕ/л при референсном пределе 726 мМЕ/л.)
Особого внимания заслуживает выявленное превышение концентрации 17-ОН-прогестерона в фолликулярной фазе — 3,66±1,77 нмоль/л при верхней границе нормы 2,06 нмоль/л. По данным М.Р. Микитюк и соавт. [29], повышение концентрации 17-ОН-прогестерона, а также снижение содержания кортизола, а в некоторых случаях — гиперпрогестеронемия, являются основными критериями диагностики ГАГ. В нашем исследовании содержание кортизола в целом находится в диапазоне референсных значений, однако у 10% молодых женщин приближается к нижней границе референсного диапазона — 230 нмоль/л (см. табл. 2).
Следует отметить, что у молодых женщин 1-й группы выявлена тенденция к увеличению соматометрических показателей, повышению содержания андрогенных и снижению концентрации женских половых гормонов, что может свидетельствовать о возможной ассоциации с СПКЯ и ГАГ [24–26].
Полученные корреляционные зависимости свидетельствуют о том, что более поздние сроки наступления менархе в сочетании со снижением соматометрических показателей и повышением концентрации АМГ можно рассматривать как дополнительные маркёры гормональных нарушений, связанных с СПКЯ и ГАГ. Кроме того, выявленное снижение уровня эстрадиола при повышении АМГ, ассоциированного с ЧСС, а также снижение содержания ЛГ при нарушении менструального цикла дополняют комплекс возможных гормональных нарушений, обусловливающих поздние сроки становления менструальной функции и сопряжённых с риском развития СПКЯ и ГАГ.
Можно предположить, что гормональные нарушения обусловливают и характер менструальных кровотечений, косвенным показателем чего является положительная корреляционная связь между возрастом наступления менархе и количеством тромбоцитов. Роль тромбоцитов в регуляции менструального цикла только начинают активно изучать, однако уже существует представление о них как о корпускулярных мессенджерах, способных модулировать функции гипоталамо-гипофизарно-яичниковой системы [30, 31].
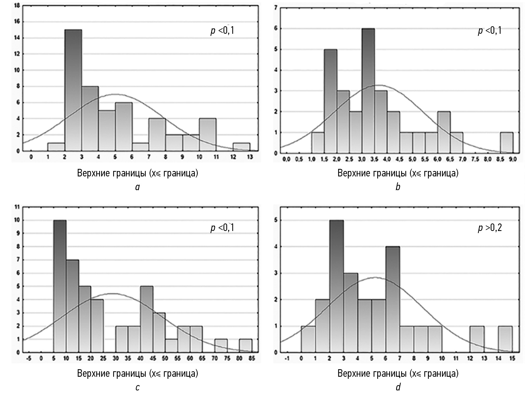
Для оценки распространённости гормональных отклонений у молодых женщин проанализирована частота встречаемости определённых концентраций АМГ, 17-ОН-прогестерона, прогестерона, а также ИСА как маркёров СПКЯ и ГАГ (рис. 1) [29–31].
Рис. 1. Распределение частоты значений: a — концентрации антимюллерова гормона, нг/мл; b — концентрации 17-гидроксипрогестерона, пмоль/л; c — концентрации прогестерона, пмоль/л; d — индекса свободных андрогенов. По осям абсцисс расположены соответствующие значения показателей, по осям ординат — число наблюдений или частота встречаемости соответствующих значений.
Анализ показал, что содержание АМГ, превышающее пороговые значения (42,1 пмоль/л или 5,89 нг/мл), характерное для женщин с СПКЯ [32], выявлено у 28% обследованных (АМГ >6 нг/мл). Частота встречаемости концентрации 17-ОН-прогестерона >3 нмоль/л, рассматриваемой как один из маркёров ГАГ [29], составила 62%, тогда как содержание прогестерона <15 нмоль/л, ассоциированное с ГАГ и ановуляцией [33], отмечено в 37,8% случаев. Сопоставимая частота (37,5%) установлена для значений ИСА >5,5, также рассматриваемых в качестве диагностического критерия ГАГ [22]. Таким образом, анализ гормональных маркёров продемонстрировал, что более чем у 30% молодых женщин, участвовавших в исследовании, выявлены отклонения, свидетельствующие о вероятных нарушениях репродуктивного здоровья, ассоциированных с СПКЯ и ГАГ.
С целью выяснения того, чем обусловлены отклонения в гормональном статусе молодых женщин, проживающих в Апатитах, — локальными особенностями контаминации окружающей среды или воздействием высоких широт, мы сравнили содержание гормонов в выборке участниц нашего исследования с соответствующими показателями у женщин, проживающих в сходных широтных и климатических условиях в Финляндии [32]. В нашем исследовании возможные проявления СПКЯ и ГАГ оценивали только по содержанию гормональных индикаторов. В свою очередь, H. Sova и соавт. [32], наряду с оценкой концентраций гормонов, дополнительно учитывали и клинические данные. Это сравнение позволило установить, что у определённой доли женщин в нашем исследовании содержание гормонов соответствует клиническим проявлениям СПКЯ и ГАГ.
Результаты проведённого сравнения продемонстрированы в табл. 3. Так, несмотря на более молодой возраст участниц нашего исследования, их ИМТ не отличается от соответствующего показателя у женщин более старшего возраста в Финляндии (Контроль, Ф3). Согласно возрастным критериям для артериального давления, женщины в нашем исследовании и в выборке H. Sova и соавт. [32] принадлежат к одной возрастной группе (18–29 лет). В соответствии с данными табл. 3, концентрации ФСГ и ЛГ у женщин, проживающих в Апатитах, превышают контрольные значения у финских женщин в 1,5 и 3,0 раза соответственно, а также выше, чем в группах с СПКЯ (Ф1) и ГАГ + СПКЯ (Ф2). Содержание же эстрадиола, напротив, ниже, чем у финских женщин в группе Ф3 (р=0,1438), а также статистически значимо ниже, чем в группах Ф1 и Ф2. Содержание тестостерона в группе молодых женщин из Апатитов превышает значения соответствующих показателей в группах Ф1 и Ф2. Аналогичная тенденция отмечена и для содержания ССГ. Это обусловливает сопоставимость значений ИСА с группой Ф2 и более высокие его значения по сравнению с группой Ф1.
Таблица 3. Сравнение физиологических показателей женщин репродуктивного возраста, проживающих в Апатитах и Финляндии
Table 3. Comparison of physiological parameters of women of reproductive age living in Apatity and Finland
Апатиты | Финляндия | Значения p при сравнении групп | ||||
Ф1, n=319 | Ф2, n=136 | Ф3, n=96 | Апатиты и Ф1 | Апатиты и Ф2 | Апатиты и Ф3 | |
Возраст, лет | ||||||
19,7±1,4 | 28,1±4,3 | 28,2±3,9 | 26,0±5,2 | <0,001 | <0,001 | <0,001 |
Индекс массы тела, кг/м2 | ||||||
22,2±3,5 | 27,3±6,3 | 28,0±6,5 | 22,8±3,6 | <0,001 | <0,001 | 0,4365 |
Окружность талии, см | ||||||
71,3±8,7 | 85,0±15,0 | 86,6±15,8 | — | <0,001 | <0,001 | — |
Отношение окружности талии к окружности бёдер | ||||||
0,7±1,1 | 0,8±0,1 | 0,8±0,1 | — | 0,1164 | 0,2946 | — |
Глюкоза, ммоль/л | ||||||
4,76±0,62 | 5,1±0,5 | 5,1±0,4 | — | <0,001 | 0,0003 | — |
Фолликулостимулирующий гормон, мМЕ/мл | ||||||
8,45±2,92 | 6,2±2,1 | 6,1±1,9 | 5,7±2,1 | <0,001 | <0,001 | <0,001 |
Лютеинизирующий гормон, мМЕ/мл | ||||||
10,0±4,38 | 6,9±4,8 | 7,5±4,7 | 3,3±1,6 | <0,001 | 0,0015 | <0,001 |
Эстрадиол, пмоль/л | ||||||
132,2±77 | 268,5±207,9 | 309,3±238,8 | 155,9±74,4 | <0,001 | 0,0002 | 0,1438 |
Тестостерон, нмоль/л | ||||||
2,98±0,97 | 1,6±0,7 | 2,0±0,7 | — | <0,001 | <0,001 | — |
Секс-стероидсвязывающий глобулин, нмоль/л | ||||||
66,3±39,7 | 50,9±27,7 | 51,5±26,9 | — | 0,1267 | 0,0060 | — |
Индекс свободных андрогенов | ||||||
5,4±3,3 | 3,8±2,5 | 4,7±2,6 | — | 0,0040 | 0,2535 | — |
Антимюллеров гормон, пмоль/л | ||||||
35,1±20,3 | 66,1±47,4 | 82,3±58,8 | 30,7±17,4 | <0,001 | <0,001 | 0,1759 |
Примечание. Данные представлены в виде M±SD, где M — среднее значение, а SD — стандартное отклонение. Апатиты — группа молодых женщин, проживающих в Апатитах; Ф1 — группа женщин с синдромом поликистозных яичников, проживающих в Финляндии; Ф2 — группа женщин с синдромом поликистозных яичников и гиперандрогенией, проживающих в Финляндии; Ф3 — контроль, здоровые женщины, проживающие в Финляндии.
Однако средние значения АМГ у женщин из Апатитов были сопоставимы с соответствующими показателями у финских женщин в контроле (Ф3) и ниже, чем в группах Ф1 и Ф2. Тем не менее более чем у 25% участниц нашего исследования содержание АМГ составило 51,7 пмоль/л (Q3), а у 10% — превысило 68,8 пмоль/л (90-й перцентиль), что соответствует значениям, характерным для групп Ф1 и Ф2 (см. табл. 3).
Таким образом, сопоставление гормонального статуса молодых женщин, участвовавших в нашем исследовании, с показателями женщин в группах Ф1, Ф2 и Ф3, проживающих в Финляндии, показало специфического гормонального фенотипа с признаками эндокринной патологии. Эта патология проявляется в превышении содержания ФСГ, ЛГ, тестостерона, ССГ по сравнению с референсными значениями. У более чем 25% молодых женщин также выявлено содержание АМГ, соответствующее диапазону, характерному для СПКЯ и ГАГ.
Различия в гормональном статусе молодых женщин, проживающих в Апатитах и Финляндии при сходных высокоширотных условиях, позволяют предположить, что возможной причиной гормонального дисбаланса у женщин в Апатитах является техногенное воздействие среды проживания.
По данным литературы, нейроэндокринная регуляция оварильно-менструального цикла и репродуктивной функции в целом является чрезвычайно чувствительной к воздействию экзогенных факторов [35]. Экологически зависимая патология репродуктивной системы развивается при нарушении всех типов адаптации. При этом репродуктивная система женщины отличается особой уязвимостью к неблагоприятным факторам среды любого происхождения и любой интенсивности, включая подпороговые. Кроме того, в формировании таких нарушений значимую роль играют как специфические, так и неспецифические, а также конституционные факторы [36].
Можно предположить, что окружающая среда в Апатитах включает репродуктивные токсиканты, в частности ГПК [7–9], источником которых может быть загрязнение атмосферы, почвы и питьевой воды промышленными отходами [18, 19].
Способность ГПК воздействовать на репродуктивный процесс обусловлена их возможностью связываться со специфическими рецепторами половых стероидов и имитировать действие естественных гормонов [8]. Это объясняется тем, что многие из них сходны со стероидными гормонами, поскольку являются фенолами или содержат фенольные фрагменты. Нарушения менструального цикла отмечены при профессиональном контакте с формальдегидом, фенолом, соединениями ртути, оксидами углерода и азота, углеводородами, ацетоном, сероводородом, сернистым ангидридом, меркаптаном [4].
Процесс производства цветной металлургии на Кольском Севере сопровождается выбросами загрязняющих веществ, включающих фенол, формальдегид, окислы азота, диоксид серы, окислы углерода, сероводород, аэрозоли хлоридов и сульфатов никеля, частицы тяжёлых металлов [37], распространение которых на Кольском полуострове зависит от розы ветров [38]. Кроме того, Апатиты находятся в зоне пыления хвостохранилища АНОФ-2 — одного из крупнейших источников загрязнения окружающей среды на Кольском полуострове [18, 19, 39, 40]. Атмохимический состав пылевых частиц включает частицы диоксида титана (3,84%) [18], редкоземельные элементы [39], обладающие нейротоксичностью [41], а также другие элементы. Особую опасность для репродуктивной системы представляют наночастицы диоксида титана, которые при вдыхании или попадании внутрь способны аккумулироваться в различных тканях, включая репродуктивные органы [42–44]. Установлено, что они могут нарушать процессы формирования половых клеток и передаваться следующему поколению. В экспериментальных исследованиях продемонстрировано, что воздействие наночастиц диоксида титана приводит к повышению сывороточных концентраций ФСГ и ЛГ у мышей [44], а также снижению секреции прогестерона гранулёзными клетками [45].
Таким образом, специфический гормональный фенотип молодых женщин, проживающих в Апатитах, мог бы сформироваться под воздействием определённого спектра загрязняющих веществ, потенциально обладающих свойствами химических веществ, разрушающих эндокринную систему или ГПК. Результатом длительного действия химических факторов на организм женщины может быть возникновение синдрома преждевременного истощения яичников, обусловленного ускоренным истощением овариального резерва примордиальных фолликулов [46]. Эндокринологически процесс репродуктивного старения характеризуется прогрессивным повышением концентрации ФСГ, связанной со снижением содержания эстрадиола в сыворотке крови [21]. Именно повышенная концентрация ФСГ со снижением эстрадиола характерна для более чем 25% молодых женщин в нашем исследовании, что, вероятно, свидетельствует об ускоренном истощении овариального резерва. Гормональный дисбаланс с признаками СПКЯ и ГАГ у молодых женщин, проживающих в Апатитах, является тревожным симптомом потенциального бесплодия.
Ограничения исследования
Ограничением исследования является возраст молодых женщин, что затруднило привлечение дополнительных участниц для расширения выборки. Кроме того, забор анализов проводили на 3–5-й и 19–21-й день фолликулярной и лютеиновой фаз менструального цикл соответственно, что не позволило всем участницам своевременно явиться на приём. При планировании и проведении исследования размер выборки для достижения требуемой статистической мощности результатов не рассчитывали. В связи с этим полученную выборку участниц исследования невозможно считать в достаточной степени репрезентативной, что не позволяет экстраполировать полученные результаты и их интерпретацию на генеральную совокупность молодых женщин соответствующего возраста за пределами исследования.
Заключение
Оценка репродуктивного здоровья молодых женщин, проживающих на Кольском Севере в Апатитах, с учётом гормональных индикаторов состояния репродуктивной системы, показала, что у более чем 30% участниц исследования выявлен специфический гормональный фенотип. Он характеризуется признаками эндокринной дисфункции, ассоциированной с маркёрами СПКЯ и ГАГ, что можно рассматривать как симптом потенциального бесплодия. Одной из причин гормонального дисбаланса у женщин в Апатитах является хроническое техногенное воздействие среды проживания, способное приводить к преждевременному истощению овариального резерва. Эта угроза репродуктивному здоровью молодых женщин требует проведения коррекции гормонального статуса при его нарушении, а также клинического обследования для оценки овариального резерва примордиальных фолликулов и прогнозирования перспектив возможной беременности. Кроме того, с учётом неблагоприятного воздействия окружающей среды на репродуктивную систему, необходимо раннее выявление гормональных отклонений у детей для своевременной их коррекции.
Дополнительная информация
Вклад авторов. Н.К. Белишева — концепция исследования, анализ результатов и литературных данных, написание и редактирование текста рукописи; А.А. Мартынова — дизайн исследования, разработка анкеты, проведение исследования, анализ литературных данных, редактирование текста рукописи; Э.И. Григорьева — проведение клинико-диагностических исследований, анализ литературных данных. Все авторы одобрили рукопись (версию для публикации), а также согласились нести ответственность за все аспекты работы, гарантируя надлежащее рассмотрение и решение вопросов, связанных с точностью и добросовестностью любой её части.
Этическая экспертиза. Исследование одобрено этическим комитетом Центра медико-биологических проблем адаптации человека в Арктике — филиал Кольского научного центра Российской академии наук (протокол № 1/2022 от 15.03.2022). Все участницы исследования и, в случае необходимости, их законные представители добровольно подписали форму информированного согласия, утверждённую в составе протокола исследования этическим комитетом.
Источники финансирования. Финансирование осуществляли на регулярной бюджетной основе в рамках проекта 450 Программы исследований и разработок № FMEZ-2025-0047 (на 2025–2027 гг.) 451, утверждённого Министерством науки и высшего образования Российской Федерации.
Раскрытие интересов. Авторы заявляют об отсутствии отношений, деятельности и интересов за последние три года, связанных с третьими лицами (коммерческими и некоммерческими), интересы которых могут быть затронуты содержанием статьи.
Оригинальность. При создании настоящей работы авторы не использовали ранее опубликованные сведения (текст, иллюстрации, данные).
Доступ к данным. Редакционная политика в отношении совместного использования данных к настоящей работе не применима.
Генеративный искусственный интеллект. При создании настоящей статьи технологии генеративного искусственного интеллекта не использовали.
Рассмотрение и рецензирование. Настоящая работа подана в журнал в инициативном порядке и рассмотрена по обычной процедуре. В рецензировании участвовали два внешних рецензента, член редакционной коллегии и научный редактор издания.
ADDITIONAL INFORMATION
Author contributions: N.K. Belisheva: conceptualization, formal analysis, writing—original draft, writing—review & editing; A.A. Martynova: methodology, investigation, resources, writing—review & editing; E.I. Grigorieva: investigation, resources. All the authors approved the version of the manuscript to be published and agreed to be accountable for all aspects of the work, ensuring that questions related to the accuracy or integrity of any part of the work are appropriately investigated and resolved.
Ethics approval: The study was approved by the Ethics Committee of the Center for Biomedical Problems of Human Adaptation in the Arctic, a branch of the Kola Science Center of the Russian Academy of Sciences (protocol No. 1/2022 dated March 15, 2022). All study participants, and where applicable their legal representatives, voluntarily signed an informed consent form approved by the Ethics Committee as part of the study protocol.
Funding sources: The study was funded on a regular budgetary basis under Research and Development Program project No. FMEZ-2025-0047 (2025–2027), approved by the Ministry of Science and Higher Education of the Russian Federation.
Disclosure of interests: The authors have no relationships, activities, or interests for the last three years related to for-profit or not-for-profit third parties whose interests may be affected by the content of the article.
Statement of originality: This article is an original study and does not contain borrowed material, including from the authors’ own works, such as previously published texts, illustrations, or data.
Data availability statement: The editorial policy regarding data sharing does not apply to this work.
Generative AI: No generative artificial intelligence technologies were used to prepare this article.
Provenance and peer review: This paper was submitted unsolicited and reviewed following the standard procedure. The peer review process involved two external reviewers, a member of the editorial board, and the in-house scientific editor.
About the authors
Natalia K. Belisheva
Kola Scientific Center of the Russian Academy of Sciences
Author for correspondence.
Email: natalybelisheva@mail.ru
ORCID iD: 0000-0002-5504-2983
SPIN-code: 8833-5720
Dr. Sci. (Biology)
Russian Federation, ApatityAlla A. Martynova
Kola Scientific Center of the Russian Academy of Sciences
Email: a.martynova@ksc.ru
ORCID iD: 0000-0002-0701-8698
SPIN-code: 7211-3236
Cand. Sci. (Biology)
Russian Federation, ApatityElina I. Grigorieva
Kola Scientific Center of the Russian Academy of Sciences
Email: elinamart@mail.ru
ORCID iD: 0000-0003-3580-1126
SPIN-code: 1233-4923
Russian Federation, Apatity
References
- GBD 2021 Fertility and Forecasting Collaborators. Global Fertility in 204 Countries and Territories, 1950–2021, With Forecasts to 2100: A Comprehensive Demographic Analysis for the Global Burden of Disease Study 2021. Lancet. 2024;403(10440):2057–2099. doi: 10.1016/S0140-6736(24)00550-6
- Priya K, Setty M, Babu UV, Pai KSR. Implications of Environmental Toxicants on Ovarian Follicles: How it Can Adversely Affect the Female Fertility? Environmental Science and Pollution Research. 2021;28(48):67925–67939. doi: 10.1007/s11356-021-16489-4 EDN: NGQQWI
- Bezhenar VF, Kira EF, Tsveliov YuV, et al. The Analysis of Complex Influence of the Adverse Ecological/ Professional Factors on Reproduction Health of the Women. Journal of Obstetrics and Women’s Diseases. 2003;52(2):35–43. EDN: HUAPKR
- Babanov SA, Strizhakov LA, Agarkova IA, et al. Workplace Factors and Reproductive Health: Causation and Occupational Risks Assessment. Gynecology. 2019;21(4):33–43. doi: 10.26442/20795696.2019.1.190227 EDN: ZIFUDA
- Lawson CC, Schnorr TM, Daston GP, et al. An Occupational Reproductive Research Agenda for the Third Millennium. Environmental Health Perspectives. 2003;111(4):584–592. doi: 10.1289/ehp.5548
- Panagopoulos P, Mavrogianni D, Christodoulaki C, et al. Effects of Endocrine Disrupting Compounds on Female Fertility. Best Practice & Research Clinical Obstetrics & Gynaecology. 2023;88:102347. doi: 10.1016/j.bpobgyn.2023.102347 EDN: WRBHOL
- Shulhai AM, Bianco V, Donini V, et al. Which is the Current Knowledge on Man-Made Endocrine- Disrupting Chemicals in Follicular Fluid? An Overview of Effects on Ovarian Function and Reproductive Health. Frontiers in Endocrinology. 2024;15:1435121. doi: 10.3389/fendo.2024.1435121 EDN: UIMRBD
- Nikitin AI. Hormone-Like Pollutants of the Biosphere and Their Impact on Human Reproductive Function. Biosfera. 2009;1(2):218–229. EDN: QZOGHV
- Peiris-John RJ, Wickremasinghe R. Impact of Low-Level Exposure to Organophosphates on Human Reproduction and Survival. Transactions of the Royal Society of Tropical Medicine and Hygiene. 2008;102(3):239–245. doi: 10.1016/j.trstmh.2007.11.012 EDN: MALOHF
- World Health Organization. Infertility Prevalence Estimates 1990–2021 [Internet]. Geneva: World Health Organization; 2023 [cited 2024 Dec 12]. ISBN: 978-92-4-006831-5 Available from: https://iris.who.int/bitstream/handle/10665/366700/9789240068315-eng.pdf?sequence=1
- Mercuri ND, Cox BJ. The Need for More Research Into Reproductive Health and Disease. eLife. 2022;11:e75061. doi: 10.7554/eLife.75061 EDN: LLDWQC
- Sakali AK, Bargiota A, Bjekic-Macut J, et al. Environmental Factors Affecting Female Fertility. Endocrine. 2024;86(1):58–69. doi: 10.1007/s12020-024-03940-y EDN: ZPJKPN
- Chashchin VP, Gudkov AB, Popova ON, et al. Description of Main Health Deterioration Risk Factors for Population Living on Territories of Active Natural Management in the Arctic. Ekologiya cheloveka (Human Ecology). 2014;21(1):3–12. EDN: RYIEQP
- Dudarev AA, Odland JO. Human Health in Connection With Arctic Pollution - Results and Perspectives of International Studies Under the Aegis of AMAP. Ekologiya cheloveka (Human Ecology). 2017;24(9):3–14. doi: 10.33396/1728-0869-2017-9-3-14 EDN: ZFVNJL
- Talykova LV, Nikanov AN, Bykov VR. Demographic Situation and Professional Risk of Workers of Mining Industry of the Arctic Zone of the Russian Federation. Journal of Ural Medical Academic Science. 2019;16(2):245–252. doi: 10.22138/2500-0918-2019-16-2-245-252 EDN: DHJVMQ
- Yankovskaya GF. Reproductive health of women of different age groups living in the Kola Arctic [dissertation]. Petrozavodsk; 2009. EDN: NQMHWT
- Belisheva NK. Comparative Analysis of Morbidity and Elemental Composition of Hair Among Children Living on Different Territories of the Kola North. In: Conference proceedings of VI International Symposium “Biogenic - Abiogenic Interactions in Natural and Anthropogenic Systems” Lecture Notes in Earth System Sciences. Cham: Springer; 2019. P. 803–827. doi: 10.1007/978-3-030-21614-6_43 EDN: EZHOKW
- Pashkevich MA, Strizhenok AV. Analysis of the Landscape-Geochemical Situation in the Area of Location of the Tailings Facility ANOF-2 of JSC “APATIT”. Zapiski Gornogo instituta. 2013;206:155–160. (In Russ.) EDN: SDBPMF
- Makarov DV, Svetlov AV, Goryachev AA, et al. Ngs Dust Emissions Caused by the Climate Change: A Case-Study of a Mine in Russia’s Far North. Mining Informational and Analytical Bulletin (Scientific and Technical Journal). 2021; (5):122–133. doi: 10.25018/0236_1493_2021_5_0_122 EDN: GKGLXI
- Belisheva NK, Martynova AA, Korovkina AV. Physiological Status of Reproductive Age Girls Under Conditions of Technogenic Impact in the Kola North. Ekologiya cheloveka (Human Ecology). 2022;29(12):889–900. doi: 10.17816/humeco109941 EDN: PSBSRQ
- Harlow SD, Gass M, Hall JE, et al. Executive Summary of the Stages of Reproductive Aging Workshop + 10. Menopause. 2012;19(4):387–395. doi: 10.1097/gme.0b013e31824d8f40
- Lerchbaum E, Schwetz V, Rabe T, et al. Hyperandrogenemia in Polycystic Ovary Syndrome: Exploration of the Role of Free Testosterone and Androstenedione in Metabolic Phenotype. PLoS ONE. 2014;9(10):e108263. doi: 10.1371/journal.pone.0108263
- Unguryanu TN, Grjibovski AM. Brief Recommendations on Description, Analysis and Presentation of Data in Scientific Papers. Ekologiya cheloveka (Human Ecology). 2011;(5):55–60. EDN: NRDBMN
- Ayala C, Steinberger E, Smith KD, et al. Serum Testosterone Levels And Reference Ranges In Reproductive-Age Women. Endocrine Practice. 1999;5(6):322–329. doi: 10.4158/EP.5.6.322
- Laven JS, Mulders AG, Visser JA, et al. Anti-Müllerian Hormone Serum Concentrations in Normoovulatory and Anovulatory Women of Reproductive Age. J Clin Endocrinol Metab. 2004;89(1):318–323. doi: 10.1210/jc.2003-030932
- Pigny P, Merlen E, Robert Y, et al. Elevated Serum Level of Anti-Mullerian Hormone in Patients with Polycystic Ovary Syndrome: Relationship to the Ovarian Follicle Excess and to the Follicular Arrest. The Journal of Clinical Endocrinology & Metabolism. 2003;88(12):5957–5962. doi: 10.1210/jc.2003-030727
- La Marca A, Sighinolfi G, Radi D, et al. Anti-Mullerian hormone (AMH) as a predictive marker in assisted reproductive technology (ART). Human Reproduction Update. 2009;16(2):113–130. doi: 10.1093/humupd/dmp036
- Kozlowski IF, Carneiro MC, Rosa VBD, Schuffner A. Correlation Between anti-Müllerian Hormone, Age, and Number of Oocytes: A Retrospective Study in a Brazilian in vitro Fertilization Center. JBRA Assist Reprod. 2022;26(2):214–221. doi: 10.5935/1518-0557.20210083
- Mykytyuk MR, Khyzhnyak OO. Hyperandrogenism Syndrome: Diagnostics and Treatment From the Position of Clinical Endocrinology. International Journal of Endocrinology. 2021;16(8):662–668. doi: 10.22141/2224-0721.16.8.2020.222887 EDN: NRWKUY
- Yashchuk AG, Maslennikov AV, Dautova LA, et al. The Role of Platelets in Female Reproductive Function. Russian Bulletin of Obstetrician-Gynecologist. 2017;17(4):20–24. doi: 10.17116/rosakush201717420-24 EDN: ZEHBBL
- Bódis J, Papp S, Vermes I, et al. “Platelet-Associated Regulatory System (PARS)” With Particular Reference to Female Reproduction. Journal of Ovarian Research. 2014;7(1):55. doi: 10.1186/1757-2215-7-55
- Sova H, Unkila-Kallio L, Tiitinen A, et al. Hormone Profiling, Including anti-Müllerian Hormone (AMH), for the Diagnosis of Polycystic Ovary Syndrome (PCOS) and Characterization of PCOS Phenotypes. Gynecol Endocrinol. 2019;35(7):595–600. doi: 10.1080/09513590.2018.1559807
- Chebotareva YY, Letifov HM, Gorban EG, Kostoeva ZA. Some Features of Hormonal Profile in Adolescent Girls with Urinary Tract Infections. Nephrology (Saint-Petersburg). 2019;23(3):54–58. doi: 10.24884/1561-6274-2019-23-3-54-58 EDN: HTNROV
- Shah D, Jirge PR. Anti-Mullerian Hormone and Fertility Treatment Decisions in Polycystic Ovary Syndrome: A Literature Review. Journal of Human Reproductive Sciences. 2024;17(1):16–24. doi: 10.4103/jhrs.jhrs_153_23 EDN: KSQXVD
- Vdovenko IA, Setko NP, Konstantinova OD. Ecological Problems of Reproductive Health. Hygiene and Sanitation, Russian Journal. 2013;92(4):24–28. EDN: PLTDXY
- Ailamazyan EK, Beljaeva TV. General and Particular Problems of Ecological Reproduction. Journal of Obstetrics and Women’s Diseases. 2003;52(2):4–10. EDN: HUAPJD
- Mining and Metallurgical Company Norilsk Nickel (impact on the environment and human health) [Internet]. Association report Bellona; 2010 [cited 2019 Dec 09]. (In Russ.) Available from: https://bellona.org/assets/sites/4/fil_nikel-report-bellona-2010-ru.pdf
- Belisheva N, Martynova A, Mikhaylov R. An Interdisciplinary Approach to Predicting the Effects of Transboundary Atmospheric Transport to Northwest European Neighboring States. KnE Social Sciences. 2022;7(3):158–171. doi: 10.18502/kss.v7i3.10450 EDN: PGKOHZ
- Gurev AA. Sustainable Development of Crude Ore Resources and Benefication Facilities of JSC “Apatit” Based on Best Engineering Solutions. Journal of Mining Institute. 2017;228:662–673. doi: 10.25515/PMI.2017.6.662 EDN: YQCXHU
- Amosov PV, Baklanov AA, Goryachev AA, et al. Dusting of Apatite-Nepheline Ores Enrichment Tailings: An Environmental Problem and Pathways to Solve it. Apatity: Kola Scientific Center of the Russian Academy of Sciences; 2023. doi: 10.37614/978.5.91137.505.8 EDN: GOQMPA
- Belisheva NK, Drogobuzhskaya SV. Rare Earth Element Content in Hair Samples of Children Living in the Vicinity of the Kola Peninsula Mining Site and Nervous System Diseases. Biology. 2024;13(8):626. doi: 10.3390/biology13080626 EDN: SRSKNM
- Minghui F, Ran S, Yuxue J, Minjia S. Toxic Effects of Titanium Dioxide Nanoparticles on Reproduction in Mammals. Frontiers in Bioengineering and Biotechnology. 2023;11:1183592. doi: 10.3389/fbioe.2023.1183592 EDN: UHPHKY
- Cornu R, Béduneau A, Martin H. Ingestion of Titanium Dioxide Nanoparticles: A Definite Health Risk for Consumers and Their Progeny. Archives of Toxicology. 2022;96(10):2655–2686. doi: 10.1007/s00204-022-03334-x EDN: QVSXDT
- Hong F, Wang L. Nanosized Titanium Dioxide-Induced Premature Ovarian Failure is Associated With Abnormalities in Serum Parameters in Female Mice. International Journal of Nanomedicine. 2018;13: 2543–2549. doi: 10.2147/IJN.S151215
- Sirotkin AV, Bauer M, Kadasi A, et al. The Toxic Influence of Silver and Titanium Dioxide Nanoparticles on Cultured Ovarian Granulosa Cells. Reproductive Biology. 2021;21(1):100467. doi: 10.1016/j.repbio.2020.100467 EDN: TRHVBO
- Kolesnikova TN. Premature Extinction of Reproductive Function as a Manifestation of Environmental Maladaptation. In: Republican collection of scientific papers “ The role of environmental and industrial factors in the formation of pathology of the female reproductive function”. Moscow: Moscow Regional Research Institute of Obstetrics and Gynecology; 1992. P. 68–70. EDN: FEVUHD
Supplementary files





