Trier Social Stress Test for Assessing Psychosocial Stress Based on Heart Rate Variability Parameters in Male and Female Students of a Higher Educational Institution
- Authors: Tolstoguzov S.N.1, Shikova K.A.1, Gruk V.M.1, Lepunova O.N.1
-
Affiliations:
- University of Tyumen
- Issue: Vol 32, No 7 (2025)
- Pages: 479-493
- Section: ORIGINAL STUDY ARTICLES
- Submitted: 07.04.2025
- Accepted: 01.08.2025
- Published: 15.09.2025
- URL: https://hum-ecol.ru/1728-0869/article/view/678196
- DOI: https://doi.org/10.17816/humeco678196
- EDN: https://elibrary.ru/OUBYHM
- ID: 678196
Cite item
Full Text
Abstract
BACKGROUND: The study of heart rate variability under short-term experimentally induced psychosocial stress is important for understanding the mechanisms of autonomic regulation of cardiac activity.
AIM: The work aimed to investigate the changes of heart rate variability parameters during short-term intensive exposure to psychosocial stress factors using the Trier Social Stress Test in male and female first- and second-year students of a higher educational institution.
METHODS: It was a prospective study. Inclusion criteria: health group I or II; age 19–22 years; willingness to participate and strong motivation for high performance. Exclusion criteria: any degree of obesity; history of chronic cardiovascular or neurological diseases. Two groups were formed according to sex: group 1, females; group 2, males. Acute psychosocial stress was induced using a modified Trier Social Stress Test protocol. At each stage, a 5-minute segment of cardiointerval recording was obtained for subsequent heart rate variability analysis.
RESULTS: The study included 79 volunteers enrolled in the 1st–2nd years of full-time university education. Females and males were assigned to group 1 (n = 41) and group 2 (n = 38), respectively. From the first (control) phase of the Trier Social Stress Test, differences in heart rate variability parameters were observed between groups despite low subjective stress reports. In the second phase, both groups demonstrated increased heart rate and low-frequency spectral power, along with decreased normalized RR interval duration and high-frequency spectral power. Reactivity phase showed the highest subjective stress ratings and maximal heart rate variability alterations compared with the control stage. An increase in heart rate (especially in group 1 during self-presentation), centralization index, vagosympathetic interaction index, low- and very-low-frequency spectral power, the difference between maximum and minimum RR intervals, as well as the standard deviation of the full set of RR intervals (predominantly in group 2) was noted. In addition, a decrease in the mean duration of the normalized RR interval and in the high-frequency spectral power was observed. By the fifth phase, with moderate subjective stress persisting, sympatho-parasympathetic balance was largely restored in both groups, with some sympathetic predominance in integral heart rate variability measures.
CONCLUSION: Thus, males showed a trophotropic pattern of changes in the activity of regulatory systems, characterized by moderate inhibition of vagal influences along with sympathoadrenal activation during acute psychosocial stress. In females, stress-induced heart rate variability alterations were more pronounced and ergotropic in nature.
Full Text
Обоснование
Проблема поиска надёжных биомаркеров стресс-реакций человека и животных существует достаточно давно. В исследовательской и клинической практике наибольшую информативность демонстрируют данные биоэлектрической активности мозга [1, 2], характеристики нейроэндокринной регуляции функций [3], а также психофизиологические параметры эмоциональных состояний [4]. Важное место среди физиологических коррелятов стресс-реакций занимают показатели деятельности сердечно-сосудистой системы: артериального давления, частоты сердечных сокращений (ЧСС) и вариабельности сердечного ритма [5]. Автономную нервную и сердечно-сосудистую системы относят к наиболее чувствительным к стрессовым воздействиям окружающей среды и нарушениям гомеостатического равновесия, активно участвующим в реализации адаптационных механизмов [6].
Использование метода математического анализа вариабельности сердечного ритма для оценки воздействий неблагоприятных природных и социальных факторов окружающей среды на организм человека широко распространено [7, 8]. При этом исследования вегетативной регуляции сердечной деятельности в условиях краткосрочного экспериментально индуцированного стресса психосоциального генеза встречаются реже и имеют неоднозначные результаты [9, 10]. В связи с этим представляют интерес два аспекта изучения индуцированного стресса.
Во-первых, применение Триер-теста для искусственной лабораторной провокации острого психосоциального стресса. Триер-тест (Trier Social Stress Test, TSST), разработанный C. Kirschbaum и соавт. [11] в 1993 г., состоит из пяти фаз/этапов, три из которых являются стрессогенными. Первая фаза — фоновая, поскольку запись функциональных параметров организма у участника эксперимента происходит без действия раздражителя. Она же выступает в качестве контрольной при описании динамики психофизиологических показателей на следующих этапах Триер-теста. На второй, третьей и четвёртой фазах происходит психологическая индукция стресса различными факторами. В частности, во второй фазе участник готовит резюме-автобиографию для самопрезентации, в третьей — представляет его перед слушателями («комиссией») или/и под видеозапись, в четвёртой — выполняет вслух обратный счёт, начиная с четырёхзначного числа, уменьшая его на двузначное. Пятая фаза является периодом восстановления, в течение которого ожидается торможение стрессовых реакций. В реальных исследованиях возможны некоторые изменения в процедуре, что делает Триер-тест гибким в использовании. Важным условием его реализации служит выраженная мотивация участников на достижение высоких результатов прохождения теста, что обусловливает сильное психологическое стресс-воздействие на реактивных (третьем и четвёртом) этапах. Триер-тест включает два главных стресс-фактора: исходная неопределённость предстоящей задачи и социальная оценка результатов, реализуемая на третьем и четвёртом этапах. Таким образом, появляется возможность в лабораторном эксперименте наблюдать этапы:
- инициации стресс-реакции (вторая и третья фазы);
- полноценного развития стресса (третья и четвёртая фазы;
- его угасания (пятая фаза).
Выделение отдельных фаз реакции на психосоциальные стрессоры представляется обоснованным, поскольку на протяжении всего Триер-теста активны различные психологические и физиологические механизмы обеспечения адекватного ответа на требования деятельности. При экспериментальном выделении отдельных фаз острой стрессовой реакции в хронологии Триер-теста исследователи обращают особое внимание на антиципирующую фазу (второй этап) как период, когда человек уже осознаёт предстоящее действие стрессора, но ещё не подвергается его прямому воздействию [12]. По данным А.А. Пашкова и соавт. [13], изменения физиологических параметров организма в процессе Триер-теста указывают на динамику активности гипоталамо-гипофизарно-надпочечниковой и симпатоадреналовой систем, что, в свою очередь, позволяет говорить о способности данной методики индуцировать психосоциальный стресс в лабораторных условиях.
Во-вторых, использование характеристик вариабельности сердечного ритма для оценки состояния организма на каждом из этапов Триер-теста. Антиципирующая и реактивные фазы психологического стресса одновременно индуцируют различные физиологические сдвиги в организме человека. Активизация симпатического отдела вегетативной нервной системы отражает тревожный компонент, обеспечивающий немедленную мобилизацию по типу реакции «бей или беги», тогда как вовлечение гипоталамо-гипофизарно-надпочечниковой связано с реализацией отсроченных адаптационных эффектов. Симпатическую реакцию на острый стресс исследуют с помощью оценки низкочастотной мощности спектра вариабельности сердечного ритма, а парасимпатическое торможение — по высокочастотной мощности или среднеквадратичному отклонению разности между соседними интервалами RR за определённый отрезок времени [14]. R. Castaldo и соавт. [15] критически рассматривали применение мощностных характеристик вариабельности сердечного ритма для оценки стресс-реактивности при регистрации коротких временных отрезков кардиоинтервалограммы, поскольку на отрезках записи менее 300 с возможны эффекты «спектральной утечки» и симпатическую реакцию сердца на стресс невозможно надёжно оценить с использованием индекса вагосимпатического взаимодействия (ИВВ). По данным E. Tharion и соавт. [16], изменений мощностных характеристик вариабельности сердечного ритма при стрессе психосоциального генеза не наблюдали, тогда как D. Lucini и соавт. [17] установили, что среднее значение мощности спектра низкочастотного компонента во время сеансов когнитивного стресса значительно ниже, чем при фоновом состоянии. T. Pereira и соавт. [9] в условиях Триер-теста отметили низкий средний интервал RR, что свидетельствует о более высокой ЧСС во время когнитивной нагрузки (четвёртая фаза Триер-теста) в сравнении с контрольным состоянием, в то время как показатель, характеризующий степень преобладания парасимпатического звена регуляции над симпатическим, значительно выше в контрольном состоянии, чем в процессе умственной задачи. Кроме того, в условиях индуцированного стресса наблюдают снижение показателей, отражающих суммарный эффект вегетативной регуляции кровообращения и активность парасимпатического звена вегетативной регуляции [17].
Таким образом, вариабельность сердечного ритма при оценке функционального состояния организма человека отражает способность сердца реагировать на различные стресс-стимулы, при этом низкая вариабельность свидетельствует о нарушениях регуляторных и гомеостатических функций автономной нервной системы, что снижает способность организма справляться с внутренними и внешними стрессорами.
Кроме того, по данным метаанализа, проведённого H.G. Kim и соавт. [18], использование показателей вариабельности сердечного ритма и биомаркеров стресс-состояний характеризуется неоднозначностью, обусловленной фрагментарностью и несопоставимостью результатов различных исследований, описывающих стресс разного происхождения, интенсивности или стадии развития.
Цель исследования. Изучение динамики показателей вариабельности сердечного ритма при краткосрочном интенсивном влиянии факторов психосоциального стресса в условиях Триер-теста у юношей и девушек, обучающихся на 1–2-м курсах высшего учебного заведения.
Материалы и методы
Дизайн исследования
Проведено проспективное исследование.
Критерии соответствия
Критерии включения:
- I (здоровые) или II (практически здоровые) группа здоровья;
- возраст — 19–22 лет;
- желание принять участие в исследовании;
- выраженная мотивация на высокий результат.
Критерии исключения:
- ожирение любой степени при индексе массы тела ≥30 кг/м2;
- наличие в анамнезе хронических заболеваний сердечно-сосудистой или нервной системы;
- обострение любых заболеваний в последние две недели перед исследованием;
- устойчивая тахикардия (80 в минуту и более) и/или высокий уровень субъективной тревожности;
- ощущения стресса [4 балла и более из 10 по визуально-аналоговой шкале (ВАШ)] при отборочном исследовании.
Девушки принимали участие в исследовании в фолликулярную стадию менструального цикла.
Провокация острого психосоциального стресса
Провокацию острого психосоциального стресса проводили с использованием видоизменённого варианта Триер-теста [11]. Участников эксперимента мотивировали на высокую результативность Триер-теста, сообщая, что результаты прохождения будут учитывать при выборе кафедры и научного руководителя.
На первом этапе фиксировали вариабельность сердечного ритма в спокойном состоянии (контроль).
На втором этапе просили участника эксперимента подготовить (обдумать) краткое резюме о себе для презентации потенциальному научному руководителю. На этом этапе он мог записывать в блокнот свои мысли, не совершая при этом активных движений.
На третьем этапе участник эксперимента должен был выступить с самопрезентацией «на камеру», избегая двигательной активности.
На четвёртом этапе участники исследования выполняли вслух обратный счёт, вычитая последовательно число 13 из числа 1022.
Пятый этап предполагал спокойное бодрствование.
Каждый их пяти этапов/фаз Триер-теста занимал 5 мин, в течение которых вели запись вариабельности сердечного ритма в положении сидя. Суммарная продолжительность эксперимента без учёта времени вводного инструктажа составляла 25 мин. Перерывов между этапами Триер-теста не делали.
Основной исход исследования
Оценка динамики показателей вариабельности сердечного ритма при краткосрочном интенсивном влиянии факторов психосоциального стресса в условиях Триер-теста.
Анализ в группах
Все участники исследования разделены на две группы в зависимости от половой принадлежности:
- 1-я группа — девушки;
- 2-я группа — юноши.
Методы регистрации исходов
Регистрацию кардиоинтервалограммы осуществляли с помощью аппаратно-программного комплекса «Здоровье-экспресс» (Россия, ООО «МКС») с четырёх электродов, наложенных на конечности. Каждый этап Триер-теста соответствовал 5-минутному отрезку записи кардиоинтервалограммы с последующим анализом вариабельности сердечного ритма. В качестве статистических показателей временного домена [19] использовали следующие характеристики вариабельности сердечного ритма:
- AVNN — средняя длительность нормированного интервала RR, мс;
- SDNN — стандартное отклонение нормированных интервалов, мс;
- RMSSD — среднеквадратичное значение последовательных различий, квадратный корень из среднего значения квадратов последовательных различий между соседними нормированными интервалами, мс;
- pNN50 — доля последовательных нормированных интервалов, различающихся на 50 мс и более, %.
Геометрическими показателями описания вариабельности сердечного ритма были вариационный размах и индекс напряжения регуляторных систем (стресс-индекс, индекс Р.М. Баевского [20]).
Вариационный размах (MxDMn):
, (1)
где RRMx — максимальное значение RR интервала, мс; RRMn — минимальное значение RR интервала, мс.
Стресс-индекс (SI):
, (2)
где AMo — амплитуда моды, %; Mo — мода, мс; MxDMn — вариационный размах, мс.
Кроме того, учитывали спектральные показатели плотности мощности в частотных диапазонах:
- высокой частоты (HF) — от 0,15 до 0,4 Гц;
- низкой частоты (LF) — от 0,04 до 0,15 Гц;
- очень низкой частоты (VLF) — от 0,003 до 0,04 Гц.
Рассчитывали индекс централизации (IC) и вагосимпатического взаимодействия (ИВВ):
, (3)
где HF — мощность спектра высокочастотного компонента вариабельности, мс2; LF — мощность спектра низкочастотного компонента вариабельности, мс2; VLF — мощность спектра очень низкочастотного компонента вариабельности, мс2;
, (4)
где HF — мощность спектра высокочастотного компонента вариабельности, мс2; LF — мощность спектра низкочастотного компонента вариабельности, мс2.
Субъективное ощущение стресса участников эксперимента фиксировали на каждом этапе Триер-теста в соответствии с ВАШ в диапазоне от 1 до 10 баллов, где 1 балл — полное отсутствие стресс-переживаний, а 10 — максимальный стресс.
Измерения проводили в межсессионный период, в дневное время, в спокойной и комфортной обстановке.
Этическая экспертиза
Исследование проводилось с мая по ноябрь 2024 г. и было одобрено этическим комитетом Тюменского государственного университета (протокол № 3 от 11.09.2024). Участники эксперимента подписали добровольные информированные согласия на проведение исследования и обработку персональных данных.
Статистический анализ
Запланированный размер выборки составлял не менее 30 участников в каждой экспериментальной группе. Предварительных расчётов размера выборки не проводилось.
Статистические методы
Статистическую обработку проводили с использованием пакета программы Statistica 6.1 (StatSoft, Inc., Соединённые Штаты Америки). Результаты представлены в виде Me [Q25; Q75], где Me — медиана, Q25 и Q75 — 25-й и 75-й процентили. Проверку нормальности распределения осуществляли с использованием критерия Шапиро–Уилка. Поскольку распределение показателей, характеризующих вариабельность сердечного ритма, не всегда соответствовало нормальному, достоверность отличий определяли непараметрическими методами: по критерию Манна–Уитни для двух независимых групп при сравнении по полу, по критерию Вилкоксона для сравнения этапов Триер-теста. Распределение субъективных оценок стресса по ВАШ соответствовало нормальному, что позволило применить сравнение по средним значениям и t-критерию Стьюдента. Значимыми считали отличия при р <0,05.
Результаты
Характеристики выборки
В исследовании приняли участие 79 добровольцев, обучающихся на 1–2-м курсах очной формы Тюменского государственного университета. Средний возраст участников эксперимента составил 20,3±1,3 года. Девушки включены в 1-ю группу (n=41), юноши — во 2-ю (n=38). В табл. 1 продемонстрировано субъективное переживание стресса в соответствии с ВАШ в группах в зависимости от фазы Триер-теста.
Таблица 1. Динамика субъективного восприятия стресса по визуальноаналоговой шкале в группах в зависимости от фазы Триер-теста
Table 1. Changes of subjective stress perception on a visual analog scale in the groups depending on the Trier test phase
Фазы Триер-теста | Субъективное ощущение стресса, баллы | |
1-я группа, n=41 | 2-я группа, n=38 | |
Первая (контроль) | 2,68±0,08 | 2,28±0,11 |
Вторая | 6,09±0,23* | 4,55±0,17 |
Третья | 7,34±0,24 | 6,21±0,24 |
Четвёртая | 6,21±0,20 | 6,28±0,17 |
Пятая | 4,90±0,19 | 4,86±0,15 |
Примечание. *Статистически значимые различия со 2-й группой (p <0,001). Субъективное ощущение стресса по визуально-аналоговой шкале в диапазоне от 1 до 10 баллов, где 1 балл — полное отсутствие стресс-переживаний, а 10 — максимальный стресс.
Основные результаты исследования
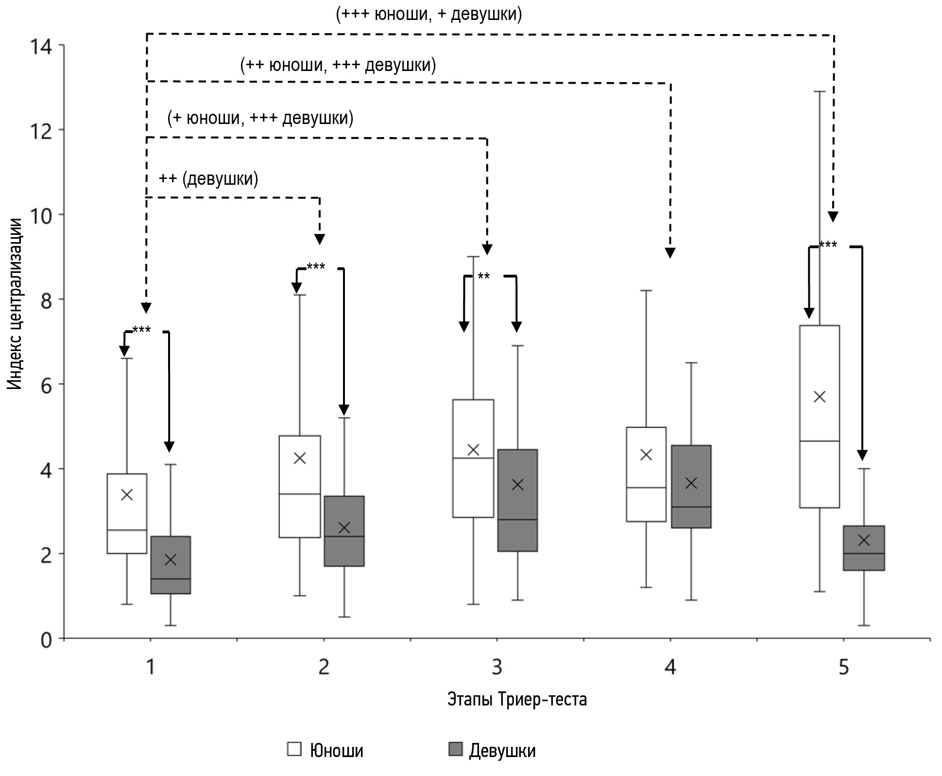
Начиная с первой (контрольной) фазы Триер-теста, на фоне низких субъективных переживаний стресса по ВАШ (см. табл. 1) фиксировали различия в показателях, характеризующих вариабельность сердечного ритма, в группах. Так, в 1-й группе отмечены бόльшая средняя длительность кардиоинтервалов (AVNN) при более высокой вариабельности (RMSSD и pNN50; табл. 2), а также меньшие значения LF (табл. 3), ИВВ (рис. 1) и IC (рис. 2).
Рис. 1. Изменение значений индекса вагосимпатического взаимодействия у юношей и девушек в зависимости от фазы Триер-теста: ***статистически значимые различия по полу при р <0,001; * при р <0,05 (критерий Манна–Уитни); +++ — статистически значимые различия с первым этапом (контроль) Триер-теста при р <0,001; ++ — при р <0,01; + — при р <0,05 (критерий Вилкоксона); границы боксов соответствуют процентилям Q25 и Q75; линия внутри бокса — медиана; крестик в боксе — средние, верхние и нижние отклонения (максимальные и минимальные значения).
Рис. 2. Изменение значений индекса централизации у юношей и девушек в зависимости от фазы Триер-теста: ***статистически значимые различия по полу при р <0,001; **при р <0,01 (критерий Манна–Уитни); +++ — статистически значимые различия с первым этапом (контроль) Триер-теста при р <0,001; ++ — при р <0,01; + — при р <0,05 (критерий Вилкоксона); границы боксов соответствуют процентилям Q25 и Q75; линия внутри бокса — медиана; крестик в боксе — средние, верхние и нижние отклонения (максимальные и минимальные) значения.
Таблица 2. Динамика статистических показателей вариабельности сердечного ритма по фазам Триер-теста
Table 2. Changes of statistical parameters of heart rate variability across the Trier test phases
Группы | Фазы Триер-теста | Сравнения с фоновой записью2 | ||||
Первая (фоновая) | Вторая | Третья | Четвёртая | Пятая | ||
Средняя длительность нормированного интервала RR, мс | ||||||
1-я группа | 2–4 (p <0,001) | |||||
2-я группа | 2–4 (p <0,001; 5 (p=0,003) | |||||
Сравнения1 по полу | U=574; Z=−2,01; p=0,044 | U=457; Z=−3,15; p=0,002 | U=353; Z=−4,17; p <0,001 | U=490; Z=−2,83; p=0,005 | U=697; Z=−0,80; p=0,421 | — |
Стандартное отклонение полного массива кардиоинтервалов, мс | ||||||
1-я группа | 3 (p=0,004) | |||||
2-я группа | 2–5 (p <0,001) | |||||
Сравнения по полу1 | U=602; Z=1,73; p=0,082 | U=450; Z=−3,22; p=0,001 | U=455; Z=−3,17; p=0,002 | U=319; Z=−4,50; p <0,001 | U=411; Z=−3,61; p <0,001 | — |
Среднеквадратичное значение последовательных различий кардиоинтервалов, мс | ||||||
1-я группа | 2, 4 (p <0,001) | |||||
2-я группа | 3 (p=0,001); 4 (p=0,009); 5 (p=0,037) | |||||
Сравнения по полу1 | U=383; Z=3,88 p <0,001 | U=556; Z=−2,18; p=0,029 | U=717; Z=0,60; p=0,540 | U=406; Z=3,65; p <0,001 | U=772; Z=−0,06; p=0,951 | — |
Число пар кардиоинтервалов с разностью более 50 мс к общему числу кардиоинтервалов в массиве, % | ||||||
1-я группа | 2–4 (p <0,001); 5 (p=0,009) | |||||
2-я группа | 3, 4 (p <0,001) | |||||
Сравнения по полу1 | U=257; Z=4,13; p <0,001 | U=441; Z=−1,96 p=0,049 | U=246; Z=−4,26; p <0,001 | U=212; Z=−4,66; p <0,001 | U=420; Z=2,21; p=0,027 | — |
Примечание. Результаты представлены в виде Me [Q25; Q75], где Me — медиана, Q25 и Q75 — 25-й и 75-й процентили. 1 по критерию Манна–Уитни; 2 по критерию Вилкоксона.
Таблица 3. Динамика геометрических и спектральных показателей вариабельности сердечного ритма по фазам Триер-теста
Table 3. Dynamics of geometric and spectral parameters of heart rate variability by Trier test phases
Группы | Фазы Триер-теста | Сравнения с фоновой записью2 | ||||
Первая (фоновая) | Вторая | Третья | Четвёртая | Пятая | ||
Разность между максимальными и минимальными значениями кардиоинтервалов, мс | ||||||
1-я группа | 3 (p <0,001) | |||||
2-я группа | 2–5 (p <0,001) | |||||
Сравнения по полу1 | U=726; Z =−0,52; p=0,603 | U=625; Z=−1,51; p=0,130 | U=679; Z=−0,97; p=0,328 | U=451; Z=−3,21; p=0,001 | U=491; Z=−2,82; p=0,004 | — |
Мощность спектра высокочастотного компонента вариабельности, мс2 | ||||||
1-я группа | 2, 5 (p <0,001); 3 (p=0,023); 4 (p=0,001) | |||||
2-я группа | 2 (p <0,001); 4 (p=0,001) | |||||
Сравнения по полу1 | U=657; Z=1,19; p=0,231 | U=683; Z=−0,94; p=0,346 | U=640; Z=1,36 p=0,172 | U=679; Z=0,98; p=0,326 | U=494; Z=−2,79; p=0,005 | — |
Мощность спектра низкочастотного компонента вариабельности, мс2 | ||||||
1-я группа | 2 (p=0,001); 3–5 (p <0,001) | |||||
2-я группа | 2 (p=0,035); 3, 4 (p <0,001); 5 (p=0,017) | |||||
Сравнения по полу1 | U=364; Z=4,08 p <0,001 | U=478; Z=2,94; p=0,003 | U=466; Z=3,06; p=0,002 | U=510; Z=2,63; p=0,008 | U=508; Z=2,65; p=0,008 | — |
Мощность спектра очень низкочастотного компонента вариабельности, мс2 | ||||||
1-я группа | 3 (p=0,013) | |||||
2-я группа | 2 (p=0,041); 3 (p <0,001); 4 (p=0,001); 5 (p=0,015) | |||||
Сравнения по полу1 | U=682; Z=−0,95; p=0,341 | U=720; Z=−0,57; p=0,562 | U=712; Z=0,65 p=0,511 | U=666; Z=1,11; p=0,267 | U=749; Z=0,28; p=0,772 | — |
Примечание. Результаты представлены в виде Me [Q25; Q75], где Me — медиана, Q25 и Q75 — 25-й и 75-й процентили. 1 по критерию Манна–Уитни; 2 по критерию Вилкоксона.
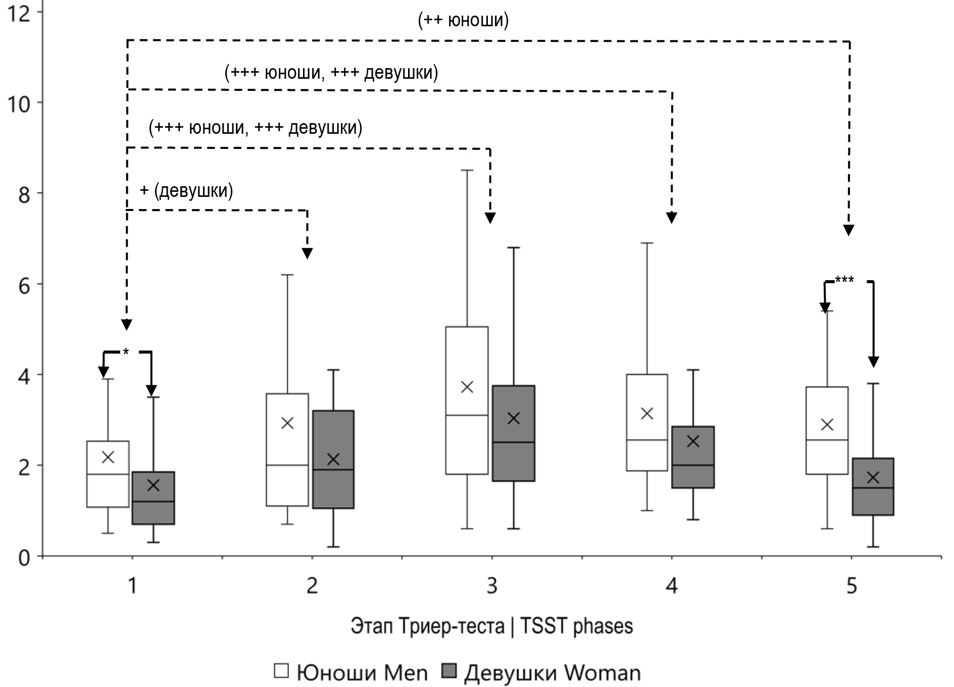
Во второй фазе субъективные тревожные переживания по ВАШ усилились у всех участников эксперимента (см. табл. 1). Тем не менее они были более выражены в 1-й группе. Существенные изменения на втором этапе отмечены практически по всем характеристикам вариабельности сердечного ритма. В обеих группах установлено увеличение ЧСС (рис. 3) и LF, снижение AVNN и HF (см. табл. 2, 3). При этом некоторые показатели, характеризующие вариабельность сердечного ритма, имели разнонаправленную динамику:
- увеличение SDNN и VLF во 2-й группе и отсутствие изменений в 1-й группе;
- снижение RMSSD и pNN50, увеличение IC, ИВВ и SI (рис. 4) в 1-й группе при стабильных значениях во 2-й.
Рис. 3. Изменение частоты сердечных сокращений (ЧСС) у юношей и девушек в зависимости от фазы Триер-теста: *** статистически значимые различия по полу при р <0,001 (критерий Манна–Уитни); +++ — статистически значимые различия с первым этапом (контроль) Триер-теста, р <0,001 (критерий Вилкоксона); границы боксов соответствуют процентилям Q25 и Q75; линия внутри бокса — медиана; крестик в боксе — средние, верхние и нижние отклонения (максимальные и минимальные значения).
Рис. 4. Изменение значений стресс-индекса у юношей и девушек в зависимости от фазы Триер-теста: *** статистически значимые различия по полу при р <0,001 (критерий Манна–Уитни; +++ — статистически значимые различия с первым этапом (контроль) Триер-теста, р <0,001 (критерий Вилкоксона); границы боксов соответствуют процентилям Q25 и Q75; линия внутри бокса — медиана; крестик в боксе — средние, верхние и нижние отклонения (максимальные и минимальные значения).
Третья и четвёртая фазы Триер-теста сопровождались наибольшей выраженностью субъективных переживаний стресса (см. табл. 1) и максимальными по сравнению с контрольной фазой изменениями вариабельности сердечного ритма. Отмечали увеличение ЧСС (особенно в 1-й группе во время самопрезентации), IC, ИВВ, LF, VLF, MxDMn, SDNN (преимущественно во 2-й группе). Одновременно в этих реактивных фазах наблюдали снижение AVNN и HF. Значения SI превышали фоновые только в 1-й группе в фазе самопрезентации, тогда как в четвёртой фазе у участников обеих групп не отличались от исходных. При этом во 2-й группе показатели RMSSD и pNN50 в реактивные фазы Триер-теста возрастали, тогда как в 1-й группе, напротив, существенно снижались, особенно в четвёртой когнитивной фазе (см. табл. 2).
В пятой фазе при исключении стрессорных воздействий субъективная оценка восприятие стресса по ВАШ несколько уменьшилась (см. табл. 1), однако превышала исходные фоновые значения. Восстановление показателей вариабельности сердечного ритма до контрольных значений первой фазы наблюдали во 2-й (pNN50, HF, SI) и в 1-й (AVNN, SDNN, RMSSD, MxDMn, HF, VLF, ИВВ) группах. При этом ЧСС и IC в период восстановления в обеих группах полностью к фоновым значениям не вернулись (см. рис. 2, 3).
Кроме того, обращает на себя внимание более широкий квартильный размах в 1-й группе по показателю ЧСС на всех этапах индуцированного стресса, а также расширение диапазона Q1–Q3 в 1-й группе по показателю SI в антиципирующей и реактивной фазах. Во 2-й группе квартильный размах в условиях эксперимента постадийно нарастал по показателям IC и ИВВ.
Обсуждение
Резюме результатов исследования
У молодых людей выявлен трофотропный характер изменений активности регуляторных систем с умеренным снижением вагусных влияний на фоне симпатоадреналовой активации в условиях острого психосоциального стресса. У девушек, по сравнению с юношами, стресс-индуцированные изменения вариабельности сердечного ритма имели более выраженный эрготропный характер.
Интерпретация результатов исследования
Безусловно, показатели вариабельности сердечного ритма отражают регуляторные механизмы деятельности сердца со стороны центральной нервной системы, а также активность вегетативной нервной системы. Бόльшая часть характеристик вариабельности сердечного ритма (статистические, геометрические, спектральные) так или иначе указывает на вовлечённость симпатической и/или парасимпатической нервной систем в регуляцию сердечной деятельности. Интерес в данном случае вызывает вопрос: насколько показатели, характеризующие вариабельность сердечного ритма, могут служить индикаторами острого стресса психосоциального генеза и можно ли выделить некоторые специфические маркеры её динамики в ответ на конкретные стимулы при провокации (искусственной организации) стресса. Поиск и описание типового стресс-паттерна изменений характеристик вариабельности сердечного ритма под воздействием стандартизированных лабораторных стимуляций в условиях Триер-теста имеют важное значение для понимания структуры адаптационного ответа организма на психологические угрозы и вызовы, возникающие при необходимости срочных действий в ситуации «здесь и сейчас». Именно для решения этой задачи определены критерии включения и исключения участников эксперимента, в частности введено требование нейтрального психоэмоционального состояния на входе (субъективное переживание стресса по ВАШ на первом этапе Триер-теста не более 3 баллов).
Тем не менее уже в фоновом состоянии стресс-теста, до начала действия экспериментальных раздражителей у девушек, по сравнению с юношами, при меньшей величине AVNN мы отметили более выраженное парасимпатическое влияние на сердечный ритм по динамическому ряду RMSSD и pNN50. У девушек это также сопровождалось пониженной мощностью низкочастотной составляющей спектра, что указывало на снижение активности симпатического отдела вегетативной нервной системы. Стоит отметить, что аналогичные половые особенности вариабельности сердечного ритма зарегистрировали И.Г. Кретова и соавт. [21] на выборке студентов 19–22 лет. Известно, что вазомоторные волны или медленные волны первого порядка характеризуют симпатическую активацию, а связанная с их величиной характеристика ИВВ указывает на баланс симпатоадреналовых и вагусных влияний в регуляции сердечного ритма. Таким образом, в нашем исследовании у девушек на старте Триер-теста фиксировали некоторое преобладание активностей анергической [22] или трофотропной системы. Некоторые авторы используют значения AVNN [23] и/или SI [6] для кластеризации выборки участников эксперимента по критерию преобладающего типа вегетативной регуляции сердечного ритма:
- на симпатотоников (AVNN ≤700 мс; SI ≥151);
- нормотоников (AVNN в диапазоне 700–900 мс; SI в диапазоне 50–150);
- ваготоников (AVNN ≥900 мс; SI ≤49).
В нашем исследовании по критериям средней длины кардиоинтервала и стресс-индексу участники эксперимента на входе (первый этап Триер-теста) имели нормотонические признаки вегетативной регуляции, что способствовало достижению целей эксперимента, поскольку первая фаза стресс-теста выступала в качестве контрольной.
Во второй упреждающей фазе Триер-теста, когда испытуемые получили задание на подготовку презентации и кратко ознакомлены с задачами и процедурой эксперимента, даже на фоне снижения неопределённости и до начала действия фактора социальной оценки отмечено серьёзное повышение субъективных стресс-ощущений, особенно выраженное у девушек. Такое повышение тревожных переживаний сопровождалось смещением вегетативного равновесия в сторону симпатической нервной системы по показателям средней длины кардиоинтервала и мощности вазомоторных волн. Д.А. Дмитриев и соавт. [9] рассматривали AVNN в качестве наиболее надёжного и информативного показателя симпатовагусного баланса при психологических нагрузках, который, согласно их данным, имеет тенденцию к симпатическому сокращению в экспериментах с индуцированным стрессом. В нашем исследовании стресс-индекс — интегральный показатель геометрических характеристик вариационной пульсометрии — в упреждающей фазе возрастал у девушек и оставался неизменным у юношей. При этом квартильный размах показателей SI у девушек, как и ЧСС, был существенно больше, что, на наш взгляд, свидетельствовало о бόльшей гетерогенности психофизиологических характеристик участниц исследования. Выраженное смещение вегетативного баланса в регуляции сердечной деятельности в сторону симпатической нервной системы, а также активацию регуляторных механизмов со стороны центральной нервной системы в упреждающей фазе девушки продемонстрировали и по интегральным мощностным характеристикам — ИВВ и IC. В целом можно отметить, что подготовка к действию стрессоров социальной оценки вызывала большие изменения в организме девушек, что отразилось и в резком снижении у них показателей вариабельности ритма (SDNN, RMSSD и pNN50) во второй фазе Триер-теста.
Реактивные этапы Триер-теста (третий и четвёртый) имели в обеих группах преимущественно сходную динамику характеристик вариабельности сердечного ритма. Как в фазе самопрезентации, так и в фазе обратного счёта максимально возрастала активность симпатического отдела вегетативной нервной системы. При этом, рассматривая показатели мощности очень низкочастотных волн, можно предполагать изменения в надсегментарном уровне регуляции, тесно связанном с аффективными переживаниями и функциональным состоянием коры больших полушарий головного мозга [20]. Значение VLF в качестве маркера активации церебральных эрготропных влияний служит характеристикой интенсивности метаболических процессов и указывает на уровень энергодефицитности в определённом функциональном состоянии человека. Повышение мощности медленных волн второго порядка, зафиксированное в нашем исследовании в реактивных фазах Триер-теста (особенно третьей), свидетельствовало о гиперадаптивных реакциях организма и повышении влияния корковых структур на стволовые центры регуляции сердечно-сосудистой системы. Однако аналогично упреждающей (антиципирующей) фазе привлекают внимание половые отличия в динамике показателей вариабельности, которые характеризуют вагусные влияния на сердечный ритм. Так, у девушек в реактивных стадиях отмечено снижение вариабельности и вклада блуждающего нерва, тогда как у юношей, напротив, максимальные значения парасимпатической активности отмечены на фоне наибольших субъективных переживаний стресса по ВАШ в третьей и четвёртой фазах Триер-теста. У юношей такая реакция вариабельности сердечного ритма позволяет предполагать проявления акцентированного антагонизма в симпатических и парасимпатических взаимодействиях на пике острого индуцированного психосоциального стресса.
В пятой фазе при сохранении умеренного субъективного уровня стресса мы наблюдали возвращение симпато-парасимпатического регуляторного равновесия у юношей и девушек с некоторым симпатоадреналовым преобладанием по интегральным характеристикам вариабельности сердечного ритма, что, в свою очередь, могло являться последействием пиковой активации гипоталамо-гипофизарно-надпочечниковой оси на предыдущих этапах Триер-теста, а также сопровождаться длительным периодом восстановления, занимающим более 5 мин.
Описывая половые особенности реакций сердечнососудистой системы на психосоциальный стресс, мы учитывали, что фактор пола сам по себе является определяющим для формирования картины вариабельности сердечного ритма. S. Sammito и соавт. [24] считают, что характерные признаки вариабельности сердечного ритма у женщин ассоциированы со спецификой нейроэндокринной регуляции организма, изменяющейся по стадиям менструального цикла. В нашем исследовании мы попытались частично нивелировать влияние макроритмов женского организма на вариабельность сердечного ритма и психическую реактивность, включая в исследование девушек на фолликулярной стадии менструального цикла.
При интерпретации результатов реактивных этапов Триер-теста следует учитывать и тот факт, что, как и в работах Д.А. Дмитриева и соавт. [9], C. Spellenberg и соавт. [10], в нашем исследовании самопрезентация и обратный счёт сопровождались активными дыхательными движениями, обусловленными речевой активностью участников эксперимента. При этом острый психосоциальный стресс способен вызывать изменения ритма и глубины дыхания, а также характера кардиореспираторного взаимодействия даже в «молчаливых» фазах Триер-теста. Следовательно, изменение паттернов дыхания в период острого психосоциального стресса, особенно в реактивных «речевых» фазах, могло внести свой вклад и повлиять на характеристики вариабельности сердечного ритма.
На всех этапах Триер-теста у девушек отмечен более широкий квартильный размах значений ЧСС и SI, что указывает на гетерогенность физиологических реакций участниц исследования. Известно, что режим автономного контроля вариабельности сердечного ритма может варьировать в зависимости от природы стрессора. Так, H.G. Kim и соавт. [18] установили, что реакция на ортостатическую пробу характеризовалась минимальными индивидуальными отличиями, тогда как психогенные стимулы приводили к широкому разбросу индивидуальных показателей вариабельности сердечного ритма. В нашем исследовании динамика её показателей при психосоциальном стрессе в целом соответствовала паттернам, наблюдаемым при остром стрессе, индуцированном физической нагрузкой [25]. Это не позволяет выделить отдельные маркерные компоненты вариабельности сердечного ритма, однозначно отражающие влияние именно психологических стрессоров на сердечную деятельность.
Ограничения исследования
В качестве ограничений настоящего исследования можно отметить отсутствие определения типа высшей нервной деятельности (темперамента) и дифференциации испытуемых на группы с учётом особенностей свойств нервной системы, экстраверсии и нейротизма.
Заключение
Таким образом, у молодых людей наблюдали трофотропный характер изменений активности регуляторных систем при умеренном торможении вагусных влияний на фоне симпатоадреналовой активации во время острого психосоциального стресса. В свою очередь, у девушек стресс-изменения вариабельности сердечного ритма имели более выраженный эрготропный характер.
Кроме того, следует отметить, что динамика характеристик вариабельности сердечного ритма в лабораторных условиях острого индуцированного психосоциального стресса информативно отражает функциональное состояние организма и изменения симпато-парасимпатической регуляции сердечной деятельности юношей и девушек. При этом выделение маркеров, специфичных для острого психосоциального стресса и отличных от изменений вариабельности сердечного ритма, возникающих под воздействием стрессоров иной природы (например, физической нагрузки), затруднено и требует дальнейших, более детальных исследований.
Дополнительная информация
Вклад авторов. С.Н. Толстогузов — формулирование и развитие идеи, основной цели и задач исследования, участие в исследовательском процессе: проведение экспериментов, сбор данных, сбор и анализ образцов биологических тканей и жидкостей, лабораторные исследования, инструментальная диагностика, разработка или проектирование методологии исследования; создание моделей, общий контроль и руководство планированием и осуществлением исследовательской деятельности, включая наставничество, подготовка, создание и/или представление опубликованной работы, в частности написание первоначального черновика рукописи (включая основной перевод, если применимо); К.А. Шикова — участие в исследовательском процессе: проведение экспериментов, сбор данных, сбор и анализ образцов биологических тканей и жидкостей, лабораторные исследования, инструментальная диагностика, управление процессами и координация планирования и проведения исследования; В.М. Грук — участие в исследовательском процессе: проведение экспериментов, сбор данных, сбор и анализ образцов биологических тканей и жидкостей, лабораторные исследования, инструментальная диагностика; О.Н. Лепунова — участие в исследовательском процессе: проведение экспериментов, сбор данных, сбор и анализ образцов биологических тканей и жидкостей, лабораторные исследования, инструментальная диагностика, применение статистических, математических, вычислительных или других формальных методов для анализа или обобщения данных исследования. Все авторы одобрили рукопись (версию для публикации), а также согласились нести ответственность за все аспекты работы, гарантируя надлежащее рассмотрение и решение вопросов, связанных с точностью и добросовестностью любой её части.
Этическая экспертиза. Исследование одобрено этическим комитетом Тюменского государственного университета (протокол № 3 от 11.09.2024).
Согласие на публикацию. Все участники исследования добровольно подписали форму информированного согласия, утверждённую в составе протокола исследования этическим комитетом.
Источники финансирования. Отсутствуют.
Раскрытие интересов. Авторы заявляют об отсутствии отношений, деятельности и интересов за последние три года, связанных с третьими лицами (коммерческими и некоммерческими), интересы которых могут быть затронуты содержанием статьи.
Оригинальность. При создании настоящей работы авторы не использовали ранее опубликованные сведения (текст, иллюстрации, данные).
Доступ к данным. Редакционная политика в отношении совместного использования данных к настоящей работе не применима.
Генеративный искусственный интеллект. При создании настоящей статьи технологии генеративного искусственного интеллекта не использовали.
Рассмотрение и рецензирование. Настоящая работа подана в журнал в инициативном порядке и рассмотрена по обычной процедуре. В рецензировании участвовали два внешних рецензента, член редакционной коллегии и научный редактор издания.
ADDITIONAL INFORMATION
Author contributions: S.N. Tolstoguzov: conceptualization, investigation, methodology, supervision, data curation, writing—original draft; K.A. Shikova: investigation, project administration; V.M. Gruk: investigation; O.N. Lepunova: investigation, formal analysis. All the authors approved the version of the manuscript to be published and agreed to be accountable for all aspects of the work, ensuring that questions related to the accuracy or integrity of any part of the work are appropriately investigated and resolved.
Ethics approval: The study was approved by the Ethics Committee of Tyumen State University (Protocol No. 3, September 11, 2024).
Consent to publication: All participants provided written informed consent, which had been approved by the Ethics Committee as part of the study protocol.
Funding sources: No funding.
Disclosure of interests: The authors have no relationships, activities, or interests for the last three years related to for-profit or not-for-profit third parties whose interests may be affected by the content of the article.
Statement of originality: No previously published material (text, images, or data) was used in this work.
Data availability statement: The editorial policy regarding data sharing does not apply to this work.
Generative AI: No generative artificial intelligence technologies were used to prepare this article.
Provenance and peer review: This paper was submitted unsolicited and reviewed following the standard procedure. The peer review process involved two external reviewers, a member of the editorial board, and the in-house scientific editor.
About the authors
Sergey N. Tolstoguzov
University of Tyumen
Author for correspondence.
Email: s.n.tolstoguzov@utmn.ru
ORCID iD: 0000-0003-2332-7543
SPIN-code: 8187-1821
Cand. Sci. (Biology)
Russian Federation, TyumenKsenia A. Shikova
University of Tyumen
Email: stud0000193319@utmn.ru
ORCID iD: 0009-0004-4270-2390
SPIN-code: 8734-1071
Russian Federation, Tyumen
Vyacheslav M. Gruk
University of Tyumen
Email: stud0000279574@utmn.ru
ORCID iD: 0009-0004-9584-2987
Russian Federation, Tyumen
Olga N. Lepunova
University of Tyumen
Email: o.n.lepunova@utmn.ru
ORCID iD: 0000-0001-5809-5805
SPIN-code: 4898-7014
Cand. Sci. (Biology)
Russian Federation, TyumenReferences
- Badr Y, Tariq U, Al-Shargie F, et al. A review on evaluating mental stress by deep learning using EEG signals. Neural Computing and Applications. 2024;36(21):12629–12654. doi: 10.1007/s00521-024-09809-5 EDN: INCXIW
- Bhatnagar S, Khandelwal S, Jain S, Vyawahare H. A deep learning approach for assessing stress levels in patients using electroencephalogram signals. Decision Analytics Journal. 2023;7:100211. doi: 10.1016/j.dajour.2023.100211 EDN: WAGXAJ
- Langer K, Jentsch VL, Wolf OT. Effects of acute stress on cognitive emotion regulation and underlying neuroendocrine mechanisms. Psychoneuroendocrinology. 2024;160:106722. doi: 10.1016/j.psyneuen.2023.106722 EDN: QMDCBJ
- Kausche FM, Carsten HP, Sobania KM, Riesel A. Fear and safety learning in anxiety- and stress-related disorders: an updated meta-analysis. Neuroscience & Biobehavioral Reviews. 2025;169:105983. doi: 10.1016/j.neubiorev.2024.105983 EDN: QEZEKG
- Gellisch M, Bablok M, Brand-Saberi B, Schäfer T. Neurobiological stress markers in educational research: a systematic review of physiological insights in health science education. Trends in Neuroscience and Education. 2024;37:100242. doi: 10.1016/j.tine.2024.100242 EDN: FGIMMY
- Demin DB. Response of the cardiovascular system to heart rate variability biofeedback intervention in adolescents with different autonomic nervous tone living in northern and southern regions. Ekologiya cheloveka (Human Ecology). 2023;30(5):375–384. doi: 10.17816/humeco321968 EDN: IHVBQW
- Krivonogova EV, Krivonogova OV, Poskotinova LV. Individual-typological features of the reactivity of EEG rhythms, cardiovascular system and lactoferrin level in the conditions of general air cooling of a person. Human Physiology. 2021;47(5):67–76. doi: 10.31857/S0131164621040068 EDN: MXAAAL
- Dimitriev DA, Saperova EV, Dimitriev AD, Salimov ER. The use of nonlinear parameters of heart rate variability for stress detection. Journal of Medical and Biological Research. 2021;9(3):265–274. doi: 10.37482/2687-1491-Z064 EDN: FZKHBC
- Pereira T, Almeida PR, Cunha JPS, Aguiar A. Heart rate variability metrics for fine-grained stress level assessment. Computer Methods and Programs in Biomedicine. 2017;148:71–80. doi: 10.1016/j.cmpb.2017.06.018 EDN: YFWBRL
- Spellenberg C, Heusser P, Büssing A, et al. Binary symbolic dynamics analysis to detect stress-associated changes of nonstationary heart rate variability. Scientific Reports. 2020;10(1):1–10. doi: 10.1038/s41598-020-72034-2 EDN: RXXBTC
- Kirschbaum C, Pirke KM, Hellhammer DH. The ‘Trier social stress test' — a tool for investigating psychobiological stress responses in a laboratory setting. Neuropsychobiology. 1993;28(1-2):76–81. doi: 10.1159/000119004
- Vanhollebeke G, De Smet S, De Raedt R, et al. The neural correlates of psychosocial stress: a systematic review and meta-analysis of spectral analysis EEG studies. Neurobiology of Stress. 2022;18:100452. doi: 10.1016/j.ynstr.2022.100452 EDN: QOCFUG
- Pashkov AA, Dakhtin IS, Kharisova NS. Electroencephalographic biomarkers of experimentally induced stress. Bulletin of the South Ural State University: series "Psychology". 2017;10(4):68–82. doi: 10.14529/psy170407 EDN: YKYSPQ
- Frisch JU, Häusser JA, Mojzisch A. The Trier social stress test as a paradigm to study how people respond to threat in social interactions. Frontiers in Psychology. 2015;6:14. doi: 10.3389/fpsyg.2015.00014
- Castaldo R, Montesinos L, Melillo P, et al. Ultra-short term HRV features as surrogates of short term HRV: a case study on mental stress detection in real life. BMC Medical Informatics and Decision Making. 2019;19(1):1–13. doi: 10.1186/s12911-019-0742-y EDN: TSGZHU
- Tharion E, Parthasarathy S, Neelakantan N. Short-term heart rate variability measures in students during examinations. National Medical Journal of India. 2009;22(2):63–66.
- Lucini D, Norbiato G, Clerici M, Pagani M. Hemodynamic and autonomic adjustments to real life stress conditions in humans. Hypertension. 2002;39(1):184–188. doi: 10.1161/hy0102.100784
- Kim HG, Cheon EJ, Bai DS, et al. Stress and heart rate variability: a meta-analysis and review of the literature. Psychiatry Investigation. 2018;15(3):235–245. doi: 10.30773/pi.2017.08.17
- Heart rate variability. Standards of measurement, physiological interpretation, and clinical use. Task force of the European Society of cardiology and the North American Society of pacing and electrophysiology. European Heart Journal. 1996;17:354–381. Available from: https://www.escardio.org/static-file/Escardio/Guidelines/
- Baevsky RM, Ivanov GG, Chireikin LV, et al. Analysis of heart rate variability using various electrocardiographic systems (methodological recommendations). Journal of Arrhythmology. 2001;(24):65–87. (In Russ.) Available from: http://www.vestar.ru/atts/1267/24baevsky.pdf
- Kretova IG, Vedyasova OA, Komarova MV, Shiryaeva OI. Analysis and forecasting of reserve capabilities of the organism of students according to indices of heart rate variability. Hygiene and Sanitation. 2019;96(6):556–561. doi: 10.18821/0016-9900-2017-96-6-556-561 EDN: ZAPEEB
- Bek AT, Emeri G. Anxiety disorders and phobias: A cognitive approach. Saint Petersburg: Dialektika; 2020. (In Russ.) ISBN: 978-5-907203-51-8 Available from: https://djvu.online/file/w8vyYRlLn11kQ?ysclid=mdylwz3hle331630133
- Spitsin AP, Spitsina TA. Heart rate variability under conditions of neuropsychic stress. Hygiene and Sanitation. 2011;(4):65–68. EDN: ODSMYN
- Sammito S, Böckelmann I. Factors influencing heart rate variability. International Cardiovascular Forum Journal. 2016;6:18–22. doi: 10.17987/icfj.v6i0.242
- Storniolo JL, Correale L, Buzzachera CF, Peyré-Tartaruga LA. Editorial: New Perspectives and Insights on Heart Rate Variability in Exercise and Sports. Frontiers in Sports and Active Living. 2025;7:1574087. doi: 10.3389/fspor.2025.1574087 EDN: KUNSXA
Supplementary files








