Assessment of the pathogenicity of weather and climatic conditions in the Kamchatka Territory
- Authors: Pogorelov A.R.1
-
Affiliations:
- Pacific Geographical Institute of the Far Eastern Branch of the Russian Academy of Sciences
- Issue: Vol 32, No 9 (2025)
- Pages: 628-639
- Section: ORIGINAL STUDY ARTICLES
- Submitted: 11.09.2025
- Accepted: 19.09.2025
- Published: 27.10.2025
- URL: https://hum-ecol.ru/1728-0869/article/view/690295
- DOI: https://doi.org/10.17816/humeco690295
- EDN: https://elibrary.ru/RKZLGY
- ID: 690295
Cite item
Full Text
Abstract
BACKGROUND: Climate is one of the most important factors shaping human habitat and health. Given the significance of climate at the macro- and meso-levels, regional-level studies of weather and climatic conditions for medical purposes are particularly relevant. The choice of the Kamchatka Territory for this research is explained by the insufficient knowledge of regional medical and climatic conditions and the need to protect public health.
AIM: This study aimed to provide a regional assessment of the pathogenicity of weather and climatic conditions in the Kamchatka Territory.
METHODS: The study was based on meteorological data from 2010–2024 collected from meteorological stations covering all climatic subregions and administrative districts of the territory. The assessment was carried out using a composite bioclimatic index (weather pathogenicity index), with the construction of time series for mean annual values and annual cycles. To evaluate the spatial distribution of the index, a series of maps was developed. In addition, correlation analysis was performed between index values and overall population morbidity.
RESULTS: Almost homogeneous variation of mean annual index values was identified across the territories of Kamchatka. This reflects the stability of weather and climatic conditions, as well as seasonal and territorial differences in their pathogenicity. Increasing pathogenicity was observed along the main gradient from southeastern and central to northern areas. In the warm season, differences between continental and coastal areas were more pronounced, with the former showing the most favorable (optimal) values of the index across the territory. In the cold season, especially in January, acute pathogenicity was observed throughout the region. The greatest number of correlations was established between morbidity rates and index values during the cold season (with a strong association for respiratory diseases).
CONCLUSION: This study provides the first assessment of the pathogenicity of weather and climatic conditions in the Kamchatka Territory. A relatively stable spatiotemporal differentiation of pathogenicity was identified. The most suitable and unsuitable areas were determined for implementing medical, sanatorium–resort, and tourism–recreational activities. The most favorable areas were central inland territories, whereas the least suitable were Bering Island and the southwestern coast of Kamchatka.
Full Text
ОБОСНОВАНИЕ
Климатический фактор занимает важное место в формировании окружающей среды обитания и условий жизни человека. Климат на макро- и мезоуровнях рассматривается как общий энергетический фон формирования здоровья и предпосылка проявления патологических состояний среди населения [1, 2]. Именно поэтому в научно-практическом отношении особую актуальность и востребованность составляют оценочные исследования погодно-климатических условий для медицинских и медико-географических целей, реализованные на региональном уровне [3–5]. Результаты подобных исследований раскрывают региональные особенности потенциальной значимости погодно-климатических условий для населения, его здоровья и реализации различных видов жизнедеятельности. Важным аспектом также является получение информации о внутрирегиональных (территориальных) различиях, актуальной для проведения исследований более локального характера, регионального стратегирования и реализации мероприятий по адаптации к климатическим (биоклиматическим) рискам. Такие действия особенно важны в крупных северных регионах с дифференцированными и часто дискомфортными климатическими условиями [6, 7], к числу которых относится Камчатский край.
Камчатский край — один из наиболее отдалённых восточных регионов страны, территория которого полностью относится к районам Крайнего Севера и характеризуется весьма сложными условиями природно-климатической среды. Неоднократно указывалось, что климат оказывает сильное влияние на формирование здоровья населения Камчатки [8–10]. В условиях данного региона в связи с климатическими факторами выявлены риски распространения болезней органов дыхания [11] и более высокой заболеваемости внебольничными пневмониями в различные месяцы года [12]. Также на основе медико-социологических оценок местными жителями отмечается достаточно сильная зависимость между собственным здоровьем и погодно-климатическими условиями проживания [13]. Сказанное подтверждает необходимость и актуальность изучения проблемы погодно-климатических условий Камчатского края относительно здоровья населения на основании данных специальных биоклиматических (медико-климатических) индексов. В этом направлении для интересуемого региона выполнен ряд работ локального характера, ограничивающихся только пределами краевой столицы — Петропавловска-Камчатского [14–18]. Лишь отдельные макрорегиональные исследования позволили осветить некоторые показатели биоклимата Камчатского края на общем фоне Дальнего Востока [19–21], два из которых посвящены проблеме влияния климатических условий на респираторную систему человека. Именно поэтому медико-климатическое изучение Камчатского края на региональном уровне остаётся недостаточно разработанной и актуальной научной задачей.
К настоящему времени создано множество биоклиматических индексов, позволяющих проводить исследования для медицинских целей. Из них ограниченное число пригодно для реализации комплексных исследований различных свойств погодно-климатических условий какой-либо территории. К последним относится общий индекс патогенности погоды (ИПП) или метеорологической ситуации — эмпирический индекс, основанный на оценке нагрузки окружающей среды [22], который считается одним из лучших биоклиматических индексов для изучения теплового стресса [23] и информативным для комплексной оценки влияния погоды на здоровье [24]. Данный индекс, предложенный Г.Т. Латышевым и В.Г. Бокшей, позволяет оценить степень патогенного (раздражающего) действия комплекса погодно-климатических условий на человека, прежде всего определить риски отрицательной реакции для больных людей [25]. Общий ИПП пригоден для комплексных исследований биоклиматической комфортности территорий регионального уровня и выявления внутрирегиональных различий [26–28]. Направленность индекса на медицинский (клинический) аспект оценки погодно-климатических условий актуальна в контексте необходимости улучшения качества жизни и охраны здоровья населения Камчатского края, а также долгосрочных перспектив развития в регионе санаторно-курортного дела и лечебно-оздоровительного туризма1.
Цель исследования. Региональная оценка патогенности погодно-климатических условий Камчатского края, основанная на данных общего ИПП за 2010–2024 гг.
МЕТОДЫ
Оценка патогенности погодно-климатических условий основывалась на суточных метеорологических данных по 12 основным (репрезентативным) метеостанциям Камчатского края (табл. 1), полученных на специализированных электронных ресурсах Всероссийского научно-исследовательского института гидрометеорологической информации — Мирового центра данных (meteo.ru) и справочного информационного портала «Погода и климат» (pogodaiklimat.ru). Отобранные метеоданные приводили к сопоставимому виду и сводили в тематическую базу данных, в которой производили дальнейшие расчёты. Временнóй охват данных составил многолетний период 2010–2024 гг., что соответствует фактическому современному климату. Представленные метеостанции характеризуются равномерной расположенностью по территории Камчатского края, охватывают все его климатические подобласти (согласно климатическому районированию по В.И. Кондратюку [29]) и административные (муниципальные) районы. Это позволило комплексно описать общие и внутренние региональные особенности патогенности погодно-климатических условий.
Таблица 1. Общая погодно-климатическая характеристика метеостанций Камчатского края
Table 1. General weather and climate characteristics of meteorological stations in the Kamchatka Region
Метеостанция | Населённый | КР | h | Многолетние среднегодовые показатели | ||||||
tm | tmin | tmax | RH | V | N | P | ||||
Петропавловск- | Петропавловск-Камчатский | В | 32 | +3,5 | −16,9 | +26,7 | 71,1 | 3,8 | 1007,6 | 5,0 |
Сосновка (32547) | Сосновка (Елизовский район) | В | 40 | +2,1 | −25,4 | +29,0 | 77,4 | 1,6 | 1007,6 | 4,7 |
Большерецк (32562) | Усть-Большерецк (Усть- | З | 30 | +1,4 | −28,5 | +24,2 | 84,7 | 3,7 | 1007,8 | 6,8 |
Соболево (32477) | Соболево (Соболевский район) | З | 25 | +0,8 | −33,2 | +25,7 | 81,3 | 2,5 | 1008,1 | 5,3 |
Мильково (32496) | Мильково (Мильковский район) | Ц | 168 | −0,9 | −40,5 | +29,3 | 73,7 | 1,5 | 1008,6 | 4,6 |
Эссо (32363) | Эссо (Быстринский район) | СХ | 481 | −1,5 | −33,6 | +28,9 | 72,8 | 1,3 | 1009,3 | 6,0 |
Усть-Камчатск (32408) | Усть-Камчатск (Усть- | В | 19 | +0,8 | −32,6 | +25,5 | 81,1 | 4,1 | 1008,1 | 5,1 |
Тигиль (32293) | Тигиль (Тигильский район) | З | 16 | −1,4 | −37,2 | +28,3 | 76,7 | 1,8 | 1008,2 | 4,3 |
Оссора (32246) | Оссора (Карагинский район) | В | 7 | −0,9 | −35,3 | +26,1 | 78,1 | 3,2 | 1010,0 | 4,9 |
Каменское (25745) | Каменское (Пенжинский район) | С | 35 | −4,8 | −42,5 | +28,2 | 74,1 | 3,5 | 1012,2 | 6,3 |
Тиличики (25950) | Тиличики (Олюторский район) | В | 89 | −1,0 | −27,0 | +23,1 | 74,1 | 4,1 | 1009,5 | 4,7 |
Остров Беринга (32618) | Никольское (Алеутский район) | В | 16 | +3,5 | −12,2 | +18,0 | 86,5 | 6,8 | 1007,2 | 7,9 |
Примечание. ВМО — Всемирная метеорологическая организация; АР — административный район; КР — климатическое районирование (климатическая подобласть); В — Восточная Приморская; З — Западная; Ц — Центрально-Камчатская межгорная депрессия; СХ — Срединный хребет; С — Северная; h — высота метеостанции над уровнем моря, м; tm — среднегодовая температура, °С; tmin — температура абсолютного минимума, °С; tmax — температура абсолютного максимума, °С; RH — относительная влажность воздуха, %; V — скорость ветра, м/с; N — нижняя облачность, баллы; P — атмосферное давление, гПа.
Собственно оценка патогенности погодно-климатических условий Камчатского края строилась на расчёте комплексного биоклиматического индекса — общего ИПП или I [25], равного сумме частных индексов патогенности по основным метеорологическим факторам (параметрам) и основанного на общей формуле [30]:
,
где t — среднесуточная температура воздуха, °С; h — среднесуточная относительная влажность воздуха, %; v — среднесуточная скорость ветра, м/с; n — облачность (нижняя), баллы; ∆P — межсуточное изменение атмосферного давления, гПа; ∆t — межсуточное изменение температуры воздуха, °С.
Интерпретация индекса зависит от его величины. Чем выше значение индекса, тем патогенность погоды хуже (сильнее). В работе принята следующая классификация индекса [31], которая позволила дать качественную характеристику и определить соответствующие условия (или тип) патогенности: 0,0–9,9 — оптимальные (комфортные); 10,0–16,0 — слабо раздражающие; 16,1–18,0 — умеренно раздражающие; 18,1–24,0 — сильно раздражающие; более 24 — острые. Дополнительно к данной классификации введён тип экстремальной патогенности, определяемой как двойное умноженное от минимальной величины индекса острого типа — более 48. Это необходимо для установления чрезвычайно высоких (экстремальных) значений ИПП в условиях разнообразных погодно-климатических условий большого по площади территории и северного по положению Камчатского края.
Суточные данные стали основой для дальнейшего расчёта ИПП за каждый календарный месяц и в среднем за год. Многолетние месячные данные позволили построить для всех метеостанций (территорий) годовой ход ИПП. Для каждого сезона по средним календарным месяцам (зима — январь; весна — апрель; лето — июль; осень — октябрь) с помощью серии карт, подготовленных в геоинформационном программном пакете QGIS 3.34.8, получена пространственная визуализация распределения ИПП. Всё это в совокупности позволило описать общегодовые, сезонные и территориальные особенности патогенности погодно-климатических условий Камчатского края.
Дополнительно проведён статистический корреляционный анализ для установления корреляционных связей между показателями ИПП и общей заболеваемости населения (совокупно по всем классам и по отдельным — болезней органов дыхания, системы кровообращения). При их расчёте использовали коэффициент Спирмена (доверительный интервал 0,95). Выбор классов болезней органов дыхания, системы кровообращения обусловлен климатической зависимостью ряда входящих в них нозоформ и установленными связями данных классов болезней с рядом биоклиматических индексов [2, 26, 32], а также их широким распространением, эпидемиологической и социальной значимостью для здоровья населения исследуемого региона [33]. Данные по заболеваемости населения за 2010–2024 гг. получены в Камчатском краевом медицинском информационно-аналитическом центре. Анализ необходим для общего выявления потенциальной значимости патогенности погоды в увеличении заболеваемости населения на региональном уровне и определения перспективности выбранного индекса для дальнейших исследований, связанных с оценкой влияния погодно-климатических условий на здоровье населения.
РЕЗУЛЬТАТЫ
Многолетняя общая динамика среднегодовых показателей ИПП различных территорий Камчатского края за 2010–2024 гг. (рис. 1) не претерпевала выраженных изменений. Большинство территорий из года в год, как правило, отличалось практически однородным варьированием среднегодовых показателей, отражая тем самым устойчивость сложившихся погодно-климатических условий и различий их патогенности. В то же время северные территории (Каменское, Тиличики, Оссора, Тигиль) отличились более высокими значениями среднегодовых показателей индекса в начале исследуемого периода, в дальнейшем показавшими снижение на 10,7–22,1% от максимума. Несмотря на это, северные территории продолжают характеризоваться высокими значениями среднегодового ИПП в сравнении с другими районами полуострова. В регионе наблюдается общая территориальная закономерность, выраженная в увеличении среднегодовых показателей индекса от юго-восточных и центральных (внутриматериковых) к северным территориям. Относительно худшие в региональном контексте Камчатского края значения среднегодовых показателей ИПП характерны для северных (Каменское, Оссора, Тиличики), западных (Усть-Большерецк, Соболево) и некоторых восточных, в том числе островных (Усть-Камчатск, Никольское) территорий. Относительно лучшие — для юго-восточных прибрежных и внутриматериковых территорий (Петропавловск-Камчатский, Сосновка, Мильково, Эссо, Тигиль). Максимальные значения устойчиво с 2013 г. типичны для территории за пределами основной части региона — острова Беринга (Никольское). Минимальные значения актуальны для краевой столицы — Петропавловска-Камчатского.
Рис. 1. Динамика среднегодового показателя индекса патогенности погоды (ИПП) в разрезе метеостанций Камчатского края в 2010–2024 гг.
Fig. 1. Temporal variation of the mean annual weather pathogenicity index (WPI) across meteorological stations of the Kamchatka Territory in 2010–2024.
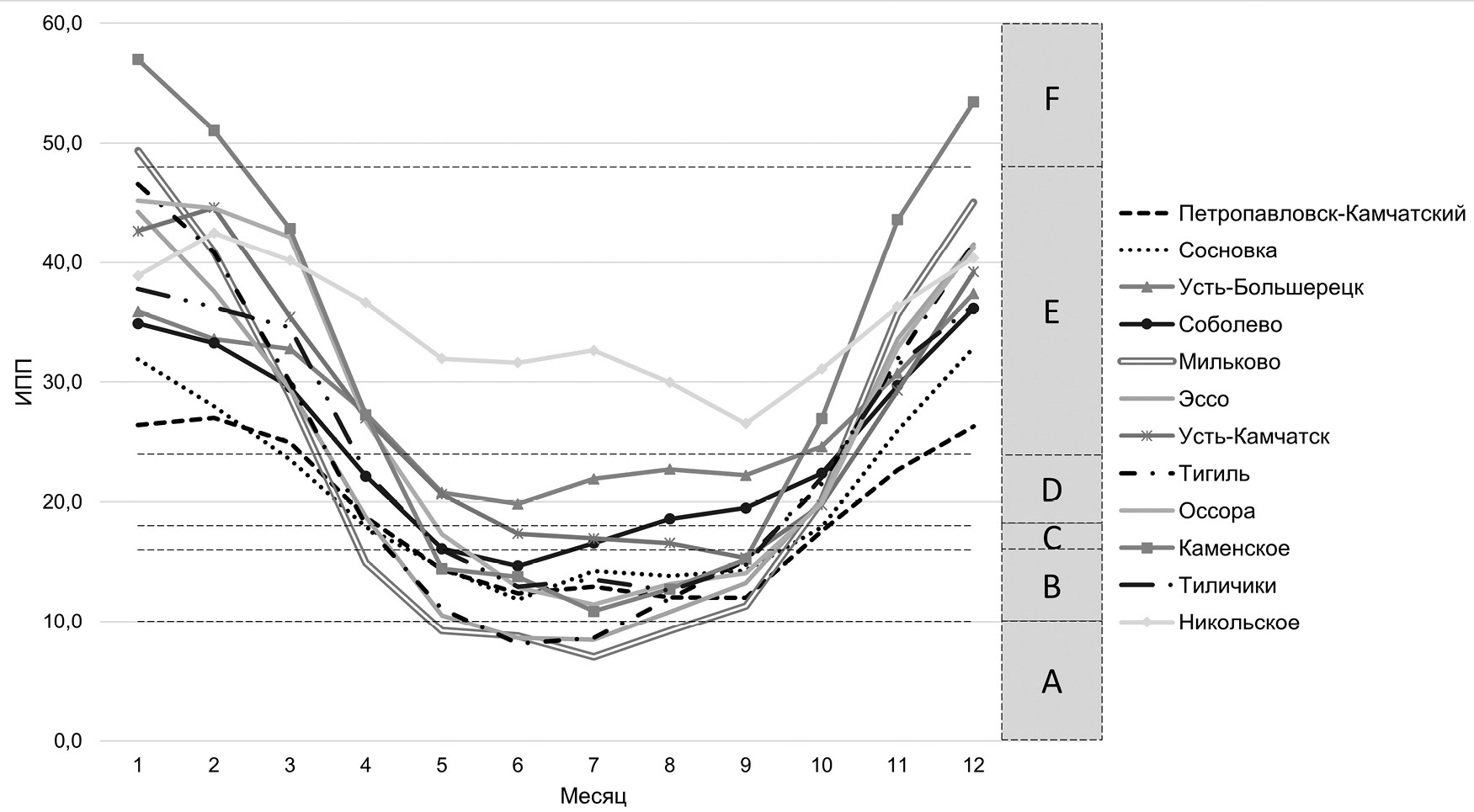
Годовой ход ИПП показывает как общие особенности, так и различия исследуемого процесса в Камчатском крае (рис. 2). Общая особенность просматривается в правильном годовом ходе по причине закономерной смены сезонов — понижении и увеличении индекса в более тёплые и холодные периоды года соответственно. Различия связаны с неоднородностью величин и качественных характеристик индекса, отражающих различную степень патогенности погодно-климатических условий территорий. Данные различия более выражены для прибрежных и континентальных территорий (рис. 3), когда в первом случае наблюдаются относительно меньшие вариации значений, во втором — напротив, они более выражены и резки в разные сезоны. На прибрежных территориях патогенность погоды ни в одном месяце не достигает оптимального (комфортного) уровня. В тёплый период года здесь устанавливается слабо раздражающий тип патогенности с наибольшей длительностью в Петропавловске-Камчатском (с мая по сентябрь). В Оссоре и Тиличиках такая патогенность погоды устанавливается с июня по сентябрь, в Усть-Камчатске — только в сентябре (пограничное значение — август; остальные месяцы лета — умеренно раздражающая погода). В холодное время года — всю календарную зиму, март и ноябрь (последний кроме Петропавловска-Камчатского) в прибрежных районах устанавливается острая патогенность погоды, которая в отдельных случаях длится дольше (в апреле — Усть-Камчатск, Оссора). Для межсезонья, как правило, характерна сильно раздражающая погода, на отдельных территориях — умеренно раздражающая (Петропавловск-Камчатский — октябрь, Оссора — май). Особым исключением не только для прибрежных, но и остальных территорий Камчатского края является остров Беринга, где круглогодично на протяжении всех месяцев наблюдается только острая патогенность погоды. Несмотря на то что она не достигает экстремальных значений, отсутствие оптимальных, слабо или умеренно раздражающих типов патогенности погоды позволяет охарактеризовать островную территорию наихудшими погодно-климатическими условиями для здоровья населения.
Рис. 2. Годовой ход индекса патогенности погоды (ИПП) в разрезе метеостанций Камчатского края в 2010–2024 гг. (тип патогенности: A — оптимальный; B — слабо раздражающий; C — умеренно раздражающий; D — сильно раздражающий; E — острый; F — экстремальный).
Fig. 2. Annual course of the weather pathogenicity index (WPI) across meteorological stations of the Kamchatka Territory in 2010–2024 (pathogenicity types: A, optimal; B, mildly irritating; C, moderately irritating; D, strongly irritating; E, acute; F, extreme).
Континентальные территории Камчатского края отличаются более выраженным годовым ходом индекса и соответственно разнообразными типами патогенности погодно-климатических условий. Исключением являются Усть-Большерецк и Соболево (выделены пунктирными линиями на рис. 3) со схожим годовым ходом прибрежных территорий, что связано, несмотря на их фактическое континентальное (неприбрежное) положение, близостью к морю (10–12 км). Оптимальный (комфортный) тип погоды устанавливается в Мильково (наибольшая длительность в регионе — с мая по август), Эссо и Тигиле (в обоих случаях — июнь–июль; пограничное значение в мае и августе в Эссо). На остальных территориях, кроме Усть-Большерецка, наилучшим возможным типом погоды за год является слабо раздражающая патогенность, продолжительно наблюдаемая в Сосновке и Каменском (с мая по сентябрь). В юго-западной части региона в Соболево такой тип погоды достигается только в июне, в Усть-Большерецке — не достигается вовсе, в тёплый период года здесь наблюдается сильно раздражающая патогенность. Для всех континентальных территорий в холодное время года характерна острая патогенность погоды (повсеместно — ноябрь–февраль), нередко продолжающаяся до марта (кроме Сосновки). Наиболее длительный период острого типа погоды типичен для Усть-Большерецка и Каменского, в общей совокупности длится с октября по апрель. В отдельных континентальных районах ИПП достигает экстремальных значений — в январе (Мильково) и всю календарную зиму в декабре–феврале (Каменское). Несмотря на то, что в Мильково январь отличается экстремальным значением индекса, в силу длительного и наиболее продолжительного в регионе установления оптимального (комфортного) типа данную территорию Центральной Камчатки можно отнести к наиболее благоприятным по погодно-климатическим условиям. С учётом пограничных значений ИПП в мае и августе, отсутствия экстремальных проявлений благоприятным по погодно-климатическим условиям также можно считать ещё одну территорию центральной части региона — Эссо. Длительный период года с экстремальными значениями индекса, отсутствие оптимального типа погоды в течение года позволяют отнести Каменское к территориям с фактическими наиболее неблагоприятными для здоровья населения погодно-климатическими условиями, возможными в материковой части Камчатского края (Северной Корякии).
Рис. 3. Годовой ход индекса патогенности погоды (ИПП) в разрезе сгруппированных прибрежных и континентальных метеостанций Камчатского края в 2010–2024 гг.
Fig. 3. Annual course of the weather pathogenicity index (WPI) across grouped coastal and continental meteorological stations of the Kamchatka Territory in 2010–2024
Камчатский край отличается территориальными различиями патогенности погодно-климатических условий в различные календарные сезоны года (рис. 4). В январе повсеместно на всей территории региона устанавливается острая патогенность погоды, которая может достигать экстремальных значений во внутриматериковых районах Центральной Камчатки (Мильково) и крайнего северо-запада (Каменское). В апреле продолжает наблюдаться острая патогенность погоды, но уже в меньшей части региона. В это время слабо раздражающие по патогенности погодно-климатические условия формируются в Центральной Камчатке (Мильково), умеренно раздражающий тип также наблюдается на отдельных континентальных территориях (Сосновка, Тигиль). В июле в большей части региона наблюдаются погодно-климатические условия от оптимальных (комфортных) до умеренно раздражающих по патогенности. Наилучшие (оптимальные) условия формируются в пределах внутриматериковых территорий полуострова (Мильково, Эссо, Тигиль), на севере и юго-востоке они достигают слабо раздражающего типа. Только в Усть-Большерецке погода держится на уровне сильно раздражающей патогенности, а в Никольском (остров Беринга) устойчиво сохраняется острая патогенность. Неблагоприятная ситуация по патогенности погодно-климатических условий в последних пунктах связана с комплексным влиянием некомфортных для человека сравнительно низких температур, высокой относительной влажности, регулярных и нередко сильных ветров. В октябре в Камчатском крае начинает увеличиваться патогенность погодно-климатических условий, достигая сильно раздражающего типа на большей части территорий. Острый тип патогенности погоды сохраняется в Никольском, Усть-Большерецке и становится типичным для Каменского. Умеренно раздражающая погода сохраняется на юго-востоке — в Петропавловске-Камчатском и Сосновке.
Рис. 4. Территориальные и сезонные различия индекса патогенности погоды (ИПП) в Камчатском крае.
Fig. 4. Territorial and seasonal differences in the weather pathogenicity index (WPI) in the Kamchatka Territory.
Сезонные особенности в различиях ИПП в целом согласуются с ранее обозначенной общей территориальной закономерностью, наблюдаемой для среднегодовых показателей. В тёплое время года бóльшую выраженность имеют различия между континентальными и прибрежными районами, когда в первых из них ИПП достигает наилучших значений в крае. Частная ситуация наблюдается в холодное время года, когда в отдельных наиболее континентальных районах ИПП достигает наихудших из возможных в крае значений (отчасти нарушая общую закономерность для центральной части полуострова). Наибольшая патогенность погодно-климатических условий в Камчатском крае и особенно в северных, центральных районах, как правило, устанавливается именно в январе. Это определяет данный месяц в региональном масштабе как наиболее патогенный по погодно-климатическим условиям и неблагоприятный для здоровья населения.
С учётом медицинской направленности ИПП определённый интерес представляет установление корреляционных связей между его показателями и фактическими проблемами здоровья населения на региональном уровне, определяемыми общей заболеваемостью. Для этой задачи был реализован корреляционный анализ с показателями заболеваемости (общей, болезней органов дыхания и системы кровообращения), показавший наличие 11 корреляционных связей с коэффициентом 0,3 и более, из них 3 — статистически значимые (табл. 2). Наибольшее число корреляционных связей (по всем показателям заболеваемости) выявлено с ИПП холодного периода года в январе. Здесь же установлены все статистически значимые связи с показателями заболеваемости всего населения — болезни органов дыхания (высокая — 0,78), детского населения — болезни органов дыхания (высокая — 0,76) и общая заболеваемость (заметная — 0,59). ИПП за среднегодовой и тёплый период года (июль) получил слабые корреляционные связи со многими показателями заболеваемости. Умеренная и заметная корреляционная связь установлена только с показателями заболеваемости детского населения болезнями системы кровообращения (обе статистически не значимы).
Таблица 2. Результаты корреляционного анализа между показателями общей заболеваемости и индексом патогенности погоды (rs >0,3)
Table 2. Results of the correlation analysis between overall morbidity indicators and the weather pathogenicity index (rs > 0.3)
Показатели общей заболеваемости | Индекс патогенности погоды | |||
среднегодовой | январь | июль | ||
Всё | Общая заболеваемость (все классы) | – | 0,41 | – |
Болезни органов дыхания | – | 0,78* | – | |
Болезни системы кровообращения | – | 0,56 | – | |
Взрослое | Общая заболеваемость (все классы) | – | 0,57 | – |
Болезни органов дыхания | – | 0,46 | – | |
Болезни системы кровообращения | – | 0,55 | – | |
Детское | Общая заболеваемость (все классы) | – | 0,59* | – |
Болезни органов дыхания | – | 0,76** | – | |
Болезни системы кровообращения | 0,42 | −0,34 | 0,58 | |
Примечание. Статистически значимые коэффициенты корреляции: * p <0,05; ** p <0,01. Прочерк — корреляция, в том числе статистически значимая, со значением коэффициента более 0,3 не выявлена.
ОБСУЖДЕНИЕ
Региональная дифференциация патогенности погодно-климатических условий в Камчатском крае выражается территориальными и сезонными особенностями, причины которых обусловлены различиями температурно-влажностного и ветрового режимов. Основные закономерности связаны с увеличением значений ИПП по направлению от юго-восточных и, как правило, центральных к северным территориям. Вместе с тем в регионе наблюдаются различия между континентальными и прибрежными территориями, выраженные годовым ходом ИПП, некоторыми сезонными и территориальными особенностями. Это отчасти согласуется с ранее полученными результатами исследования патогенности погоды на примере схожего по приморскому положению, но более южного дальневосточного региона — Приморского края [34]. В то же время прибрежные территории Камчатского края, в отличие от аналогичных в Приморском крае, отличаются более правильным годовым ходом ИПП (главным образом в связи с температурным фактором). Именно поэтому особенности континентального и прибрежного положения, в том числе в связи с различиями климатообразующих факторов, могут оказывать влияние на дифференциацию патогенности погодно-климатических условий на региональном уровне. В прибрежных районах в тёплое время года нередко наблюдаются более высокие значения ИПП в сравнении с континентальными. Кроме того, островное положение территории в условиях северного климата круглогодично способствует формированию неблагоприятных для населения погодно-климатических условий. Ярким примером служит остров Беринга (Никольское), где круглый год устойчиво сохраняется острая патогенность погоды.
В Камчатском крае отчётливо выражено повсеместное увеличение ИПП в зимний сезон, достигающего острого типа, в отдельных случаях — экстремального. Полученная новая региональная информация о неблагоприятной обстановке по ИПП дополняет ранние макрорегиональные [19, 21] и локальные [16, 18] медико-климатические исследования, подтверждает значительный и устойчивый уровень биоклиматического дискомфорта (с холодовым стрессом) для населения Камчатского края прежде всего в холодное время года. Это также согласуется с полученными в настоящем исследовании результатами корреляционного анализа, по итогам которого большинство корреляционных связей (и всех статистически значимых) установлено между показателями заболеваемости и ИПП холодного периода года в январе. В частности, для территории Дальнего Востока ранее устанавливались статистически-значимые корреляции с другими биоклиматическими индексами [2, 32]. В цитируемых исследованиях обнаруживались сильные корреляционные связи с заболеваемостью населения болезнями органов дыхания, что и на примере ИПП позволяет говорить о вкладе погодно-климатического фактора в распространение данной группы заболеваний. Необходимо отметить перспективность ИПП для региональных исследований влияния климатических факторов на динамику и распространение болезней органов дыхания.
Сложившаяся в Камчатском крае общая пространственно-временная стабильность патогенности погодно-климатических условий, оценённая с помощью соответствующего биоклиматического индекса, определила разные территории по степени комфортности для общего самочувствия и здоровья человека. Менее комфортные условия типичны для северных, прибрежных юго-западных и островных территорий, более комфортные — центральных и юго-восточных. С учётом внутрирегиональных особенностей данная информация необходима для рационального и эффективного планирования различных специальных мероприятий медицинской, санаторно-курортной и туристско-рекреационной деятельности в Камчатском крае. Результаты оценки патогенности погодно-климатических условий позволяют рекомендовать реализацию перечисленных мероприятий в тёплое время года в центральных районах (Мильково, Эссо), для жителей Корякского округа (в первую очередь, Тигильского района) опорным пунктом можно рассматривать Тигиль. Дополнительно в тёплое время года и периоды межсезонья при соблюдении правил нахождения на открытом воздухе перспективны территории Юго-Восточной Камчатки (Сосновка, Петропавловск-Камчатский). Круглогодично непригодны, прежде всего для мероприятий санаторно-курортной деятельности, территории острова Беринга (Никольское) и юго-западного побережья Камчатки (Усть-Большерецк).
ЗАКЛЮЧЕНИЕ
На основе специального комплексного биоклиматического индекса для Камчатского края впервые проведена оценка патогенности погодно-климатических условий на региональном уровне. К настоящему времени в регионе сложилась относительно стабильная пространственно-временная картина по исследованному процессу, что нашло подтверждение в динамике среднегодовых показателей ИПП, его сезонных и территориальных различий. Практически всем территориям края свойственен правильный годовой ход индекса, просматриваемый в равномерном снижении его величины к тёплому и увеличении к холодному времени года. При этом более выраженная контрастность годового хода актуальна для континентальных территорий. Общее ухудшение патогенности погодно-климатических условий наблюдается по основному направлению от юго-восточных и центральных к северным районам (общая территориальная закономерность региона). Исследование позволило выделить территории, пригодные для реализации мероприятий санаторно-курортной и смежной деятельности. Наиболее пригодны центральные внутриматериковые территории, круглогодично непригодны остров Беринга и юго-западное побережье Камчатки. Также результаты работы определили перспективность использования ИПП в региональных исследованиях влияния погодно-климатических факторов на здоровье населения и особенно проблем, связанных с респираторной заболеваемостью.
ДОПОЛНИТЕЛЬНАЯ ИНФОРМАЦИЯ
Вклад авторов. А.Р. Погорелов — определение концепции, работа с данными, визуализация, написание и редактирование рукописи. Автор одобрил рукопись (версию для публикации), а также согласился нести ответственность за все аспекты настоящей работы, гарантирует надлежащее рассмотрение и решение вопросов, связанных с точностью и добросовестностью любой её части.
Этическая экспертиза. Неприменимо, т.к. исследование основано на метеоданных.
Источники финансирования. Исследование проведено в рамках темы госзадания Минобрнауки РФ № 125022102815-5 (раздел 3).
Раскрытие интересов. Авторы заявляют об отсутствии отношений, деятельности и интересов за последние три года, связанных с третьими лицами (коммерческими и некоммерческими), интересы которых могут быть затронуты содержанием статьи.
Оригинальность. При создании настоящей работы авторы не использовали ранее опубликованные сведения (текст, иллюстрации, данные).
Доступ к данным. Редакционная политика в отношении совместного использования данных к настоящей работе не применима, новые данные не собирали и не создавали.
Генеративный искусственный интеллект. При создании настоящей статьи технологии генеративного искусственного интеллекта не использовали.
Рассмотрение и рецензирование. Настоящая работа подана в журнал в инициативном порядке и рассмотрена по обычной процедуре. В рецензировании участвовали два внешних рецензента, член редакционной коллегии и научный редактор издания.
ADDITIONAL INFORMATION
Author contributions: A.R. Pogorelov: conceptualization, data curation, visualization, writing—original draft, writing—review & editing. All the authors approved the version of the manuscript to be published and agreed to be accountable for all aspects of the work, ensuring that questions related to the accuracy or integrity of any part of the work are appropriately investigated and resolved.
Ethics approval: Not applicable, because the study is based on weather data.
Funding sources: The study was conducted within the framework of the state assignment of the Ministry of Science and Higher Education of the Russian Federation No. 125022102815-5 (Section 3).
Disclosure of interests: The authors have no relationships, activities, or interests for the last three years related to for-profit or not-for-profit third parties whose interests may be affected by the content of the article.
Statement of originality: No previously obtained or published material (text, images, or data) was used in this study or article.
Data availability statement: The editorial policy regarding data sharing does not apply to this work, as no new data was collected or created.
Generative AI: No generative artificial intelligence technologies were used to prepare this article.
Provenance and peer review: This paper was submitted unsolicited and reviewed following the standard procedure. The peer review process involved two external reviewers, a member of the Editorial Board, and the in-house scientific editor.
1 Стратегия социально-экономического развития Камчатского края до 2035 г. Приложение № 1 к Постановлению Правительства Камчатского края № 541-П от 30 октября 2023 г. [Электронный ресурс]. Режим доступа: https://agvet.kamgov.ru/document/frontend-document/view-npa?id=35121 Дата обращения: 11.08.2025.
About the authors
Artur R. Pogorelov
Pacific Geographical Institute of the Far Eastern Branch of the Russian Academy of Sciences
Author for correspondence.
Email: pogorelov_ar@mail.ru
ORCID iD: 0000-0001-7682-571X
SPIN-code: 3907-3488
Russian Federation, 7 Radio st, Vladivostok, 690041
References
- Grigorieva EA. Climate and human health: spatial aspects. Health. Medical Ecology. Science. 2017;(4):88–90. doi: 10.5281/zenodo.835339 EDN: ZVZYXV
- Grigorieva EA, Khristoforova NK. Climate and human health at the Russian Far East. Ekologiya cheloveka (Human Ecology). 2019;26(5): 4–10. doi: 10.33396/1728-0869-2019-5-4-10 EDN: SSKGTT
- Klinskaja EO, Grigoreva EA. Weather conditions of the Jewish Autonomous Region as risk factor of development of diseases of respiratory organs of the population. RUDN Journal of Ecology and Life Safety. 2011;(3):45–49. EDN: OCSGBD
- Stefanovich AA, Voskresenskaya EN. Changes in complex bioclimatic indicators in Crimea since the middle of the 20th century. Ekologiya cheloveka (Human Ecology). 2023;30(1):65–77. doi: 10.17816/humeco111767 EDN: VLNKIA
- Tupov SS, Koroleva EG, Pashkov SV. Bioclimatic indicators in regional medico-geographical studies. Proceedings of Voronezh State University. Series: Geography. Geoecology. 2023;(4):98–108. doi: 10.17308/geo/1609-0683/2023/4/98-108 EDN: XPSLUB
- Revich BA, Kharkova TL. Climate risks of social development of the Yamal-Nenets Autonomous District. Studies on Russian Economic Development. 2023;34(4):536–542. doi: 10.1134/s1075700723040147 EDN: HGOVOK
- Grigorieva EA, Walsh JE, Alexeev VA. Extremely cold climate and social vulnerability in Alaska: problems and prospects. Climate. 2024;12(2):20. doi: 10.3390/cli12020020 EDN: TXDEQF
- Klochkov AA. Population health as the major resource for social-economic development of Kamchatka. In: Conservation of Biodiversity of Kamchatka and Adjacent Seas: Proceedings of the V Scientific Conference. Petropavlovsk-Kamchatsky: Kamchatpress; 2004. Р. 187–190. (In Russ.)
- Naymushina TA, Shmeleva EV. The territory of Kamchatka as a habitat for ethnic groups. In: Kamchatka is inhabited by different peoples: materials of the XXIV Krasheninnikov readings. Petropavlovsk-Kamchatsky: Kamchatka Regional Scientific Library; 2007. Р. 129–132. (In Russ.)
- Perervenko OV, Antoniuk MV. Сlimate, еcological and hygienic characteristics of the spacecraft Kamchatka and health alien population. Health. Medical Ecology. Science. 2010;(3):8–12. EDN: MUDSYH
- Pogorelov AR. Medico-geographical assessment of the prevalence of respiratory diseases in northern and southern areas of the Russian Far East: comparison of Kamchatka and Primorsky Regions. Public Health and Life Environment. 2023;31(4):30–39. doi: 10.35627/2219-5238/2023-31-4-30-39 EDN: SZEKZI
- Rakhmanov RS, Potekhina NN, Grishin IA, et al. Epidemiological features of community-acquired pneumonia under extreme natural-climatic conditions. Public Health and Life Environment. 2017;(4):53–56. doi: 10.35627/2219-5238/2017-289-4-53-56 EDN: YLIDFN
- Pogorelov AR. Self-assessment of health and quality of life in the Kamchatka Region: results of the regional medico-sociological survey. Social aspects of population health. 2022;68(2):4. doi: 10.21045/2071-5021-2021-68-2-4 EDN: SZEKZI
- Rakhmanov RS, Mikhanoshina NV. On problem of evaluation of health risk for population due to natural-climatic conditions of Kamchatka. Public Health and Life Environment. 2014;(3):7–9. EDN: SKHPGX
- Pogorelov AR. Change of severity of weather in Petropavlovsk-Kamchatsky. In: Geosystems and their components in Northeast Asia: evolution and dynamics of natural, natural resource and socio-economic relations. Vladivostok: Dalnauka; 2016. Р. 366–368. EDN: VWJMKZ
- Rakhmanov RS, Bogomolova ES, Razgulin SA, et al. To the question of assessment of health risk of the population of weather-climate conditions in the territory of the Avacha agglomeration of Kamchatka. Occupational Medicine and Human Ecology. 2022;(2):100–112. doi: 10.24412/2411-3794-2022-10208 EDN: RWCTGL
- Rakhmanov RS, Spirin SA. Assessment of the influence of physical factors of the external environment on the heat feeling of a human in the conditions of Kamchatka. Marine Medicine. 2022;8(2):54–60. doi: 10.22328/2413-5747-2022-8-2-54-60 EDN: MHHQNG
- Rakhmanov RS, Bogomolova ES, Spirin SA. To the question of the influence of meteorological factors on population health in the conditions of the Kamchatsky Krai. Sanitary Doctor. 2022;(8):607–614. doi: 10.33920/med-08-2208-08 EDN: VCUWAD
- Derkacheva LN. Medical and climatic conditions of the Far Eastern region and their impact on respiratory system. Bulletin Physiology and Pathology of Respiration. 2000;(6):51–54. EDN: HRSDGN
- Grigorieva EA. The acclimatization stress for respiratory organs of people changing their geographic latitudes over the Russian Far East. The Bulletin of the North-East Scientific Center. 2011;(3):83–88. EDN: NXSWAX
- Gritsina OP, Yatsenko AK, Trankovskaya LV, et al. Analysis of bioclimatic comfort indicators in the Far Eastern Federal District. Pacific Medical Journal. 2025;(1):45–50. doi: 10.34215/1609-1175-2025-1-45-50 EDN: UIXZYB
- Grigorieva EA. Climate as an ecological factor of human life [dissertation]. Vladivostok; 2016. 363 р. Available from: https://www.dvfu.ru/upload/medialibrary/938/Григорьева_ДД_2017_11_01.pdf (In Russ.) EDN: PDEXFA
- de Freitas CR, Grigorieva EA. A comparison and appraisal of a comprehensive range of human thermal climate indices. Int J Biometeorol. 2017;61(3):487–512. doi: 10.1007/s00484-016-1228-6
- Stefanovich AA, Voskresenskaya EN. Modern assessment methods of comfort of bioclimatic conditions for resort areas. Monitoring Systems of Environment. 2021;(1):7–17. doi: 10.33075/2220-5861-2021-1-7-17 EDN: OXSSOO
- Boksha VG. Handbook of climatotherapy. Kyiv: Zdorovya; 1989. 203 p. (In Russ.) ISBN: 5-311-00337-5
- Vykhovanets YuG, Tetyura SM, Vykhovanets TA, et al. Assessment of the influence of meteorological and environmental factors on diseases of the circulatory system in the population of the industrial region. Health Care of the Russian Federation. 2025;69(1):70–76. doi: 10.47470/0044-197X-2025-69-1-70-76 EDN: FHHQXY
- Perevedentsev YuP, Shumikhina AV. The dynamics of the bioclimatic indices of environmental comfort in the Udmurt Republic, Russia. Uchenye Zapiski Kazanskogo Universiteta. Seriya Estestvennye Nauki. 2016:158(4):531–547. EDN: XWRPVV
- Perevedentsev YuP, Malkhazova SM, Aukhadeev TR, Shantalinsky KM. Medical and demographic consequences of climate change and the assessment of comfort level of weather-climatic conditions in the Volga Federal District. Geography, Environment, Sustainability. 2016;9(4):63–76. doi: 10.15356/2071-9388_04v09_2016_05 EDN: YMDBCR
- Kondratyuk VI. Climate of Kamchatka. Moscow: Gidrometeoizdat; 1974. 202 p. (In Russ.) URL: https://search.rsl.ru/ru/record/01007408384
- Andreev SS. Integral assessment of climatic comfort on the example of the territory of the Southern Federal District of Russia. St. Petersburg: RGGMU; 2011. 302 р. (In Russ.) EDN: QMBWRV
- Aizenshtat BA, Lukina LP. Thermal regime of man. St. Petersburg: Gidrometeoizdat; 1993. 167 p. (In Russ.) ISBN: 5-286-00951-4
- Grigorieva EA. Climatic discomfort and morbidity at the Russian Far East. Regional Problems. 2018;21(2):105–112. doi: 10.31433/1605-220X-2018-21-2-105-112 EDN: XSAFDF
- Pogorelov AR. Territorial differentiation of public health in Kamchatka Krai. Regional Research. 2022;(1):56–67. doi: 10.5922/1994-5280-2022-1-5 EDN: ZJBCSP
- Lisina IA, Vasilevskaya LN, Lebedeva OI, Volkova DI. A study of the spatial and temporal distribution of the total climate pathogenicity index of Primorsky Krai for 2011–2020. Pacific Geography. 2022;(4):72–81. doi: 10.35735/26870509_2022_12_7 EDN: DTXNIU
Supplementary files








