Prevalence of Anxiety and Depression Symptoms and Their Association with Sleep Quality in Patients with Hypertension
- Authors: Kazachenko A.A.1, Kuchmin A.N.1, Golova E.P.1, Tanich A.V.1, Borisov I.M.1, Muzikin M.I.1,2,3, Burletova V.A.1, Budkovaia M.А.2, Tytiuk S.Y.1
-
Affiliations:
- Kirov Military Medical Academy
- St.-Petersburg Scientific Research Institute of Ear, Throat, Nose and Speech
- St. Petersburg Medical and Social Institute
- Issue: Vol 32, No 2 (2025)
- Pages: 135-144
- Section: ORIGINAL STUDY ARTICLES
- Submitted: 28.12.2024
- Accepted: 28.05.2025
- Published: 20.07.2025
- URL: https://hum-ecol.ru/1728-0869/article/view/643517
- DOI: https://doi.org/10.17816/humeco643517
- EDN: https://elibrary.ru/TRPOGP
- ID: 643517
Cite item
Abstract
BACKGROUND: In recent years, substantial evidence has accumulated regarding the negative impact of psychoemotional stress, sleep disorders, and anxiety and depressive disorders on the course of arterial hypertension, as reflected in national guidelines. However, in real-world clinical practice, these aspects are often assessed subjectively and rarely incorporated into the diagnosis; as a result, they frequently receive insufficient attention and are not addressed properly.
AIM: To assess the prevalence of subclinical and clinically significant anxiety and depression symptoms, as well as their association with sleep quality in patients with hypertension.
METHODS: A single-center, observational, cross-sectional study was conducted. The study included patients admitted for follow-up inpatient examination and treatment at the Department of Propaedeutics of Internal Diseases, S.M. Kirov Military Medical Academy, from 2021 to 2024. During their first days in the hospital, patients completed validated questionnaires assessing psychoemotional status, sleep disorders, and risk of obstructive sleep apnea. The questionnaires included the Hospital Anxiety and Depression Scale, the Insomnia Severity Index, the STOP-BANG Risk Score for Obstructive Sleep Apnea, and the Epworth Sleepiness Scale.
RESULTS: A total of 348 patients were surveyed, with a mean age of 49.5 ± 20.6 years. The majority of participants were male (83.3%), whereas females comprised 16.7%. Symptoms of subclinical and clinically significant anxiety and depression were reported in 112 patients (32.2%) and 132 patients (37.9%), respectively. A high risk of obstructive sleep apnea was identified in 228 patients (65.5%), whereas 282 patients (81.1%) had moderate sleep disorders. The severity of anxiety and depression moderately correlated with sleep quality (ρ = 0.51 and 0.50, respectively; p < 0.001) and daytime sleepiness (r = 0.43 and 0.57, respectively; p < 0.001). Individuals with moderate sleep disorders were 12.88 times more likely to have depression symptoms (95% CI: 4.6–36.4) and 9.62 times more likely to have anxiety symptoms (95% CI: 3.40–27.20); these differences were significant. Moreover, there were significant differences in anxiety and depression severity in patients with exertional angina and a high risk of obstructive sleep apnea, regardless of sex. In female patients, significant differences in anxiety severity were reported (p < 0.05).
CONCLUSION: The findings show that patients with hypertension have a high prevalence of cardiovascular risk factors, including psychoemotional disorders, sleep disorders, and obstructive sleep apnea, emphasizing the importance of comprehensive history taking and using specialized questionnaires in routine clinical practice.
Keywords
Full Text
BACKGROUND
Arterial hypertension associated with a high risk of cardiovascular complications remains an urgent social issue due to its high prevalence. In recent years, substantial evidence has been accumulated on the adverse effect of psychoemotional stress, sleep disorders, and anxiety and depressive disorders on the course of arterial hypertension as reflected in national guidelines [1, 2]. However, in real-life clinical practice, these aspects are often assessed subjectively and rarely incorporated into the diagnosis; as a result, they are usually neglected and are not addressed properly.
Psychoemotional stress is a multifaceted factor of arterial hypertension realized through several pathophysiological mechanisms, including the activation of sympathoadrenal system and the pituitary-hypothalamic-adrenal axis. The intensity of these reactions is mostly determined by stress intensity and various emotional reactions. An example of acute stress is so called white coat hypertension, where the blood pressure increase is short-term and caused by sympathoadrenal activation. In chronic stress, the key factor is high cortisol level, which has a longer-term complex influence on the cardiovascular system and metabolism [3].
The prevalence of anxiety and depression symptoms in the population depends on many factors, both personal and social (interpersonal relationships, political and economic conditions in the country, military conflicts and pandemics).1 For example, an analysis conducted by Xiong et al. [4] during the COVID-19 pandemic showed a high prevalence of psychoemotional disorders in the population of China, Spain, Italy, Iran, the United States of America, Turkey, Nepal, and Denmark. The frequency of depression symptoms ranged from 14.6 to 48.3%, anxiety symptoms ranged from 6.33 to 50.9%, and general stress symptoms ranged from 8.1 to 81.9% and higher. The authors highlight a general increase in the prevalence of these symptoms, especially in patients with chronic diseases.
Thus, on the one hand, the recognition of the negative influence of psychoemotional stress and its importance as a risk factor of cardiovascular complications is beyond doubt. However, on the other hand, its assessment methods and prevalence data are still controversial. In routine clinical practice, it is difficult to determine the psychoemotional stress level due to the high degree of subjectivity of perception. In addition, it often requires to engage a psychiatrist or clinical psychologist. The use of special questionnaires is also limited by several factors, including lack of time and low motivation of medical staff. As a result, the understanding of the prevalence of anxiety and depressive disorders is mainly based on targeted epidemiological studies.
AIM
To assess the prevalence of subclinical and clinically significant anxiety and depression symptoms, as well as their association with sleep quality in patients with hypertension.
METHODS
Study Design
A cross-sectional single-center observational study was conducted.
Eligibility Criteria
The inclusion criteria covered:
- Patients with arterial hypertension;
- Patients admitted for follow-up inpatient examination and treatment.
Exclusion criterion is patients who have suffered an acute cerebrovascular accident.
- Study Setting
The study included patients admitted for follow-up inpatient examination and treatment at the Department of Propaedeutics of Internal Diseases, S.M. Kirov Military Medical Academy.
Study Duration
The study was conducted in 2021–2024.
Psychoemotional and Somnological Assessment
During their first days in the hospital, patients completed validated questionnaires assessing psychoemotional status, sleep disorders, and risk of obstructive sleep apnea. The study used the following tools:
- Hospital Anxiety (A) and Depression Scale (D) (HADS): 0–7, no reliable symptoms of anxiety and depression; 8–10, subclinical anxiety/depression; 11 and more, clinical anxiety/depression;
- Insomnia Severity Index (ISI): 0–7, normal sleep; 8–14, mild sleep disorders; 15–21, moderate sleep disorders; 22–28, severe sleep disorders [5];
- STOP-BANG Score for Obstructive Sleep Apnea: the total score exceeding 5 indicates high risk [6];
- Epworth Sleepiness Scale [7].
Main Study Outcome
The prevalence of subclinical and clinical symptoms of anxiety and depression in patients with arterial hypertension.
Statistical Analysis
Principles of sample size calculating: The initial sample size was not calculated.
Statistical data analysis methods: Statistical analysis was performed using StatTech® v. 4.6.3 software (StatTech LLC, Russia). The factors affecting the treatment outcome were studied by Fisher's exact test. The strength of each factor was determined as the odds ratio of an unfavorable outcome during the observation of patients during treatment. In all statistical analyses, the achieved significance (p) was calculated and p=0.05 was considered critical.
RESULTS
Participants
A total of 360 patients with arterial hypertension were surveyed. Twelve patients who had suffered an acute cerebrovascular accident were excluded from the analysis. The final sample size was 348. Mean age of patients was 49.5±20.6 years, including 83.3% male and 16.7% female. The comorbidity structure included 88 patients (25.3%) diagnosed with Functional Class I–II angina pectoris, 50 patients (14.4%) with atrial fibrillation, and 84 patients (24.1%) with type 2 diabetes mellitus. 12 patients (3.4%) had a history of myocardial infarction.
Primary Results
According to the survey, symptoms of subclinical and clinical anxiety and depression were reported in 112 patients (32.2%) and 132 patients (37.9%), respectively. A high risk of obstructive sleep apnea was identified in 228 patients (65.5%), whereas 282 patients (81.1%) had moderate sleep disorders. Comprehensive psychoemotional status and apnea risk assessment is summarized in Table 1.
Table 1. Comprehensive assessment of psychoemotional status and risk of sleep apnea
Interpretation | Abs. | % | 95% CI |
Hospital Anxiety and Depression Scale (HADS) | |||
No symptoms of anxiety | 236 | 67.8 | 62.6–72.7 |
Subclinical anxiety | 80 | 23.0 | 18.7–27.8 |
Clinically significant anxiety | 32 | 9.2 | 6.4–12.7 |
No symptoms of depression | 216 | 62.1 | 56.7–67.2 |
Subclinical depression | 80 | 23.0 | 18.7–27.8 |
Clinically significant depression | 52 | 14.9 | 11.4–19.1 |
Sleep quality (Insomnia Severity Index, ISI) | |||
Normal sleep | 18 | 5.2 | 3.1–8.1 |
Mild sleep disturbance | 48 | 13.8 | 10.3–17.9 |
Moderate sleep disturbance | 114 | 32.8 | 27.8–38.0 |
Severe sleep disturbance | 168 | 48.3 | 42.9–53.7 |
STOP-BANG Risk Score for Obstructive Sleep Apnea | |||
Low risk | 120 | 34.5 | 29.5–39.7 |
High risk | 228 | 65.5 | 60.3–70.5 |
Analysis of the relationship between the severity of anxiety and depression symptoms and sex and comorbidities, including the probability of obstructive sleep apnea, showed significant differences in female patients as they reported a more severe anxiety (p <0.05). In addition, significant differences in anxiety and depression severity were reported in patients diagnosed with angina pectoris and a high probability of obstructive sleep apnea syndrome, regardless of sex. However, other comorbidities did not have a significant influence on anxiety and depression severity (p >0.05). The odds of subclinical and clinical anxiety in female patients were 1.93 times higher than in male patients with significant differences (odds ratio [OR]=0.52, 95% confidence interval [CI] 0.29–0.92]). In patients with angina pectoris, the odds of subclinical and clinical anxiety were 3.22 times higher as compared to patients without this disease (OR=0.31, 95% CI 0.19–0.51); whereas the odds of subclinical and clinical depression were 1.73 times higher (OR=0.58, 95% CI 0.36–0.95).
The prevalence of subclinical and clinical anxiety and depression in patients with a high probability of obstructive sleep apnea was 36.0 and 47.4%, respectively, which is higher than in low risk patients (25 and 20%, respectively). Moreover, the odds differences were significant (p <0.05). However, the relationship between anxiety and depression severity and the total STOP-BANG score was weak (see Table 2).
Table 2. Correlation analysis of the association between anxiety and depression severity, risk of obstructive sleep apnea, and other questionnaire data
Variable | Strength of correlation | ||
r | Strength of association on Chaddock scale | p-value | |
Association with anxiety severity | |||
Sleep quality | 0.51 | Moderate | <0.001 |
Sleepiness scale | 0.43 | Moderate | <0.001 |
Obstructive sleep apnea | 0.15 | Weak | <0.01 |
Difficulty falling asleep | 0.33 | Moderate | <0.001 |
Sleep fragmentation | 0.42 | Moderate | <0.001 |
Early awakening (anxiety-related) | 0.38 | Moderate | <0.001 |
Association with depression severity | |||
Sleep quality | 0.50 | Moderate | <0.001 |
Sleepiness scale | 0.57 | Moderate | <0.001 |
Obstructive sleep apnea | 0.29 | Weak | <0.001 |
Difficulty falling asleep | 0.24 | Weak | <0.001 |
Sleep fragmentation | 0.35 | Moderate | <0.001 |
Early awakening (anxiety-related) | 0.21 | Weak | <0.001 |
Risk of obstructive sleep apnea | |||
Sleep quality | 0.40 | Moderate | <0.001 |
Sleepiness scale | 0.46 | Moderate | <0.001 |
Difficulty falling asleep | 0.04 | — | >0.05 |
Sleep fragmentation | 0.25 | Weak | <0.001 |
Early awakening | 0.21 | Weak | <0.001 |
An analysis of the relationship between anxiety and depression severity showed that it moderately correlated with sleep quality and daytime sleepiness (see Table 2). The Insomnia Severity Index provides a detailed measure of sleep disorders, including difficulty falling asleep, nighttime and early awakenings. An assessment of the relationship between these symptoms showed the strongest relationship with anxiety severity.
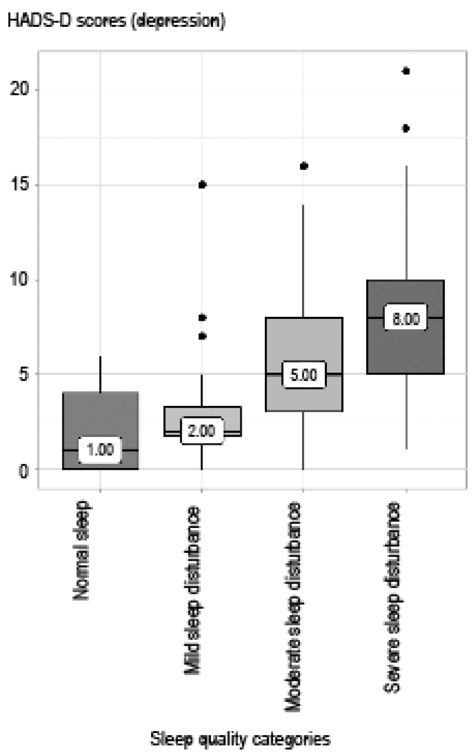
An analysis of anxiety and depression severity depending on the degree of subjective sleep disorders showed significant differences for all groups, except the depression severity in patients with mild sleep disorders and normal quality of sleep (see Fig. 1, 2). An interesting fact was that the prevalence of subclinical and clinical anxiety and depression in patients with moderate sleep disorders was 38.3 and 45.4%, respectively, which is higher than in our sample in general and as compared to the patients who reported normal sleep or mild sleep disorders. The odds of detecting depression were 12.88 times higher (95% CI 4.6–36.4) and the odds of detecting anxiety were 9.62 times higher (95% CI 3.40–27.20); the differences in odds were significant. It is worth noting that 70.2% (n=198) of patients with a high probability of obstructive sleep apnea (see Table 1) reported moderate sleep disorders. However, the odds of detecting symptoms that worsen the subjective sleep quality perception were 2.83 times higher as compared to the group of patients with a low probability of obstructive sleep apnea; the differences were significant (95% CI 1.64–4.89).
Рис. 1. Средние баллы по шкале HADS-A в зависимости от выраженности субъективного восприятия нарушений сна: HADS-A (Hospital Anxiety and Depression — Anxiety Subscale) — госпитальная шкала тревоги и депрессии, подшкала тревоги.
Fig. 1. Mean HADS-A scores by subjective severity of sleep disorders. HADS-A, Hospital Anxiety and Depression Scale—Anxiety Subscale.
Рис. 2. Средние баллы по шкале HADS-D в зависимости от выраженности субъективного восприятия нарушений сна: HADS-A (Hospital Anxiety and Depression — Depression Subscale) — госпитальная шкала тревоги и депрессии, подшкала депрессии.
Fig. 2. Mean HADS-D scores by subjective severity of sleep disorders. HADS-D, Hospital Anxiety and Depression Scale—Depression Subscale.
DISCUSSION
According to various studies, the prevalence of depression and anxiety symptoms in patients with arterial hypertension remains high. However, it varies widely depending on the assessment method, sample parameters, and diagnostic criteria. For example, a meta-analysis conducted by Li et al. [8] based on 41 studies with a total sample size of 30,796 participants showed a total depression prevalence of 26.8% in patients with arterial hypertension. The estimated prevalence determined by survey-based studies (1/3 of all studies) was 21.3% (95% CI 14.2–30.0); whereas self-rating scales showed the prevalence of 29.8% (95% CI 23.3–36.7). In the study conducted by T. Kaya et al. [9], psychoemotional disorders were diagnosed using both questionnaires and in-person assessment by professionals. In this study, the prevalence of depressive disorders in patients with arterial hypertension was 54.8%, which was significantly higher as compared to the control group (27.5%). The prevalence of anxiety disorders reached 27.9%, but no significant differences were found as compared to the control group (18.6%). The higher incidence of depressive symptoms may be partly due to the later period of the study, close to the time of our observation, and the similarity of the results.
Information on the prevalence of anxiety and depression in the population of the Russian Federation is provided in the multicenter epidemiological study ESSE-RF (Epidemiology of Cardiovascular Diseases in the Regions of the Russian Federation), which used the Hospital Anxiety (A) and Depression Scale (D) (HADS-A/HADS-D). An important feature of this study was the opportunity to assess the changes in the prevalence of these symptoms in different periods, including ESSE-RF (2013–2014); ESSE-RF 2 (2017), and ESSE-RF 3 (2020–2022). The study showed that the prevalence of subclinical and clinical symptoms of anxiety was 19.3 and 6.8%, and symptoms of depression was 15.9 and 4.5%, respectively. HADS-A and HADS-D sores ≥8 and <11, respectively, and HADS-A score ≥11 in the ESSE-RF and ESSE-RF 2 studies were significantly higher (p <0.001) as compared to ESSE-RF 3. Regression analysis (HADS-D ≥8+) in male and female participants in models (M1 and M2) showed a significant (p <0.001) association with the age group 55–74 years, lower education and income, a greater number of comorbidities (male ≥2 and female ≥1), and females living in rural areas (p=0.019). Unlike foreign studies, the ESSE-RF project observed a trend towards an annual decrease in the prevalence of anxiety and depression; the authors attribute it to the fact that the sample included more patients with milder disorders [10]. Perhaps, this explains the higher prevalence of anxiety and depressive disorders in our group of patients with arterial hypertension undergoing inpatient treatment.
The relationship between arterial hypertension and sleep problems has been proven in other studies [11, 12]. For example, Y. Cai et al. [11], analyzing the NHANTS (National Health and Nutritional Examination Survey) patient database for 2005–2018, showed that individuals reporting sleep disorders had a higher risk of arterial hypertension (OR=1.36, 95% CI 1.23–1.50). It is worth noting that the prevalence of sleep disorders in the subjects was 27.74%; whereas symptoms of depression were detected in 7.54% cases only. This frequency ratio is consistent with our data showing that moderate sleep disorders were more common in patients with symptoms of anxiety and depression. This fact can be explained by several factors. First, despite the association of depressive symptoms with subjective sleep perception, the latter may be associated with comorbidities affecting sleep quality (obstructive sleep apnea and restless legs syndrome) [12]. Second, the psychoemotional disorders are often very personal and intimate. Only a few patients would want to share it with their attending physician. However, a story about sleep disorders is perceived easier and does not require opening up the heart.
CONCLUSION
The findings of the cross-sectional study show that patients undergoing treatment for arterial hypertension have a high prevalence of subclinical and clinical anxiety (32.2%) and depression (37.9%). The prevalence of sleep disorders (81.1%) and cases of high probability of obstructive sleep apnea (65.5%) was even higher. Moreover, the severity of sleep disorders showed a closer relationship with HADS-A/HADS-D scores. All this allows us to consider sleep disorders as an independent marker of high psychoemotional stress. For example, difficulties falling asleep or early awakenings may indicate hidden or unconscious anxiety; whereas, in addition to anxiety, nighttime awakenings may indicate depression or a high probability of obstructive sleep apnea.
Thus, a simple interview with a patient with arterial hypertension about the quality of sleep, neither taking much time from the attending physician nor requiring openness from the patient, may become an effective tool for the early identification of patients in need of an in-depth examination. In such cases, it is advisable to use special questionnaires and involve professional diagnosticians and healthcare professionals specializing in sleep and psychoemotional disorders. Timely and adequate management of sleep-disordered breathing, anxiety, and depression certainly has a positive effect on the quality of life and prognosis in patients with arterial hypertension.
ADDITIONAL INFORMATION
Author contributions: A.A. Kazachenko: data curation, writing—original draft, writing—review & editing; A.N. Kuchmin: conceptualization, writing—review & editing; E.P. Golova, A.V. Tanich, V.A. Burletova: data curation; I.M. Borisov, S.Yu. Tytyuk: writing—original draft; M.I. Muzykin: writing—review & editing; M.A. Budkovaia: writing—review & editing. All authors confirm that their authorship meets the international ICMJE criteria (all authors made substantial contributions to the conceptualization, investigation, and manuscript preparation, and reviewed and approved the final version prior to publication).
Ethics approval: The study was approved by the local Ethics committee of the St. Petersburg Medical and Social Institute (Protocol No. 3 dated 03/21/2024).
Funding sources: No funding.
Disclosure of interests: The authors have no relationships, activities, or interests for the last three years related to for-profit or not-for-profit third parties whose interests may be affected by the content of the article.
Statement of originality: No previously published material (text, images, or data) was used in this work.
Data availability statement: All data generated during this study are available in this article.
Generative AI: No generative AI technologies were used to prepare this article.
Provenance and peer review: This paper was submitted unsolicited and reviewed following the standard procedure. The peer review process involved two external reviewers, a member of the editorial board, and the in-house scientific editor.
1 Mental health in emergencies; [about 3 pages]. В: World Health Organization [Internet]. Geneva: World Health Organization, 2022–2025. URL: https://www.who.int/news-room/fact-sheets/detail/mental-health-in-emergencie. Accessed on March 12, 2025.
About the authors
Alexander A. Kazachenko
Kirov Military Medical Academy
Author for correspondence.
Email: kazachenko.alex@gmail.com
ORCID iD: 0000-0002-4578-7893
SPIN-code: 4346-6785
MD, Cand. Sci. (Medicine), Associate Professor
Russian Federation, Saint PetersburgAlexey N. Kuchmin
Kirov Military Medical Academy
Email: kuchmin63@mail.ru
ORCID iD: 0000-0003-2888-9625
SPIN-code: 7787-1364
MD, Dr. Sci. (Medicine), Professor
Russian Federation, Saint PetersburgElena P. Golova
Kirov Military Medical Academy
Email: galova.elena@gmail.com
ORCID iD: 0000-0001-7820-0481
SPIN-code: 7306-8096
Russian Federation, Saint Petersburg
Anna V. Tanich
Kirov Military Medical Academy
Email: anya-tanich@yandex.ru
ORCID iD: 0009-0006-3349-1813
SPIN-code: 4059-6128
Russian Federation, Saint Petersburg
Igor M. Borisov
Kirov Military Medical Academy
Email: askbo@mail.ru
ORCID iD: 0000-0001-5075-9515
SPIN-code: 8139-5706
MD, Cand. Sci. (Medicine)
Russian Federation, Saint PetersburgMaxim I. Muzikin
Kirov Military Medical Academy; St.-Petersburg Scientific Research Institute of Ear, Throat, Nose and Speech; St. Petersburg Medical and Social Institute
Email: MuzikinM@gmail.com
ORCID iD: 0000-0003-1941-7909
SPIN-code: 7169-1489
MD, Dr. Sci. (Medicine), Associate Professor
Russian Federation, Saint Petersburg; Saint Petersburg; Saint PetersburgViktoriia A. Burletova
Kirov Military Medical Academy
Email: burletova2000@mail.ru
ORCID iD: 0009-0005-5300-5141
SPIN-code: 8199-9956
Russian Federation, Saint Petersburg
Marina А. Budkovaia
St.-Petersburg Scientific Research Institute of Ear, Throat, Nose and Speech
Email: marina-laptijova@yandex.ru
ORCID iD: 0000-0003-0219-1413
SPIN-code: 4116-3635
MD, Cand. Sci. (Medicine)
Russian Federation, Saint PetersburgSergei Yu. Tytiuk
Kirov Military Medical Academy
Email: sergei_tytyuk@mail.ru
ORCID iD: 0000-0002-7380-9332
SPIN-code: 2475-4340
MD, Cand. Sci. (Medicine)
Russian Federation, Saint PetersburgReferences
- Drapkina OM, Shishkova VM, Kotova MB. Psychoemotional risk factors for non-communicable diseases in outpatient practice. Guidelines for internists. Cardiovascular Therapy and Prevention. 2022;21(10):3438. doi: 10.15829/1728-8800-2022-3438 EDN: SAGMPE
- Kobalava ZD, Konradi AO, Nedogoda SV, et al. 2024 Clinical practice guidelines for Hypertension in adults. Russian Journal of Cardiology. 2024;29(9):6117. doi: 10.15829/1560-4071-2024-6117 EDN: GUEWLU
- Orlova NV, Spiriyakina YaG, Morunov OE. The detection of cortisol level in blood plasma of patients with arterial hypertension at resistance to stress impacts of various degree. Russian Clinical Laboratory Diagnostics. 2018;63(4):210–215. doi: 10.18821/0869-2084-2018-63-4-210-215 EDN: YXJGQT
- Xiong J, Lipsitz O, Nasri F, et al. Impact of COVID-19 pandemic on mental health in the general population: A systematic review. Journal of Affective Disorders. 2020;277:55–64. doi: 10.1016/j.jad.2020.08.001 EDN: AGDGGL
- Morin CM, Belleville G, Bélanger L, Ivers H. The insomnia severity index: psychometric indicators to detect insomnia cases and evaluate treatment response. Sleep. 2011;34(5):601–608. doi: 10.1093/sleep/34.5.601
- Chung F, Abdullah HR, Liao P. STOP-Bang Questionnaire. Chest. 2016;149(3):631–638. doi: 10.1378/chest.15-0903
- Galaktionov DА, Кazachenko АА, Кuchmin АN, et al. Obstructive sleep apnea syndrome. Screening diagnostics. Bulletin of The Russian Military Medical Academy. 2016;(2):122–125. EDN: WDCIKJ
- Li Z, Li Y, Chen L, et al. Prevalence of depression in patients with hypertension. Medicine. 2015;94(31):e1317. doi: 10.1097/MD.0000000000001317 EDN: VGEUVH
- Kaya T, Demir N. Evaluation of patients diagnosed with essential hypertension in terms of mental and personality disorders. Alpha Psychiatry. 2024;25(1):54–62. doi: 10.5152/alphapsychiatry.2024.231363 EDN: GIUYPJ
- Evstifeeva SE, Shalnova SA, Kutsenko VA, et al. Anxiety and depression: ten-year changes of prevalence and its association with demographic and socio-economic characteristics according to the ESSE-RF study. Cardiovascular Therapy and Prevention. 2023;22(8S):3796. doi: 10.15829/1728-8800-2023-3796 EDN: ZRQCJG
- Cai Y, Chen M, Zhai W, Wang C. Interaction between trouble sleeping and depression on hypertension in the NHANES 2005–2018. BMC Public Health. 2022;22(1):1–11. doi: 10.1186/s12889-022-12942-2 EDN: MWDJZT
- Kuchmin AN, Kazachenko AA, Galaktionov DA, Ekimov VV. Assessment of sleep quality and drowsiness in patients with obstructive sleep disorders. Orenburgskij medicinskij vestnik. 2021;9(4):27–29. EDN: XNTZQC
Supplementary files






