Persistent organic pollutants in the human body: Russian and Soviet studies
- Authors: Gumovskaya Y.P.1, Mironova E.K1, Polevshchikov A.V.2, Donets M.M.3, Tsygankov V.Y.3
-
Affiliations:
- Far Eastern Federal University
- Institute of Experimental Medicine
- Pacific Geographical Institute of the Far Eastern Branch of the Russian Academy of Sciences
- Issue: Vol 31, No 6 (2024)
- Pages: 429-446
- Section: REVIEWS
- Submitted: 20.05.2024
- Accepted: 26.11.2024
- Published: 25.12.2024
- URL: https://hum-ecol.ru/1728-0869/article/view/631779
- DOI: https://doi.org/10.17816/humeco631779
- ID: 631779
Cite item
Full Text
Abstract
This review presents data on the prevalence and use of persistent organic pollutants in Russia. It highlights current biomonitoring studies on their accumulation in human organs and tissues. The article also examines findings from Russian and Soviet studies on the effects of xenobiotics on the human body. Research on the acute toxicity of these substances peaked in the 1960s–1970s, while studies on their chronic effects began to emerge in the 1980s–1990s. Currently, such studies are extremely scarce.
Keywords
Full Text
ОБОСНОВАНИЕ
В условиях современной цивилизации экологические факторы влияют на здоровье человека на 40–50%. Загрязнение окружающей среды — одна из основных причин роста заболеваний, приводящих к ослаблению и модификации защитных функций и адаптационных резервов организма человека. В течение второй половины XX в. происходило неконтролируемое загрязнение биосферы продуктами распада пестицидов хлорорганической группы.
Стойкие органические загрязнители (СОЗ) являются самыми опасными из всех поллютантов, поступающих в окружающую среду в результате антропогенной деятельности. За последние десятилетия эти суперэкотоксиканты нанесли тяжёлый вред природе и здоровью человека из-за их биоаккумуляции, канцерогенных свойств и нейротоксичности [1]. Их накопление в окружающей среде представляет глобальную проблему. Среди СОЗ наиболее распространёнными веществами являются хлорорганические пестициды (ХОП) и полихлорированные бифенилы (ПХБ). Мировое сообщество приняло ряд документов, предусматривающих разработку и осуществление глобальных мер, направленных на уменьшение аккумуляции СОЗ в окружающей среде и связанных с ними рисков. В рамках главного документа «Конвенция о стойких органических загрязнителях» (Стокгольмская конвенция) ведётся глобальный мониторинг уровня СОЗ в разных средах обитания, организмах животных, растений и человека, что является предметом широких и многогранных научных проектов [1].
В России в рамках Стокгольмской конвенции проводится биомониторинг СОЗ не на всей территории. В настоящее время фрагментарно исследованы звенья морских и наземных трофических уровней [2–6], однако до сих пор открыт вопрос о влиянии СОЗ на здоровье человека как конечного звена пищевой цепи. Несмотря на значительный объём проводимых исследований, массив полученных результатов по уровням СОЗ в разных звеньях пищевой цепи и в организме человека требует систематизации и обобщения.
Цель исследования. Систематизация результатов мониторинговых исследований в России и бывших республиках СССР с участием человека как биоиндикатора СОЗ, а также обобщение данных о возможных патологиях, связанных с воздействием этих ксенобиотиков на организм человека.
ХАРАКТЕРИСТИКА И СВОЙСТВА СТОЙКИХ ОРГАНИЧЕСКИХ ЗАГРЯЗНИТЕЛЕЙ
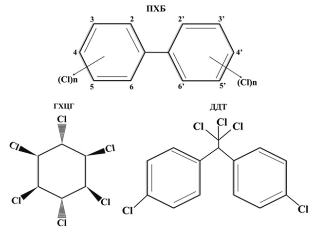
СОЗ включают в себя такие группы опасных соединений, как ХОП и ПБХ. ХОП, к которым относят соединения дихлордифенилтрихлорэтана (ДДТ) и гексахлорциклогексана (ГХЦГ), – большая группа галогенопроизводных ациклических и ароматических соединений антропогенного происхождения (рис. 1). В окружающую среду эти соединения попадают в результате хозяйственной деятельности человека. ХОП обладают высокой термостабильностью, липофильны, гидрофобны, являются инертными и практически не разлагаются под действием концентрированных кислот и щелочей (за исключением ГХЦГ) [7]. Показатели липофильности и гидрофобности в воде способствуют тому, что в природе такие соединения связываются частицами почвы, донных отложений, взвешенными частицами в воздухе и воде.
Рис. 1. Молекулярное строение гексахлорциклогексана (ГХЦГ), дихлордифенилтрихдорэтана (ДДТ) и полихлорированных бифенилов (ПХБ).
Fig. 1. Molecular structure hexachlorocyclohexane (ГХЦГ), dichlorodiphenyltrichlordoethane (ДДТ) and polychlorinated biphenyls (ПХБ).
Персистентность — причина повсеместного распространения ХОП в биосфере в результате процессов растворения, сорбции, биоаккумуляции и испарения. Основной биологический механизм разрушения ХОП в природе — процесс метаболического распада с участием различных микроорганизмов [8]. В результате испарения и ветровой эрозии из почвы и водоёмов эти токсиканты поступают в атмосферу и подвергаются глобальному перераспределению и переносу в полярные регионы.
Другой опасной группой, распространённой в окружающей среде, являются соединения ПХБ. Они представляют собой тяжёлые высококипящие маслообразные жидкости с диэлектрическими свойствами. Индивидуальные конгенеры ПХБ различаются количеством атомов хлора и положением его в молекуле (см. рис. 1). ПХБ устойчивы к гидролизу и биотрансформации в воде, но со временем при фотолизе в процессе ряда последовательных реакций ПХБ могут стать источником более токсичных соединений — полихлорированных дибензо-п-диоксинов [9]. В природе эти соединения распространены повсеместно, главную роль в распределении играет атмосферный перенос. Устойчивость в окружающей среде зависит от количества атомов хлора и расположения их в молекуле. Главными источниками загрязнения ПХБ являются многочисленные гидроэлектростанции, железные дороги и промышленные предприятия, производящие и использующие конденсаторы и трансформаторы. Часть ПХБ образуется как побочный продукт в процессе сжигания мусора. В результате проведённой инвентаризации ПХБ и ПХБ-содержащего оборудования в Российской Федерации в 2000 г. выявлено наличие около 7500 трансформаторов и 340 000 конденсаторов, в которых содержатся около 21 000 т ПХБ. Однако, согласно экспертной оценке, реальное количество ПХБ значительно выше и составляет не менее 28 000 т [10, 11].
РАСПРОСТРАНЁННОСТЬ И ИСПОЛЬЗОВАНИЕ СТОЙКИХ ОРГАНИЧЕСКИХ ЗАГРЯЗНИТЕЛЕЙ В РОССИИ
В России зарегистрировано около 1500 наименований пестицидов, представляющих собой моновещества, их разнообразные композиции, а также препараты биологического действия на основе фитопатогенных штаммов микроорганизмов, грибов и др. [12]. Сведения об основных группах пестицидов обобщены в табл. 1.
Таблица 1. Классификация пестицидов по назначению, способу проникновения и характеру действия [3]
Table 1. Classification of pesticides by purpose, method of penetration and nature of action [3]
Группа Group | Назначение, способ проникновения и характер действия Purpose, method of penetration and nature of action |
Инсектициды | Insecticides | |
Контактного действия Contact action | Вызывают гибель вредных насекомых при контакте They cause the death of harmful insects upon contact |
Кишечного действия Intestinal action | Вызывают гибель вредных насекомых при попадании в кишечник Cause the death of harmful insects when ingested |
Системного действия Systemic action | Способны продвигаться по сосудистой системе растения и отравлять поедающих его насекомых They are able to move through the vascular system of a plant and poison the insects that eat it |
Фумиганты Fumigants | Действуют в газообразном состоянии через органы дыхания насекомых They act in a gaseous state through the respiratory organs of insects |
Гербициды | Herbicides | |
Контактного действия Contact action | Вызывают гибель сорных растений при контакте They cause the death of weeds upon contact |
Системного действия Systemic action | Способны продвигаться по сосудистой системе растения и вызывать его гибель They are able to move through the vascular system of a plant and cause its death |
Почвенного действия Soil action | Действуют на корневую систему растений или на прорастающие семена They act on the root system of plants or on germinating seeds |
Избирательного действия Selective action | Поражают только определённые виды растений Only certain types of plants are affected |
Сплошного действия Continuous action | Уничтожают всю растительность Destroy all vegetation |
Фунгициды | Fungicides | |
Контактного действия Contact action | Используют для борьбы с патогенными грибами It is used to control pathogenic fungi |
Системного действия Systemic action | Способны продвигаться по сосудистой системе растений и убивать патогенные грибы They are able to move through the vascular system of plants and kill pathogenic fungi |
Защитного действия Protective action | Способны защищать от воздействий патогенных грибов They are able to protect against the effects of pathogenic fungi |
Лечебного действия Therapeutic effect | Способны давать лечебный эффект при действии патогенных грибов They are able to give a therapeutic effect under the action of pathogenic fungi |
Другие группы | Other groups | |
Ларвициды Larvicides | Уничтожают личинок и гусениц насекомых They destroy insect larvae and caterpillars |
Акарициды Acaricides | Уничтожают растительноядных клещей They destroy herbivorous ticks |
Овициды Ovicides | Уничтожают яйца вредных насекомых и клещей They destroy the eggs of harmful insects and ticks |
Нематоциды Nematocides | Уничтожают круглых червей Destroy roundworms |
Зооциды (родентициды) Zoozides (rodenticides) | Уничтожают грызунов Destroy rodents |
Моллюстициды Molluscicides | Уничтожают моллюсков Destroy shellfish |
Бактерициды Bactericides | Уничтожают болезнетворные бактерии Destroy pathogenic bacteria |
На территории страны действует каталог пестицидов и агрохимикатов, разрешённых к применению Министерством сельского хозяйства Российской Федерации. При этом, как видно из табл. 1, понятие «пестициды» трактуется достаточно широко. К ним относят как средства защиты, так и стимуляторы роста. Все вещества в каталоге зарегистрированы в соответствии с Федеральным Законом № 109 от 19.06.1997 г. «О безопасном обращении с пестицидами и агрохимикатами». В 2018 г. постановлением Главного санитарного врача введены новые Гигиенические нормативы 1.2.3539-18 для пестицидов, в то время как до 2016 г. применение пестицидов и химикатов регулировалось нормативами 1.2.3111-131.
Многие пестициды уже не применяются в силу низкой эффективности или высокой токсичности, что закреплено в соответствующих международных соглашениях. Тем не менее инвентаризация 2003 г. выявила, что на территории России хранится 24 000 т запрещённых к использованию пестицидов и/или средств с истекшим сроком годности. Одновременно дополнительные опасения вызывает тот факт, что 60% складов не отвечает санитарным нормам и требованиям безопасности. Масштабное и зачастую бесконтрольное и неоправданное применение пестицидов привело к тому, что на 60% обследованных территорий отмечается превышение уровней предельно допустимой концентрации пестицидов в разных средах. К числу наиболее проблемных территорий относятся регионы самого активного земледелия, вносящие решающий вклад в производство сельхозпродукции в стране, в том числе Краснодарский край (2700 т хранящихся на складах неутилизированных запрещённых к применению или устаревших пестицидов), Ростовская, Воронежская и Курганская области, Алтайский край (до 1000 т в каждом из регионов) [13].
Данные литературы свидетельствуют, что в подавляющем большинстве случаев наиболее загрязнённая среда — почва сельхозугодий [14, 15]. Однако важными дополнительными источниками СОЗ могут быть участки лесных пожаров, горящие свалки бытовых отходов и даже небольшие костры на приусадебных и дачных участках [15]. Так, согласно отчету Министерства природных ресурсов и экологии Российской Федерации «Состояние загрязнения пестицидами объектов природной среды Российской Федерации» в 2017 г. исследованы почвы различного типа из 39 субъектов Российской Федерации. Превышение предельно допустимой концентрации по пестицидам обнаружено на территории 11 субъектов (в 2016 г. — на территории 12 субъектов) [16].
Другим важным примером распространённости СОЗ в России остаются ПХБ. В Советском Союзе, в странах СНГ и Российской Федерации до 2011 г. ПХБ широко использовали в промышленности при производстве трансформаторов. Основные производства находились в Серпухове (Россия), Усть-Каменогорске (Казахстан), Гюмри (Азербайджан), на лакокрасочных заводах в Ярославле, Челябинске, Загорске, Котовске (все — Россия), заводах по изготовлению смазок (Нижний Новгород, Санкт-Петербург, Оренбург, Уфа, Пермь, все — Россия) [17]. В настоящее время наибольшее количество ПХБ обнаружено в Поволжском и Уральском регионах, за ними идут Центральный, Восточно-Сибирский, Северо-Кавказский и Волго-Вятский регионы [18].
С принятием Федерального закона Российской Федерации № 164 от 27 июня 2011 г. «О ратификации Стокгольмской конвенции о стойких органических загрязнителях (СОЗ)» Россия взяла на себя обязательства по уничтожению запасов ПХБ. До 2025 г. содержащее ПХБ электротехническое оборудование должно быть выведено из эксплуатации, до 2028 г. — уничтожены содержащие ПХБ отходы. В России контроль выбросов поллютантов в атмосферу осуществляется по специальным программам. Исследование отобранных проб проводится в аккредитованных на проведение анализа диоксинов и ПХБ лабораториях, расположенных в Москве, Санкт-Петербурге, Обнинске и Уфе [19].
Важной характеристикой токсических эффектов ПХБ является подавление иммунитета. Поступление ПХБ в организм человека также провоцирует развитие рака различной локализации, поражений печени, почек, нервной системы, кожи (нейродермиты, экземы, сыпи) [14]. Попадая в организм плода и ребенка, ПХБ проявляют тератогенные эффекты и способствуют появлению врождённых уродств, отставанию в развитии, дисфункции иммунитета, поражению кроветворения. ПХБ также обладают мутагенным действием, что негативно влияет на здоровье последующих поколений [5].
БИОМОНИТОРИНГ СТОЙКИХ ОРГАНИЧЕСКИХ ЗАГРЯЗНИТЕЛЕЙ В ОРГАНИЗМЕ ЧЕЛОВЕКА
Во многих странах большинство СОЗ запрещены или ограничены к применению. В 2006 г. Всемирная организация здравоохранения приняла решение о продолжении применения самого известного хлорорганического пестицида ДДТ в 12 странах мира, в том числе в Индии, Северной Корее и некоторых южноафриканских государствах [1]. Эти токсиканты могут попадать на территорию России за счёт трансграничного переноса, морскими течениями, мигрирующими организмами и с продуктами питания [20, 21].
Воздействию СОЗ подвергаются как сельские жители, живущие поблизости от мест обработок, так и широкий круг населения благодаря летучести этих соединений и возможности трансграничного переноса [22]. Основные пути, по которым СОЗ попадают в организм человека и биоаккумулируются, представлены в табл. 2.
Таблица 2. Основные пути попадания стойких органических загрязнителей в организм человека [89]
Table 2. Main routes of entry of persistent organic pollutants into the human body [89]
Путь проникновения The path of penetration | Путь передачи Transmission path | Источник A source |
Пероральный Oral | Приём пищи Food intake | Вода, овощи, фрукты, мясо, молоко и другие пищевые продукты Water, vegetables, fruits, meat, milk and other food products |
Контакт Contact | Вода, воздух, продукты питания и др. Water, air, food, etc. | |
Ингаляционный Inhalation | Дыхание Breath | Воздух, аэрозоли, пар Air, aerosols, steam |
Контакт Contact | Воздух, аэрозоли, вода Air, aerosols, water | |
Кожный Cutaneous | Через покровы Through the covers | Воздух, вода Air, water |
Контакт Contact | Воздух, вода, продукты питания Air, water, food |
Результаты биологического мониторинга четырёх самых крупных аграрных субъектов Южного федерального округа (Краснодарского края, Астраханской, Волгоградской и Ростовской областей) показывают наличие загрязнения ХОП окружающей среды и их аккумуляции в организме человека. К сожалению, отсутствуют данные по Адыгее и Калмыкии, земли которых подвергаются процессам природного и антропогенного опустынивания, что уже дало основание признать их зонами экологического бедствия [23–25].
Кратковременное превышение предельно допустимой концентрации пестицидов в 1–2 раза способствует возникновению локальных очагов экологически обусловленных заболеваний [26–28]. Установлена достоверная прямая связь между заболеваемостью и общей нагрузкой пестицидами на организм человека [29, 30].
С 1998 г. биомониторинг по хлорорганическим соединениям проводится в бывших республиках СССР: Казахстане, Беларуси, Армении, Украине и Кыргызской республике. Имеются данные по биологическому мониторингу Алтайского края, Архангельской области, Байкальского региона, Иркутской области, Дальнего Востока, Мурманской (Кольская Лапландия), Орловской, Самарской областей, Чукотки.
Данные проводимых в настоящее время наблюдений обобщены в табл. 3.
Таблица 3. Концентрация хлорорганических соединений в биологических жидкостях и материалах у жителей разных регионов России и бывших союзных республик
Table 3. Concentration of organochlorine compounds in biological fluids and materials in residents of different regions of Russia and former Soviet republics
Материал Material | Регион Region | Гексахлорциклогексан Hexachlorocyclohexane | Дихлордифенилтрихлорэтан Dichlorodiphenyltrichloroethane | Источник Reference |
Грудное молоко, нг/г липидов Breast milk (ng/g of lipids) | Армения | Armenia | 0,01061 | 0,00541 | [90] |
Архангельская область | Arkhangelsk region | 0,2–3,2 | 1037–1098 | [91] | |
Байкальский регион (Усолье-Сибирское) Baikal region (Usolye-Sibirskoye) | 0,5–16 | 566 | [92] | |
Республика Беларусь | Republic of Belarus | 2,222 | 7,662 | [93] | |
Владимирская область | Vladimir region | —8 | — | [94] | |
Дальний Восток | The Far East | 76 | 12,9 | ||
Иркутская область | Irkutsk region | 0,7-4,2 | 521 | [88] | |
Мурманск | Murmansk | 2–3 | 900 | [96] | |
Республика Бурятия | Republic of Buryatia | 0,45–18,00 | 660 | [97] | |
Самарская область | Samara region | 115–196 | 207–244 | [98] | |
Тюменская область | Tyumen region | — | — | [92] | |
Челябинская область | Chelyabinsk region | — | — | [99] | |
Чеченская Республика | The Chechen Republic | — | — | [99] | |
Чукотский АО | Chukotka Autonomous Distric | 0,1–5,6 | 204–418 | [91] | |
Кровь Blood | Дальний Восток (Приморский край) Far East (Primorsky Krai) | 90–9503 | 6,372 | |
Крым | Crimea | — | — | [100] | |
Мурманская область | Murmansk region | 1,052 | 6,372 | [101] | |
Российская Арктика | The Russian Arctic | — | 1,5–4,72 | [74] | |
Самарская область (Чапаевск) Samara region (Chapaevsk) | — | — | [102] | |
Моча Urine | Дальний Восток (Приморский край) Far East (Primorsky Krai) | 110–1606 | 70–4906 | |
Сперма Sperm | Кыргызстан | Kyrgyzstan | 0,0001–0,0141 | 0,0004–0,0531 | [64] |
Плацента | The placenta | Кыргызстан | Kyrgyzstan | — | — | [75] |
Абортальный материал Abortion material | Кыргызстан | Kyrgyzstan | — | — | [81] |
Подкожно-жировая клетчатка Subcutaneous fat | Украина | Ukraine | — | 31005 | |
Печень | Liver | Украина | Ukraine | — | 8205 | [104] |
Мозг | Brain | Узбекистан | Uzbekistan | — | — | [105] |
Слюна | Spittle | Краснодар | Krasnodar | — | — | [66] |
Волосы | Hair | Казань | Kazan | — | 2,8–287 | [106] |
Примечание. 1 мг/л; 2 мкг/л; 3 нг/л; 4 мг/мл; 5 мкг/кг сырой массы; 6 пг/л; 7 нг/мг сырой массы; 8 не обнаружено.
Note. 1 mg/l; 2 µg/l; 3 ng/l; 4 mg/ml; 5 µg/kg wet weight; 6 pg/l; 7 ng/mg wet weight; 8 not found.
В 1960–1980 гг. выполнены многочисленные отечественные научно-исследовательские работы, в которых изучалось влияние пестицидов на отдельные органы и системы человека (мозг, печень, глаза, кожу, кровь, иммунную систему, репродуктивную систему, нервную систему, вестибулярный аппарат), а также на углеводный обмен и окислительные процессы.
Высокая растворимость в жирах и низкая растворимость в воде обусловливают задержку ДДТ в жировой ткани. В целом консументы высоких пищевых уровней имеют тенденцию к накоплению больших количеств ДДТ по сравнению с продуцентами и консументами низших пищевых уровней [31]. Отмечается, что в растительной пище диоксинов и ПХБ значительно меньше (растения плохо усваивают липофильные вещества), что прослеживается и при анализе биоматериала людей-вегетарианцев, которые не употребляют животных продуктов [32].
В 2005 г. в Московской медицинской академии им. И.М. Сеченова методами газожидкостной хроматографии и хромато-масс-спектрометрии определено содержание ДДТ и его метаболита ДДЕ в 49 официальных фитопрепаратах (жидких экстрактах и настойках) из травы тысячелистника, чабреца, листьев крапивы, плодов калины и боярышника. Установлено, что абсолютные концентрации ДДТ в жидких экстрактах и настойках достигали 0,45 нг/г, ДДЕ — 3,07 нг/г [33].
Угрозу для здоровья населения может представлять систематическое воздействие поллютантов даже на уровнях, не превышающих гигиенических нормативов. Соответственно, расчёт риска для здоровья человека должен охватывать суммарную оценку комплексной нагрузки вдыхаемого загрязнённого воздуха, а также поступление веществ с питьевой водой и продуктами питания [34, 35].
Из-за невозможности проведения исследования столь широкого спектра объектов существуют рекомендации для анализа СОЗ в воздухе, воде, грудном молоке и крови человека [36]. В эпидемиологической практике для оценки степени давности поступления в организм ДДТ обычно используется соотношение 4,4-ДДЕ/4,4-ДДТ в крови и грудном молоке; чем выше этот показатель, тем ниже концентрация исходного 4,4-ДДТ и тем дольше длится экспозиция [37].
Для оценки давности поступления пестицидов в экосистему используют отношение концентраций α- и γ-изомеров ГХЦГ. Значение коэффициента более единицы свидетельствует o давнем присутствии ХOП в среде, значение ниже единицы, то есть преобладание γ-изомера, характерно для «свежего» поступления [37]. Относительно большие количества γ-изомера по сравнению с другими ГХЦГ-формами отражают давнее его использование и выраженную биотрансформацию микробиологическим путем [38].
Многолетние наблюдения свидетельствуют о том, что сывороточные уровни отдельных хлорорганических поллютантов, в частности β-ГХЦГ, тесно связаны с биомаркерами метаболизма углеводов и липидов, например с концентрацией гормона лептина, и степенью инсулинорезистентности среди подростков, проживающих в Чапаевске, известном очаге химической опасности [39].
РОССИЙСКИЕ И СОВЕТСКИЕ ИССЛЕДОВАНИЯ ВОЗДЕЙСТВИЯ СТОЙКИХ ОРГАНИЧЕСКИХ ЗАГРЯЗНИТЕЛЕЙ НА ОРГАНИЗМ ЧЕЛОВЕКА
Некоторые учёные отмечает выраженную способность СОЗ к биоаккумуляции [40]. При их комбинированном воздействии на органы наблюдается простое суммирование содержания СОЗ, которое наблюдалось бы при раздельном поступлении.
При попадании в организм человека поллютанты сохраняются на протяжении всей жизни. Даже небольшие количества могут способствовать развитию заболеваний. Например, некоторые хлорорганические токсиканты, такие как альдрин и дильдрин, связывают с многочисленными случаями тяжёлых острых отравлений. Они могут приводить к расстройствам желудочно-кишечного тракта, дисфункции нервной и иммунной систем, а также почек. Таким образом, если СОЗ превышают допустимые пороговые значения, то они могут оказывать вредное воздействие на организм человека. Некоторые из возможных заболеваний, вызываемых СОЗ, представлены в табл. 4.
Таблица 4. Проблемы со здоровьем, связанные с воздействием стойких органических загрязнителей
Table 4. Health problems associated with exposure to persistent organic pollutants
Тип стойких органических загрязнителей Type of persistent organic pollutants | Воздействие на здоровье Health effects | Источник Reference |
Гексахлорциклогексан Hexachlorocyclohexane Дихлордифенилтрихлорэтан Dichlorodiphenyltrichloroethane | Рак, нефропатия, поражение печени, повышенное артериальное давление, нарушение работы эндокринной системы, диабет, непереносимость глюкозы, устойчивость к инсулину, ожирение Cancer, nephropathy, liver damage, high blood pressure, endocrine system malfunction, endocrine dysfunction, diabetes, glucose intolerance, insulin resistance, obesity | |
Полихлорированные бифенилы Polychlorinated biphenyls | Рак, нарушение репродуктивной функции, нарушение работы эндокринной системы, диабет, непереносимость глюкозы, устойчивость к инсулину, ожирение, проблемы с сердечно-сосудистой системой, поражение печени, когнитивная дисфункция у детей Cancer, reproductive dysfunction, endocrine dysfunction, diabetes, glucose intolerance, insulin resistance, obesity, cardiovascular problems, liver damage, cognitive dysfunction in children |
Кроме того, существует много признаков и симптомов хронической интоксикации, которые зависят от пути поступления токсикантов в организм [41]:
- кожные проявления — хлоракне, гиперпигментация, гиперкератоз;
- печёночный синдром — фиброз печени, поражение поджелудочной железы, повышение уровней трансаминазы и триглицеридов в крови, повышенное содержание холестерина, расстройство пищеварения (рвота, тошнота, нарушения стула, непереносимость алкоголя и жирной пищи);
- сердечно-сосудистый синдром — одышка и сердцебиение, миокардиодистрофия, артериальная гипотония;
- респираторный синдром — поражения верхних дыхательных путей, хронический токсический бронхит, который характеризуется диффузной атрофией слизистой оболочки, снижением скоростных показателей вентиляции, повышением вязкостного сопротивления.
Кожный покров (дерма)
Хлоракне — известное специфическое повреждение кожи в виде повышенного отложения пигмента, патологического расширения пор и повышенной чувствительности у лиц, имевших контакт с хлорорганическими соединениями [42].
Сердечно-сосудистая система
Хроническое воздействие СОЗ на организм человека увеличивает частоту и усугубляет течение заболеваний сердечно-сосудистой системы — коронарной недостаточности, гипертонической болезни, атеросклероза сосудов [43]. В 1986 г. при исследовании атерогенных свойств СОЗ были отмечены характерные закономерности в нарушении липидного обмена, которые, возможно, ускоряют развитие и отягощают течение атеросклероза [44]. Позже, в 1990 г., эта гипотеза подтвердилась в исследованиях И.Д. Гадалиной: поллютанты вызывают биохимические изменения, характерные для ранних проявлений атеросклероза, причём меньшая доза ксенобиотика даёт более выраженный атерогенный эффект [45].
СОЗ обладают прямым положительным инотропным действием на миокард [46, 47]. Согласно биохимическим исследованиям, установлен рост активности лактатдегидрогеназы в миокарде на 90-й день интоксикации СОЗ и уменьшение её уровня в сыворотке крови, что свидетельствует об определённых нарушениях и перестройке биоэнергетических процессов в кардиомиоцитах. Повреждение митохондриальных мембран (как наружных, так и внутренних) влечет за собой нарушения окислительного фосфорилирования, утилизации АТФ миофибриллами и др. Эти изменения, в свою очередь, приводят к снижению энергии сокращения миофибриллярного аппарата, нарушению возбуждения, связанного с сокращением и расслаблением миокарда. Энергетическая недостаточность компенсируется за счёт развития гигантских форм митохондрий, гипертрофии миофибрилл.
Нервная система
Поражения нервной системы характерны для действия всех СОЗ. При хронических отравлениях наблюдаются разнообразные функционально-динамические нарушения со стороны нервной системы: диффузное поражение (энцефалополиневропатия) с рассеянными мелкоочаговыми органическими симптомами; полный симптомокомплекс вегетативно-астенического синдрома в виде снижения работоспособности, бессонницы, повышенной раздражительности, лабильности артериального давления, гипергидроза, гиперрефлексии и других расстройств. Наиболее тяжёлые патологические изменения при отравлении хлорорганическими ядохимикатами возникают в структурах ЦНС, которые во многом сходны с клиникой энцефалита с преимущественным поражением подкорковой области. При тяжёлых формах интоксикации может развиться гипоталамический синдром (гипергликемия, артериальная гипертония, ожирение) [47].
Следует учитывать, что некоторые СОЗ обладают отдалённым нейротоксическим действием. Исследования когнитивных функций населения, проживающего в экологически неблагополучных посёлках Талгарского района, показали, что почти 70% жителей имели низкий уровень устойчивости и концентрации внимания при усвоении информации, значительное и существенное снижение работоспособности из-за доминирования процесса торможения в ЦНС, что характерно для переутомления или астенизации организма [28].
Иммунная система
Стойкое подавление активности иммунной системы свойственно большинству ксенобиотиков. Этот эффект отмечается даже при действии низких малотоксичных доз. Доказано отрицательное влияние СОЗ на иммунную систему человека, ведущее к атипичному течению различных инфекционных и неинфекционных заболеваний, сопровождающихся повышением риска развития аутоиммунных патологий [48, 49].
При интоксикации поллютантами наблюдается лимфопения, затрагивающая все классы лимфоцитов (Т-, В-, NK-клетки). На протяжении четырёх месяцев и более сохраняются изменения иммунитета после кратковременного контакта с ксенобиотиками. При длительном воздействии пестицидов нарушения в иммунной системе сохраняются в течение 2–10 лет [49].
В работах М. Исраилова [50] показано, что у лиц, проживающих в зонах активного применения пестицидов, выявляются стойкие и глубокие нарушения иммунной системы, приводящие к развитию затяжной пневмонии. Соответственно, патологии респираторной системы являются индикаторами экологически неблагополучной воздушной среды [51].
Многолетние международные исследования в Арктическом регионе убедительно доказали развитие иммунодефицитных состояний, вызванных отравлением СОЗ взрослого населения, в рационе которого присутствуют рыба и мясо морских животных. Страдают также грудные дети, получающие токсиканты с молоком матери [52].
Выделительная система
В районах интенсивного применения СОЗ чаще регистрируются нарушения функционального состояния почек в форме снижения клубочковой фильтрации и угнетения азотовыделительной функции. Многократно возрастают дисметаболические нефропатии, чаще встречаются аномалии органов мочевой системы, патологические изменения биохимических показателей мочи. Частота инфекционно-воспалительных заболеваний почек в зонах интенсивного применения пестицидов или непосредственного контакта с ними — 12,5%, в зоне средней интенсивности применения — 7,9%, в «чистых» зонах — 1,6% [53, 54]. При клинико-эпидемиологическом исследовании проживающих в регионах использования пестицидов были выявлены признаки острых инфекционно-воспалительных заболеваний почек с тяжёлым течением в 6,5% случаев [55].
Гистологические и цитоэнзиматические изменения в структурах нефронов позволяют предполагать проникновение пестицидов внутрь эндотелия капилляров клубочков в процессе фильтрации крови и в эпителий канальцев при реабсорбции ультрафильтрата. При этом ГХЦГ оказывает большее нефротоксическое воздействие, связанное с выраженным угнетением ферментов, участвующих в фильтрационно-реабсорбционно-секреторных процессах в нефронах [56].
Репродуктивное здоровье мужчин
Интерес к поиску взаимосвязи между СОЗ и мужским бесплодием вызван тем, что практически все антропогенные поллютанты дают гонадо- и эмбриотоксический эффект, связанный с наличием у них гормоноподобных свойств, которые получили название «гормоноподобные ксенобиотики», или «гормоны внешней среды» [57, 58]. Многие исследователи связывают мужское бесплодие с действием пестицидов, в частности ДДТ [59]. В зонах, загрязнённых СОЗ, заболеваемость мужским бесплодием в 2–2,5 раза (первичным мужским бесплодием — на 8–10%) выше, чем в экологически чистых зонах. ХОП в сперме мужчин с бесплодием выявлены в 75,4% случаев против 4,3% в контрольной группе. Заболеваемость бесплодием коррелирует с содержанием в сперме СОЗ, что может быть одной из причин мужского бесплодия [60].
Медленные темпы выведения СОЗ способствуют увеличению концентрации этих веществ с возрастом [61]. В организме мужчин в течение жизни накапливается больше СОЗ. А.А. Дударев отмечает более высокое содержание хлорорганических соединений в крови мужчин по сравнению с женщинами тех же возрастных групп [62]. Это может быть связано с присутствием в рационе мужчин большего количества мяса и рыбы, а также с тем, что женский организм может частично выводить хлорорганические соединения с грудным молоком и частично передавать запас веществ потомству [3, 4].
При воздействии СОЗ на организм мужчин нарушаются процессы сперматогенеза [63, 64]. По мере возрастания загрязнения повышается процент патоспермии, причём количество пациентов с полным отсутствием в эякуляте сперматозоидов (азооспермия) увеличивается практически в пять раз.
Пищеварительный тракт
Отмечается, что для многих токсичных веществ гематосаливарный барьер не становится препятствием. Выявлена прямая связь содержания пестицидов в сыворотке крови и ротовой жидкости для α-ГХЦГ и γ-ГЦХГ. Дальнейшие сравнительные исследования показали, что слюна околоушной железы содержит названные изомеры в более высокой концентрации, чем ротовая жидкость, и коррелирует с концентрацией пестицида в сыворотке с более высоким коэффициентом корреляции. Также в смешанной слюне были обнаружены ДДТ и его метаболиты [65]. Одновременно у жителей сельских районов, подвергающихся выраженному воздействию пестицидов, диагностировали наличие кариеса в 78,3% случаев, пародонтоза — в 82,2%, стоматита — в 62,7%, патологической стираемости зубов — в 22,2%, в контрольном районе указанные заболевания были выявлены в 48,3, 15,4, 6,4 и 0,0% соответственно [66].
Действие СОЗ на печень способно привести к развитию токсического гепатита. Токсический гепатит нарушает состав желчи и вызывает синдром холестаза. Возможно также развитие токсического панкреатита. Повреждение поджелудочной железы связано с повышением давления в системе панкреатических протоков вследствие дискинезии желудочно-кишечного тракта и дистонии сфинктера Одди [51].
З.М. Омарова предположила определённые механизмы воздействия СОЗ. Прямое повреждающее действие на слизистую оболочку желудочно-кишечного тракта приводит к воспалительным и эрозивно-язвенным изменениям. Повреждение слизистой оболочки ведёт к нарушению моторики, развивается дискинезия желудка, кишечника и жёлчевыводящих путей. Дистония сфинктера Одди приводит к нарушению оттока секрета от поджелудочной железы. Следующий механизм вовлечения желудочно-кишечного тракта в патологический процесс — воздействие СОЗ непосредственно на нервную систему с развитием вегетативных расстройств и нарушений моторики органов пищеварения [51].
Онкологические заболевания
Период максимального применения СОЗ (1980– 1995 гг.) показал, что с насыщением окружающей среды пестицидами растёт количество онкологических заболеваний [67].
Исследования, проведённые в Курской области [68], свидетельствуют о наличии связи между ростом заболеваемости раком желудка и молочной железы и количеством вносимых в почву пестицидов. В другом регионе, в условиях сельской местности юга Кыргызстана, одной из главных причин развития рака молочной железы у много рожавших являются ХОП [69]. На основании полученных фактов было предложено считать частоту рака молочной железы чувствительным критерием загрязнённости окружающей среды пестицидами [70]. В различных районах Таджикистана анализ распространённости острой лейкемии показал, что ведущим фактором в развитии этой патологии стало масштабное использование химических удобрений [71]. Занятость родителей в сельском хозяйстве, сопряжённая с производственным контактом с пестицидами, также может повышать риск развития онкологических заболеваний у детей [72].
Репродуктивное здоровье женщин и беременность
Изменения показателей репродуктивного здоровья отражают состояние среды обитания, характеризуя мутагенность и эмбриотоксичность факторов и их способность подавлять адаптационные механизмы организма. О значительных изменениях здоровья беременных, проживающих в условиях воздействия загрязнённой окружающей среды, сообщается в Челябинской (Челябинск, Магнитогорск, Карабаш), в Свердловской (Кировград, Нижний Тагил) областях, страдает здоровье женщин, проживающих вблизи химических заводов в Тамбовской, Иркутской и других областях [73–75].
Изучение влияния комбинированных пестицидов на репродуктивную функцию женщин, работавших в цехах протравителей семян, показало, что осложнения беременности встречались в 3,5 раза чаще, чем в контрольной группе. При гистологическом исследовании в плаценте обнаруживаются деструктивные изменения (инфаркты, облитерация сосудов и пр.), снижающие её функциональные возможности, что становится одной из причин перинатальной патологии [76].
Контакты беременных с пестицидами увеличивают частоту осложнений беременности и родов, вызывают мертворождаемость, аномалии у новорождённых, ведут к ухудшению комплексных показателей состояния здоровья детей [42, 77]. У 100% обследованных беременных Украины обнаружили ДДТ в периферической крови в концентрациях от 0,28 (в Полтаве) до 6 мкг/л (в Киеве) [78]. Наиболее тяжёлые осложнения при беременности, родах и в послеродовом периоде выявлены при обнаружении алдрина и ДДТ [72].
ХОП способны проходить через плацентарный барьер. Изучения мертворождённых выявили среднее содержание ДДТ в подкожно-жировой ткани плода (3100 мкг/кг), что мало отличалось от содержания его в подкожно-жировой клетчатке оперированных взрослых людей (4330 мкг/кг) [79]. В печени мертворождённых детей концентрация ДДТ составляла в среднем 820 мкг/кг [65]. ГХЦГ также преодолевает плацентарный барьер [1]. Пестициды увеличивают высвобождение катехоламинов из синаптических нервных окончаний, проникают через плацентарный барьер, вызывая структурно-метаболические нарушения в тканях плаценты, оказывая токсическое действие на плод и провоцируя выкидыши [80].
В Кыргызской Республике у 39,2% беременных из плаценты выявили ХОП, концентрация которого достигала 2,27 мг/кг. Чем выше содержание ХОП в плаценте, тем чаще отмечалась патология у беременных. Установлена корреляция между обнаружением ХОП в плацентах и гинекологическими осложнениями в послеродовом периоде [81].
В 30,5% случаев в абортальных материалах, полученных после прерывания беременности (в первые два месяца до образования плаценты), обнаружено наличие ксенобиотиков, в 5,33% — выявлена высокая концентрация хлорорганических пестицидов, в 2,66% — патология эмбриона (врождённые пороки; табл. 5) [81].
Таблица 5. Содержание пестицидов в исследуемых абортальных материалах [81]
Table 5. Pesticide concentration in the studied abortion materials [81]
Концентрация хлорорганических пестицидов Concentration of organochlorine pesticides | Количество обследованных Number of surveyed | Обнаружены хлорорганические пестициды Organochlorine pesticides have been detected | |
Количество Quantity | % | ||
Всего обследовано Total surveyed | 75 | 23 | 30,60 |
Из них хлорорганические пестициды в пределах 0,1 мг/кг Of these, organochlorine pesticides are in the range of 0.1 mg/kg | 75 | 4 | 5,33 |
Из них обнаружено врождённых пороков развития Of these, congenital malformations were found | 75 | 2 | 2,66 |
Из них хлорорганические пестициды свыше 0,1 мг/кг Of these, organochlorine pesticides exceed 0.1 mg/kg | 75 | 17 | 22,60 |
Чёткие различия выявлены и после родов. Если в крови женщин обнаруживался ГХЦГ, то процент асфиксии новорождённых возрастал вдвое (12,0%). У первородящих (с ГХЦГ в крови) рождалось значительно больше детей с аномалиями развития (2,56% при 0,15% в контрольной группе) [82].
Высокие уровни поллютантов вызывают негативные сдвиги в демографической ситуации. Так, с увеличением пестицидных нагрузок растёт смертность (r=0,82; р <0,05), а рождаемость падает (r=–0,67; р=0,046) [40].
Наиболее чувствительным индикатором оценки состояния здоровья популяции, влияния на него факторов внешней среды являются показатели здоровья новорождённых, в частности, распространённости врождённых пороков развития. Доказано, что врождённые патологии связаны с влиянием ХОП на беременных и женщин детородного возраста [81]. Уровень первичной заболеваемости детей врождёнными аномалиями, болезнями органов пищеварения, эндокринной системы коррелирует с площадью обработки пашни пестицидами и минеральными удобрениями в регионе [80]. Для уменьшения поступления пестицидов М.Х. Хамидов [82] рекомендовал удлинить интервал между беременностями до трёх лет, говоря о «желательности наступления зачатия в зимний и весенний периоды года».
Грудное молоко
Особую проблему педиатрии составляет риск остаточного содержания пестицидов в продуктах питания, особенно детского. Чем младше ребенок, тем больше относительная доза пестицида, которую он получает в равных со взрослыми условиях [51].
В районах с повышенными показателями СОЗ возрастает число детей с заболеваниями лор-органов (хронический фарингит, трофический ринит, синусит, ларингит, ангина и хронический тонзиллит, отит). Рост воспалительных заболеваний среднего уха отмечается у детей эскимосов, питающихся молоком матерей, а также морской рыбой и мясом морских животных, содержащими повышенные концентрации пестицидов [52].
Грудное молоко как объект наблюдения имеет ряд преимуществ, поскольку отбор проб представляет собой неинвазивный метод без технических и инструментальных сложностей. Уровни СОЗ в грудном молоке считаются индикатором их нагрузки на материнский организм [83]. У матерей, в грудном молоке которых обнаружен ДДТ, чаще рождались дети малого веса и недоношенные (26,5±2,7%), чем у матерей, в молоке которых этот ксенобиотик не обнаружен (13,1±3,7%) [105]. Это подтверждено исследованиями И.А. Застенской и соавт. [84], которые показали выраженную отрицательную зависимость между степенью загрязнения грудного молока ДДТ и весом ребенка при рождении.
Выявлено высокое содержание ДДТ в грудном молоке жительниц Казахстана, что в целом характерно для бывших республик СССР [85]. При мониторинге ХОП в пробах грудного молока рожениц Республики Армения частота обнаружения основных загрязнителей (γ-изомер ГХЦГ и ДДЕ) составляла 100%; частота определения ДДТ увеличилась по сравнению с 2009 г. и составила 71,4%. При этом обнаруживаемые остаточные количества ХОП оказались на порядок выше, чем в 2009 г.: γ-изомер ГХЦГ — 0,0147 мг/л; ДДЕ — 0,0169 мг/л; ДДТ — 0,0039 мг/л [86].
У новорождённых, питающихся грудным молоком, суточная доза ПХБ может в 10–100 раз превышать таковую у их матерей. Для новорождённых, метаболические потенции которых ещё не столь развиты, основным механизмом удаления ПХБ из организма является регулярный «жирный стул». Большинство исследований связывают влияние ПХБ с развитием патологий, снижением иммунитета, замедлением роста и веса ребенка в том случае, если грудное молоко является единственным источником пищи для новорождённых. Такие возможные отклонения от нормального развития делают эту ситуацию тревожной. Так как организм младенцев находится на стадии формирования, присутствие различных примесей в молоке может оказывать большое влияние на его развитие [87].
В табл. 6 приведены исследования учёных по выявлению уровней контаминации СОЗ в грудном молоке женщин на территории Российской Федерации. Из результатов видно, что наивысшие концентрации ГХЦГ обнаружены на территории Республики Бурятия, что говорит об интенсивном и многолетнем использовании пестицидов в СССР. Авторы полагают, что даже после официального запрета на использование пестицидов в сельском хозяйстве их могли применять в лесном хозяйстве, в быту или в военных целях.
Таблица 6. Концентрации стойких органических загрязнителей в грудном молоке женщин России
Table 6. Concentrations of persistent organic pollutants in breast milk of Russian women
Регион | Годы Years | ΣГХЦГ ΣHCG | ΣДДТ ΣDDT | ΣПХБ инд. ΣPCBs ind. | ΣПХБ ΣPCBs | Источник Reference |
Чукотский автономный округ* Chukotka Autonomous Region* | 2019 | 20,0 | 6,3 | 24 | 58 | [108] |
Приморье* Primorye* | 2017–2018 | 76,0 | 13,0 | 20 | 78 | [109] |
Иркутск** Irkutsk** | 1997–2009 | 4,3 | 534,0 | 155 | 267 | [92] |
Забайкалье** Transbaikalia** | 1997–2009 | 2,5 | 1122,0 | 106 | 2125 | [92] |
Бурятия** Buryatia** | 2003–2004 | 810,0 | 660,0 | — | 240 | [8] |
Примечание. * Медиана; ** среднее значение; ГХЦГ — гексахлорциклогексан; ДДТ — дихлордифенилтрихлорэтан; ПХБ — полихлорированные бифенилы.
Note. * Median; ** Mean; HCG — hexachlorocyclohexane; DDT — dichlorodiphenyltrichloroethane; PCBs — polychlorinated biphenyls.
Высокие концентрации ДДТ и ПХБ в Забайкалье Е.А. Мамонтова и соавт. [88] связывают с диетой матерей, а также атмосферным переносом от источника, расположенного недалеко от Усолье-Сибирского, где находится один из крупнейших химических заводов бывшего Советского Союза по производству хлорорганических соединений, красок и т.д.
Традиционно население посёлков на берегах Байкала использует в своем рационе жир нерпы и голомянки. Концентрации СОЗ в их жире намного выше, чем в промысловых видах рыб. В грудном молоке жительниц побережья озера Байкал уровень ПХБ сравним только с уровнями в молоке жительниц Фарерских островов, в основной рацион которых входят жир и мясо морских рыб, млекопитающих и птиц, а также жительниц Серпухова, работавших на трансформаторном заводе, где в производстве использовалась техническая смесь ПХБ (совол).
ЗАКЛЮЧЕНИЕ
Человек находится в верхней части пищевой цепи, поэтому именно он подвергается наибольшей опасности воздействия СОЗ. В связи с этим оценка влияния ксенобиотиков на здоровье населения по-прежнему актуальна.
Пестициды, поступающие в организм человека по миграционным и транслокационным цепочкам, могут оказывать мутагенное действие, увеличивать количество точечных мутаций и хромосомных аберраций в соматических и половых клетках, приводить к развитию новообразований, спонтанным абортам и перинатальной гибели плода, врождённым аномалиям, бесплодию. Согласно сложившейся практике, оценка мутагенности пестицидов основана на определении мутагенных свойств отдельных действующих компонентов, входящих в состав их препаративных форм. Вопрос о дополнительном исследовании препаративных форм, включающих несколько действующих веществ, представляется крайне актуальным.
Пик изучения острого воздействия пестицидов на здоровье человека пришелся на 1960–1970 гг. В 1980– 1990 гг. появляются работы, изучающие их хроническое воздействие. В последние годы число работ резко снизилось. Сегодня в городах России биомониторинговые исследования либо не проводятся, либо проводятся непостоянно, что не даёт полной картины по стране. Также практически нет новых публикаций о влиянии СОЗ на здоровье населения с применением современных методов.
Таким образом, существует необходимость разработки и введения на законодательном уровне системы постоянного государственного биомониторинга, включающего анализ окружающей среды, живых организмов и человека как биоиндикатора аккумуляции, биотрансформации и долговременных эффектов СОЗ.
ДОПОЛНИТЕЛЬНАЯ ИНФОРМАЦИЯ
Вклад авторов. Ю.П. Гумовская — обзор литературы, сбор и анализ литературных источников, написание текста и редактирование статьи; Е.К. Миронова — обзор литературы, сбор и анализ литературных источников, подготовка и написание текста статьи; А.В. Полевщиков — сбор и анализ литературных источников, подготовка и написание текста статьи; М.М. Донец — обзор литературы, сбор и анализ литературных источников, написание текста и редактирование статьи; В.Ю. Цыганков — сбор и анализ литературных источников, подготовка и написание текста статьи. Все авторы подтверждают соответствие своего авторства международным критериям ICMJE (все авторы внесли существенный вклад в разработку концепции, проведение исследования и подготовку статьи, прочли и одобрили финальную версию перед публикацией).
Источник финансирования. Работа выполнена при поддержке государственного задания Минобрнауки России FZNS-2023-0011.
Конфликт интересов. Авторы декларируют отсутствие явных и потенциальных конфликтов интересов, связанных с публикацией настоящей статьи.
ADDITIONAL INFORMATION
Authors’ contribution. Yu.P. Gumovskaya — literature review, collection and analysis of literary sources, writing the text and editing the article; E.K. Mironova — literature review, collection and analysis of literary sources, preparation and writing of the text of the article; A.V. Polevshchikov — collection and analysis of literary sources, preparation and writing of the text of the article; M.M. Donets — literature review, collection and analysis of literary sources, writing the text and editing the article; V.Yu. Tsygankov — literature review, collection and analysis of literary sources, writing the text and editing the article. All authors confirm that their authorship meets the international ICMJE criteria (all authors have made a significant contribution to the development of the concept, research and preparation of the article, read and approved the final version before publication).
Funding source. This work was supported by the state assignment of the Russian Ministry of Education and Science FZNS-2023-0011.
Competing interests. The authors confirm the absence of obvious and potential conflicts of interest related to the publication of this article.
1 ГН 1.2.3111-13 «Гигиенические нормативы содержания пестицидов в объектах окружающей среды (перечень)», с изменениями на 13 июля 2016 г.
About the authors
Yulia P. Gumovskaya
Far Eastern Federal University
Email: nupl@yandex.ru
ORCID iD: 0000-0002-5791-5493
SPIN-code: 8381-4723
MD, Cand. Sci. (Medicine), Assistant Professor
Russian Federation, 10 Ajax Bay, Vladivostok, 690922Ekaterina K Mironova
Far Eastern Federal University
Author for correspondence.
Email: mironova_kate@bk.ru
ORCID iD: 0000-0002-3746-1084
SPIN-code: 2358-3800
Postgraduate Student
Russian Federation, 10 Ajax Bay, Vladivostok, 690922Alexander V. Polevshchikov
Institute of Experimental Medicine
Email: polevshikov.av@iemspb.ru
ORCID iD: 0000-0002-3342-178X
SPIN-code: 9627-6694
Dr. Sci. (Biology), Professor
Russian Federation, Saint PetersburgMaksim M. Donets
Pacific Geographical Institute of the Far Eastern Branch of the Russian Academy of Sciences
Email: maksim.donecz@mail.ru
ORCID iD: 0000-0002-2108-4448
SPIN-code: 9023-6473
Russian Federation, Vladivostok
Vasiliy Yu. Tsygankov
Pacific Geographical Institute of the Far Eastern Branch of the Russian Academy of Sciences
Email: tsig_90@mail.ru
ORCID iD: 0000-0002-5095-7260
SPIN-code: 5047-8410
Dr. Sci. (Biology), Associate Professor
Russian Federation, VladivostokReferences
- UNEP. Stockholm Convention on Persistent Organic Pollutants; 2020. 96 р.
- Ushakov AA, Turbinskiy VV, Paschenko IG, Katunina AS. Hygienic assessment of habitat adverse social and sanitary factors in the Altai Krai. Health Risk Analysis. 2015;(4):50–61. doi: 10.21668/health.risk/2015.4.07 EDN: VHWPFT
- Tsygankov VYu, Boyarova MD, Kiku PF, Yarygina MV. Hexachlorocyclohexane (HCH) in human blood in the south of the Russian Far East. Environmental Science and Pollution Research. 2015;22(18):14379–14382. doi: 10.1007/s11356-015-4951-3 EDN: UZYOXD
- Tsygankov VY, Khristoforova NK, Lukyanova ON, et al. Selected organochlorines in human blood and urine in the south of the Russian Far East. Bulletin of Environmental Contamination and Toxicology. 2017;(99):460–464. doi: 10.1007/s00128-017-2152-0 EDN: WUHSCB
- Tsygankov VY, Yarygina MV, Lukyanova ON, et al. Trace concentrations of organochlorine compounds in biological liquids of the Russian far east residents. Ekologiya Cheloveka (Human Ecology). 2019;26(1):15–19. doi: 10.33396/1728-0869-2019-1-15-19 EDN: QRLCUZ
- Tsygankov VYu. Organochlorine pesticides in marine ecosystems of the Far Eastern Seas of Russia (2000–2017). Water Research. 2019;161:43–53. doi: 10.1016/j.watres.2019.05.103
- Rovinsky FYa, Voronova LD, Afanasyev MI, et al. Background monitoring of pollution of terrestrial ecosystems by organochlorine compounds. Leningrad: Gidrometeoizdat; 1990. (In Russ.)
- Tsydenova OV. Organochlorine compounds in the ecosystems of Lake Baikal and its basin [dissertation abstract]. Barnaul; 2005. 23 p. (In Russ.) EDN: NIGKVB
- Order dated April 13, 1999 No. 165 “About Recommendations for the purposes of inventory in the territory of the Russian Federation of production facilities, equipment, materials using or containing PCBs, as well as PCB-containing wastes”. Available from: https://base.garant.ru/2156962 (In Russ.)
- Order dated February 23, 1999 No 76 “On conducting an inventory of production facilities, equipment, materials using or containing polychlorinated biphenyls (PCBs), as well as PCB-containing wastes on the territory of the Russian Federation”. Available from: https://base.garant.ru/2156961 (In Russ.)
- Speranskaya O, Tsittser O. Persistent organic pollutants: an overview of the situation in Russia. Moscow; 2004. (In Russ.)
- Yearbook “The state of pesticide pollution in the natural environment of the Russian Federation in 2016”. Obninsk: FGBU NPO Taifun; 2017. (In Russ.)
- Semerenko SA. Ecology and plant protection. Oil Crops. 2015;(4):103–137. EDN: VHTFHP
- Chernykh AM. Threats to human health in the use of pesticides (a review). Hygiene and Sanitation. 2003;(5):25–28. EDN: MXPFKI
- Larionov KV. The spread of pesticides in the ecosystem of the Krasnodar Territory and the minimization of their impact on the environment [dissertation]. Krasnodar; 2008. 135 p. (In Russ.) EDN: NQHUNF
- Chernogaeva GM, Gromov SA, Zhdanovskaya EA, et al., editors. Review of the state and pollution of the environment in the Russian Federation for 2018. Moscow; 2019. (In Russ.) EDN: ZUYSGB
- Korpakova IG, Korotkova LI, Larin AA, et al. Availability of persistent organochlorine pesticides and polychlorbiphenyls in the water area of the licensed site of LLC “NC “Priazovneft” in the Azov Sea. Environmental Protection in Oil and Gas Complex. 2015;(11):48–54. EDN: UNHDXX
- On measures to ensure that the Russian Federation fulfills its obligations under the Stockholm Convention on Persistent Organic Pollutants of May 22, 2001. As amended by Resolutions of the Government of the Russian Federation No. 464 dated 05/13/2015, No. 946 dated 09/19/2016, No. 1391 dated 11/20/2018, No. 113 dated 02/11/2019. (In Russ.)
- Sobol M. Time to act. Moscow; 2004. (In Russ.)
- Lukyanova ON, Tsygankov VYu, Boyarova MD, Khristoforova NK. Pesticide biotransport by Pacific salmon in the northwestern Pacific Ocean. Doklady Biological Sciences. 2014;456(1):188–190. doi: 10.1134/S0012496614030089 EDN: UGPRJR
- Lukyanova ON, Tsygankov VYu, Boyarova MD, Khristoforova NK. Pacific salmon as a vector in the trasnsfer of persistent organic pollutants in the Ocean. Journal of Ichthyology. 2015;55(3):425–429. doi: 10.1134/S0032945215030078 EDN: VAELIZ
- Pavlov AV, editor. Handbook of pesticides (hygiene of use and toxicology). Kyiv: Urojay; 1986. (In Russ.)
- Saleh MA, Kamel A. Breast milk as a biomarker for monitoring human exposure to environmental pollutants. ACS Symposium Series. 1996;643:114–125.
- Krauthacker B, Reiner E, Votava-Raić A, et al. Organochlorine pesticides and PCBs in human milk collected from mothers nursing hospitalized children. Chemosphere. 1998;37(1):27–32. doi: 10.1016/S0045-6535(98)00035-6
- Liderman EM, Zabelin MV. Analysis of ecological conditions of conditionality of the population health in the southern federal district in aspect of the organization of the regional system of medico-social rehabilitation. Healthcare, Education and Security. 2018;(1):7–20. EDN: YRXBQT
- Inelova ZA, Nurzhanova AA, Zhamabalinova RD, et al. Phytocenotic bioindication of pesticide-contaminated soils (Talgar district, Almaty region). Eurasian Journal of Ecology. 2010;(3):29–33. (In Russ.)
- Rakitskyi VN. Prognostic risk of pesticides’ toxic effects in workers. Russian Journal of Occupational Health and Industrial Ecology. 2015;(10):5–7. EDN: UMUIOF
- Kapysheva UN, Bakhtiyarova ShK, Zhaksymov BI. Effects of long-term pesticidal pollution environmental human health. International Journal of Applied and Basic Research. 2019;(3):56–60. EDN: FIHYJO
- Ruder AM, Waters MA, Butler MA, et al. Gliomas and farm pesticide exposure in men: the upper midwest health study. Archives of Environmental Health: An International Journal. 2004;59(12):650–657. doi: 10.1080/00039890409602949
- Ivanov AV, Vasilyev VV. Human health status in the areas with intensive use of peptides. Hygiene and Sanitation. 2005;(2): 24–27. EDN: OJNQGV
- Ruzybakeev RM. Immunodeficiency states in chronic pesticide intoxication and the problem of their correction: clinical and experimental study [dissertation abstract]. Moscow; 1987. 32 р. (In Russ.)
- Onikienko F.A. The state of some aspects of carbohydrate metabolism and oxidative processes when exposed to the body of certain organochlorine insecticides [dissertation abstract]. Kyiv; 1966. 18 р. (In Russ.)
- Gravel’ IV. Assessment of the transition of DDT and its metabolites to liquid extracts and tinctures from medicinal plant raw materials. Traditional Medicine. 2005;(1):28–31. (In Russ.) EDN: HSPHZR
- Zhurba OM, Taranenko NA. Social-hygienic aspects of determining the residual amounts of chloroganic pesticides in food products. Bulletin of the East Siberian Scientific Center SB RAMS. 2007;(1):56–58. EDN: KVMIAD
- Zacharenkov VV, Kislitsyna VV. Prioritization of environmental measures based on risk assessment for the health of the population of an industrial city. Advances in Current Natural Sciences. 2014;(2):12–15. EDN: PZXPLI
- Barr DB, Barr JR, Driskell WJ, et al. Strategies for biological monitoring of exposure for contemporary-use pesticides. Toxicol Ind Health. 1999;15(1-2):168–179. doi: 10.1191/074823399678846556
- Rovinskii FYa, Voronova LD, Afanas’ev MI, et al. Background monitoring of pollution of terrestrial ecosystems by organochlorine compounds. Leningrad: Hydrometeoizdat; 1990. (In Russ.)
- Galiulin RV, Galiulina RA. Ecological and geochemical assessment of the “imprints” of persistent organochlorine pesticides in the soil-surface water system. Agrohimia. 2008;(1):52–58. (In Russ.) EDN: IBYXQR
- Burns JS, Williams PL, Korrick SA, et al. Association between chlorinated pesticides in the serum of prepubertal russian boys and longitudinal biomarkers of metabolic function. American Journal of Epidemiology. 2014;180(9):909–919. doi: 10.1093/aje/kwu212
- Shumeyko AYa. Ecological assessment of the interaction of pesticides and radiation in agroecosystems of the Bryansk region [dissertation abstract]. Bryansk; 2004. 22 р. (In Russ.) EDN: NHRFBL
- Lotkov VS. Clinical and pathogenetic features of the chronic effects of chlorinated hydrocarbons on the respiratory organs and other body systems (experimental clinical study) [dissertation abstract]. Samara; 2000. 38 р. (In Russ.)
- Fedorov LA, Yablokov AV. Pesticides are a toxic blow to the biosphere and humans. Moscow: Nauka; 1999. (In Russ.)
- Boikulov MCh. Comparative characteristics of the aorta of rats in normal and under the influence of pesticides. Morfologiya. 2004;(4):22. (In Russ.)
- Shitskova AP, Nikolaeva NI, Gadalina ID. Hygienic assessment of the cardiotoxic effect of certain pesticides. Hygiene and Sanitation. 1986;(6):6–9. (In Russ.)
- Gadalina ID. Some methodological approaches to assessing the cardiotoxic effect of pesticides, taking into account the age factor. Hygiene and Sanitation. 1990;(7):77–78. (In Russ.)
- Akhmedov BKh, Saliev KK. Peripheral blood parameters in rats with chronic pesticide intoxication. Medical Journal of Uzbekistan. 2000;(3):89–90. (In Russ.)
- Azovskova TA, Vakurova NV, Lavrentieva NE. Occupational intoxication with pesticides. Samara: SamLyuksPrint; 2014. (In Russ.) EDN: TZJLJB
- Ovchinnikova EL, Rezanova NV, Brusentsova AV. Monitoring of food quality and safety as an integral part of social and hygienic monitoring. Sibir’-Vostok. 2003;(10):31–36. (In Russ.)
- Khaitov RM, Pinegin BV, Istamov XI. Ecological immunology. Moscow: VNIRO; 1995. (In Russ.)
- Israilova M. Clinical and immunological features of the course and treatment of prolonged pneumonia in patients living in the pesticide application area [dissertation abstract]. Moscow; 1992. 19 р. (In Russ.)
- Omarova ZM. Effect of pesticides on children’s health. Russian Bulletin of Perinatology and Pediatrics. 2010;55(1):59–64. EDN: LOQNLK
- Odland JØ, Donaldson S, Dudarev A, Carlsen A. AMAP assessment 2015: human health in the Arctic. Int J Circumpolar Health. 2016;75:33949. doi: 10.3402/ijch.v75.33949
- Latypova RI. Functional state of kidneys in people working with a complex of organochlorine and phosphorous pesticides. Medical Journal of Uzbekistan. 1971;(11):19–23. (In Russ.)
- Allazov S. Acute infectious and inflammatory kidney diseases under the influence of pesticides (clinical and experimental study) [dissertation abstract]. Moscow; 1992. 28 р. (In Russ.)
- Sitdikova ME, Allazov SA, Sayapova DR. The effect of organochlorine compounds on some urological diseases. Kazan Medical Journal. 2010;91(3):372–374. EDN: MUEJYF
- Rasulov MT, Shakhnazarov MA, Shakhnazarov AM, Magomedgadzhiev BG. Morphological and histoenzymatic characteristics of kidneys under chronic exposure to pesticides hexachlorocyclohexane, chlorophos and copper sulfate. In: Problems of environmental medicine. Materials of the VII scientific and practical conference in memory of Professor S.A. Abusuev. Makhachkala; 2017;242–245. (In Russ.) EDN: XUPCCL
- Nikitin AI. Harmful environmental factors and the human reproductive system (responsibility to future generations). St. Petersburg: ELBI-SPb; 2008. (In Russ.)
- Nikitin AI. Hormone-like pollutants of the biosphere and their effect on human reproductive function. Biosfera. 2009;1(2):218–229. EDN: QZOGHV
- Moshanskii VF, Kagan SA, Tektinskii OL, et al. Differential diagnosis of 2 forms of necrospermia. Urol Nefrol (Mosk). 1987;52(5):57–59.
- Toichuev RM, Mirzakulov DS, Payzildaev TR. The prevalence of male infertility in residents living in conditions of the pollution of the environment by organochlorine pesticides. Hygiene and Sanitation. 2015;94(6):99–101. EDN: UXZQYV
- Revich BA, Sergeyev OV, Shelepchikov AA. Innovative environmental and epidemiologic technologies of assessment of dioxins impacts on childrens health. Ekologiya cheloveka (Human Ecology). 2012;19(8):42–49. doi: 10.17816/humeco17455 EDN: PAIJYX
- Dudarev AA. Persistent polychlorinated hydrocarbons and heavy metals in arctic biosphere: the main regularities of exposure and reproductive health of indigenous people. Biosfera. 2009;1(2):186–202. EDN: QZOGGR
- Ter-Avanesov GV. Problems of men’s reproductive health. Moscow: Telsi; 2004. (In Russ.)
- Mirzakulov DS, Eshbaev AA, Mirzokulov SS, Kalmatov RK. Features of influence of organochlorine compounds and their metabolites on the state of fertility men living in the osh region of Kyrgyzstan. Modern Problems of Science and Education. 2016;(3):66. EDN: WXJAFP
- Korot’ko GF. The salivadiagnostics — renaissance of non-invasive technologies. Kuban Scientific Medical Bulletin. 2006;(9):145–149. EDN: HVFWFT
- Zhumatov U. The state of the organs of the oral cavity when exposed to organochlorine and phosphorous pesticides [dissertation abstract]. Tashkent; 1982. 19 р. (In Russ.)
- Abdullaev RB, Duschanov ShB, Matkarimova DS, et al. The Aral crisis: problems of ecological culture and health. Urgench; 2012. (In Russ.)
- Adamovich VL, Samoylenko VM. Ecological tactics of using pesticides in agriculture and ways to prevent harmful effects. Bryansk; 1986. (In Russ.)
- Paizova ZM, Toychuev RM. The influence of environmental pollution with organochlorine pesticides on the development of breast cancer in women, depending on the number of births, in the conditions of southern Kyrgyzstan. The Journal of Scientific Articles Health and Education Millennium. 2012;14(1):160. (In Russ.) EDN: QAJXUB
- Gichev YuP. Environment Pollution and Ecology-related Human Pathology. Ecology. A series of analytical reviews of world literature. 2003;(68):1–138. EDN: HKZNPT
- Mustafakulova NI, Melikova TI, Mustafakulova NS. Risk factors and clinical features of leukemia sin the Republic of Tajikistan. Avicenna Bulletin. 2015;(1):67–71. EDN: UHLUWT
- Solenova LG. Cancer risk factors in children and approaches to prevention of their effects. Pediatriya. Zhurnal im G.N. Speranskogo. 2011;90(4):120–126. (In Russ.) EDN: OGHFXJ
- Aylamazyan EK, Belyaeva TV, Vinogradova EG. The influence of environmental conditions on women’s reproductive health. A new perspective on the problem. Bulletin of the Russian Association of Obstetricians and Gynecologists. 1996;(2):13–16. (In Russ.)
- Dudarev AA, Chupakhin VS. Influence of exposure to persistent toxic substances (PTS) on pregnancy outcomes, gender ratio and menstrual status in indigenous females of Chukotka. Hygiene and Sanitation. 2014;93(1):36–40. EDN: RYDZAZ
- Toichuev RM. The effect of organochlorine pesticide content in placenta on the course of pregnancy and childbirth. Hygiene and Sanitation. 2015;94(6):106–108. EDN: UXZRAJ
- Verzhanskiy PS. The effect of combined pesticides (fentiuram, chromicin, etc.) on reproductive function and prevention of complications in women working at a chemical enterprise [dissertation abstract]. Kharkov; 1979. 22 р. (In Russ.)
- Yudaev AI. Polychlorinated biphenyls and dioxins — superecotoxicants of the 21st century. Energiia: Ekonomika, Tekhnika, Ekologiia. 2010;(1):60–65. (In Russ.) EDN: LSOYBV
- Demchenko VF. Hygienic aspects of biomonitoring of organochlorine pesticides [dissertation]. Kyiv; 1989. 332 р. (In Russ.)
- Komarova LI. Carriage of DDT and some aspects of its effect on the body [dissertation abstract]. Kyiv; 1969. 12 р. (In Russ.)
- Khamitova RYa, Mirsaitova GT. The population morbidity in conditions of lasting moderate application of pesticides. Health Care of the Russian Federation. 2014;58(1):38–42. EDN: RVLZZP
- Darbishev EP, Eshiev AM. he influence of organochlorine pesticides on the birth rate of children with congenital pathology in the Osh region. In: Actual problems and achievements in medicine. Collection of scientific papers based on the results of the international scientific and practical conference. Samara; 2017. Р. 96–99. (In Russ.) EDN: YNQHEZ
- Khamidov MH. Reproductive function, outcome of pregnancy and childbirth for the fetus and newborn in women engaged in the cultivation and cultivation of cotton [dissertation abstract]. Leningrad; 1986. 46 р. (In Russ.)
- del Puerto C, Diaz Fernandez AM, de Armas Jimenez M, et al. The levels of DDT and its metabolites in the human biological medium. Gig Sanit. 1990;(10):73–75.
- Zastenskaya IA, Kochubinsky VV. Potential role of epidemiological researches and biological monitoring in hygienic rate setting. Actual Problems of Transport Medicine. 2010;(2):90–94. EDN: PZEYNX
- Goncharuk EI, Sidorenko GI, Golubchikov MV, Prokopovich AS. Using the mother-fetus-newborn system to study the combined effects of pesticides and other chemicals. Hygiene and Sanitation. 1990;(6):4–7. (In Russ.)
- Tadevosyan NS, Tadevosyan AE, Janjapanyan AN, et al. Issues of accumulation and detection of certain persistent organic pollutants in rural residents of Armenia. Vestnik KazNMU. 2012;(3):212–221. (In Russ.)
- Ginsberg G, Hattis D, Sonawane B. Incorporating pharmacokinetic differences between children and adults in assessing children’s risks to environmental toxicants. Toxicol Appl Pharmacol. 2004;198(2):164–183. doi: 10.1016/j.taap.2003.10.010
- Mamontova YeA, Tarasova YeN, Kuzmin MI, et al. The levels of stable organic pollutants in the breast milk of women living in the Urkutsk Region. Hygiene and Sanitation. 2010;(1):35–38. EDN: MBUWKJ
- Alharbi OM, Basheer AA, Khattab RA, Ali I. Health and environmental effects of persistent organic pollutants. Journal of Molecular Liquids. 2018;263:442–453. doi: 10.1016/j.molliq.2018.05.029
- Tadevosyan NS, Muradyan SA, Tadevosyan AE, et al. Monitoring of environmental pollution in armenia and certain issues on reproductive health and cytogenetic status of organism. Hygiene and Sanitation. 2012;91(5):48–51. EDN: PUHIUJ
- AMAP Assessment 2002: Persistent organic pollutants in the Arctic. Norway, Oslo: Arctic Monitoring Assessment Program; 2004. 310 p.
- Mamontova EA, Tarasova EN., Mamontov AA. Ecological and hygienic assessment of the consequences of persistent organic compounds pollution of the industrial town (by the example of Usol’e-Sibirskoe): II. Food, human tissues, health risk assessment. Ecological Chemistry. 2017;26(1):41–52. EDN: XWRXUT
- Zastenskaya IА. Organochlorine pesticides: biological monitoring and environmental monitoring in evaluation of newborn health impact. Health and Environment. 2009;(14):540–547. EDN: ZCDVHL
- Yufit S, Leeuwen R, Malisch R, Samsonov DP. Contamination of human milk with PCDDS, PCDFS and PCBS in two Russian cities. Organohalogen Compounds. 2002;56:333–336.
- Tsygankov VY, Gumovskaya YP, Gumovskiy AN, et al. Bioaccumulation of POPs in human breast milk from south of the Russian Far East and exposure risk to breastfed infants. Environ Sci Pollut Res. 2020;27:5951–5957. doi: 10.1007/s11356-019-07394-y.
- Dudarev AA, Dushkina, EV, Sladkova YN, et al. Exposure Levels of Persistent Organic Pollutants (POPs) among Population of the Pechenga District in the Murmansk Region. Toxicological Review. 2016;(3):2–9. doi: 10.36946/0869-7922-2016-3-2-9
- Tsydenova, OV, Sudaryanto A, Kajiwara N, et al. Organohalogen Compounds in Human Breast Milk from Republic of Buryatia, Russia. Environmental Pollution. 2007;146(1):225–232. doi: 10.1016/j.envpol.2006.04.036
- Sergeyev O, Shelepchikov A, Denisova T, et al. POPs in human milk in Chapaevsk, Russia, five years following cessation of chemical manufacturing and decade of remediation program, pilot study. Organohalogen Compounds. 2008;70:1946–1949.
- Amirova ZK, Shahtamirov IY. PCDD / Fs and PCBs-WHO in plasma and breast milk of residents of the Chechen Republic. South of Russia: Ecology, Development. 2012;7(2):125–129. EDN: PLRCDV
- Moskovchuk OB, Moskovchuk KM, Demchenko VF, Evstafieva HV. Correlations of indicators of the immune status of maternity hospitals with the content of organochlorine pesticides in the blood. Tavricheskiy Mediko-Biologicheskiy Vestnik. 2012;15(3-2):176–178. (In Russ.) EDN: TEGGGD
- Dudarev AA, Chupakhin VS, Ivanova ZS, Lebedev GB. Peculiarities of exposure to polychlorinated biphenyls (PCBs) in the indigenous population of the coastal and mainland Chukotka. Hygiene and Sanitation. 2012;91(4):22–28. EDN: PTUMUX
- Revich BA, Sergeev OV, Hanser R. Dioxins, furans and PCB in blood of tecnagers in the town of Chapayevsk first outcome of a perspective epidemiological study. Toxicol Rev. 2006;(5):2–8.
- Vaskovskaya LF. Chemical and biological characteristics of DDT accumulation and distribution in the human body [dissertation]. Kyiv; 1971. 192 р. (In Russ.)
- Kuzminskaya UA. Biochemical characteristics of subcellular structures of the liver under the influence of pesticides (on the mechanism of action of organochlorine and carbamate pesticides) [dissertation abstract]. Kyiv; 1975. 42 р. (In Russ.)
- Azizova OM. Morphological changes in the brain during chronic pesticide intoxication [dissertation abstract]. Moscow; 1981. 28 р. (In Russ.)
- Le Phuoc Cuong, Evgen’ev MI, Gumerov FM, Evgen’eva I, Umarova NN. Ecomonitoring of pesticides in the hair of Vietnamese living in Da Nang (Vietnam) and Kazan. Bulletin of the Technological University. 2011;(18):31–37. (In Russ.) EDN: OJKBHN
- Domingo JL. Concentrations of environmental organic contaminants in meat and meat products and human dietary exposure: A review. Food Chem Toxicol. 2017;107(Pt A):20–26. doi: 10.1016/j.fct.2017.06.032
- Mironova EK, Donets MM, Gumovskiy AN, et al. Organochlorine pollutants in human breast milk from north of the Far Eastern Region of Russia. Bulletin of Environmental Contamination and Toxicology. 2023;110:95. doi: 10.1007/s00128-023-03732-6
- Mironova EK, Donets MM, Gumovskiy AN, et al. Persistent organic toxicants in breast milk of women in the south and north of the Russian Far East and risk assessment for infant health. Toxicological Review. 2023;31(2):99–108. doi: 10.47470/0869-7922-2023-31-2-99-108 EDN: DRHMXW
Supplementary files





