Morbidity characteristics of pregnant women in Eastern Siberia: a retrospective epidemiological study
- Authors: Leshchenko Y.A.1, Lisovtsov A.A.1
-
Affiliations:
- East-Siberian Institute of Medical and Ecological Research
- Issue: Vol 32, No 9 (2025)
- Pages: 640-650
- Section: ORIGINAL STUDY ARTICLES
- Submitted: 30.07.2025
- Accepted: 23.09.2025
- Published: 27.10.2025
- URL: https://hum-ecol.ru/1728-0869/article/view/688477
- DOI: https://doi.org/10.17816/humeco688477
- EDN: https://elibrary.ru/AXJQYI
- ID: 688477
Cite item
Full Text
Abstract
BACKGROUND: Among the indicators of women’s reproductive health, morbidity rates during pregnancy hold particular significance.
AIM: The work aimed to assess the prevalence of diseases complicating pregnancy in the Irkutsk Region during the period 2005–2023.
METHODS: Study design: retrospective descriptive epidemiological study. Data sources: Rosstat databases and statistical digests Key Indicators of Maternal and Child Health, Activities of Child Welfare and Obstetric Care Services in the Russian Federation. Trends in morbidity indicators were identified by analytical smoothing of time series using a linear least squares model with standard Microsoft Office 2007 tools and IBM SPSS Statistics 23.
RESULTS: From 2006 to 2023, substantial changes occurred in the pattern of morbidity among pregnant women: the prevalence of genitourinary system infections decreased (by a factor of 1.36 in the Russian Federation and 1.65 in the Irkutsk Region), as did that of circulatory system diseases (by a factor of 1.85 in the Russian Federation and 2.82 in the Irkutsk Region). The prevalence of endocrine system diseases was variable; however, in 2019–2023 it showed a steady upward trend: in the Russian Federation from 9.29% to 11.47%, and in the Irkutsk Region from 11.34% to 13.03%. The most pronounced negative trend was observed for gestational diabetes mellitus: between 2014 and 2023, its prevalence among pregnant women increased sharply—from 1.33% to 11.38% in the Russian Federation and from 1.31% to 13.58% in the Irkutsk Region.
CONCLUSION: In the Irkutsk Region and in the Russian Federation as a whole, the first quarter of the 21st century has been marked by a high prevalence of diseases among pregnant women. This underscores the need for further improvement of preventive measures, development of advanced medical technologies for maternal care, and expansion and refinement of screening programs. Particular attention should be given to reducing the prevalence of anemia, endocrine system diseases, and gestational diabetes mellitus.
Full Text
ОБОСНОВАНИЕ
Одним из важнейших показателей общественного здоровья и компонентов демографического воспроизводства является репродуктивное здоровье населения, в том числе показатели распространённости заболеваний и патологических состояний, осложняющих течение беременности. Последние могут негативно влиять на формирование состояния здоровья плода, новорождённого, ребёнка более старшего возраста и даже взрослого [1, 2].
В утверждённой распоряжением Правительства Российской Федерации 15.03.2025 № 615-р «Стратегии действий по реализации семейной и демографической политики, поддержке многодетности в Российской Федерации до 2036 года» среди приоритетных мер по реализации задачи по охране материнского, отцовского и детского здоровья, укреплению репродуктивного здоровья граждан указано на обеспечение дальнейшего развития современных технологий оказания медицинской помощи беременным, дальнейшее расширение и совершенствование скрининговых программ для беременных, новорождённых и детей других возрастов, проведение научных исследований в области охраны материнства и детства1.
В указанном контексте большое значение имеет состояние здоровья беременных в регионах Сибири, обладающих малочисленным населением, проживающим в сложных природно-климатических и социально-экономических условиях.
Цель исследования. Оценка распространённости заболеваний и патологических состояний, наиболее часто осложнявших течение беременности, в Иркутской области в период с 2005 по 2023 г. и выявление главных тенденций в динамике основных форм патологий.
МЕТОДЫ
Тип исследования: ретроспективное дескриптивное эпидемиологическое. Источниками информации послужили статистические базы данных Росстата2 и статистические сборники «Основные показатели здоровья матери и ребёнка, деятельности службы охраны детства и родовспоможения в Российской Федерации за 2007–2024 гг.»3.
Анализировали шесть наиболее массовых форм заболеваний, включённых в годовую отчётную форму федерального статистического наблюдения № 32 «Сведения о медицинской помощи беременным, роженицам и родильницам», утверждённую Приказом Росстата от 27.11.2015 № 591 (ред. от 24.12.2018): анемия, болезни системы кровообращения, инфекции мочеполовой системы, сахарный диабет, венозные осложнения, болезни эндокринной системы. Показатель распространённости отдельных форм болезней рассчитывали как число зарегистрированных заболеваний на 100 женщин, закончивших беременность. Изучали генеральные совокупности беременных в Иркутской области. Для выявления тренда изменения показателей заболеваемости в определённые временн́ые интервалы применили аналитическое выравнивание временнóго ряда с помощью линейной модели по методу наименьших квадратов с помощью стандартных средств Excel (Microsoft Office 2007) и IBM SPSS Statistics 23. Заключение о наличии тренда делали при уровне значимости p меньше 0,05 для полученного критерия F. Для определения доли вариации показателя, которую объясняет линейный тренд, использовали коэффициент детерминации (R2).
РЕЗУЛЬТАТЫ
Выявлены особенности, динамика нарушений состояния здоровья беременных в Иркутской области и в среднем по Российской Федерации за 19-летний период (2005–2023 гг.). В 2005 г. в Российской Федерации в порядке убывания значений показателей распространённости ранговые места занимали следующие заболевания (на 100 женщин, закончивших беременность): анемия (41,5%); инфекции мочеполовой системы (21,2%); болезни системы кровообращения (10,6%); болезни эндокринной системы (8,3%); венозные осложнения (3,9%); гестационный сахарный диабет (0,16%; табл. 1). Аналогичным образом в Иркутской области в 2005 г. ранговые места занимали: анемия (37,4%); инфекции мочеполовой системы (20,3%); болезни эндокринной системы (16,4%); болезни системы кровообращения (7,5%); венозные осложнения (2,5%); гестационный сахарный диабет (0,1%).
Как видно из представленных данных, основные различия между среднероссийскими показателями и показателями по Иркутской области касались болезней системы кровообращения и болезней эндокринной системы. В Иркутской области на 29,3% ниже, чем в среднем по Российской Федерации, показатель распространённости болезней системы кровообращения и на 49,4% выше показатель распространённости болезней эндокринной системы.
Для выявления тенденций в динамике болезней, осложняющих течение беременности, провели анализ изменений уровней распространённости каждой из рассматриваемых форм патологии за 19-летний период (2005–2023 гг.)
Анемия
Наиболее распространённой формой экстрагенитальной патологии среди беременных (в Иркутской области и в среднем по Российской Федерации) была анемия. При этом уровень её распространённости с 2005 по 2016 г. в Иркутской области был значительно ниже (особенно в середине указанного временнóго интервала), чем в среднем по Российской Федерации (см. табл. 1, рис. 1).
Таблица 1. Показатели распространённости заболеваний и патологических состояний, осложнявших течение беременности, в Иркутской области и Российской Федерации (РФ) в период с 2005 по 2023 г. (на 100 женщин, закончивших беременность)
Table 1. Prevalence of diseases and pathological conditions complicating pregnancy in the Irkutsk Region and the Russian Federation (RF) from 2005 to 2023 (per 100 women who completed pregnancy)
Год | Анемия | Инфекции | Болезни | Болезни | Венозные | Гестационный | ||||||
Иркутская | РФ | Иркутская | РФ | Иркутская | РФ | Иркутская | РФ | Иркутская | РФ | Иркутская | РФ | |
2005 | 37,4 | 41,5 | 20,3 | 21,2 | 7,5 | 10,6 | 16,4 | 8,3 | 2,5 | 3,9 | 0,1 | 0,2 |
2006 | 35,5 | 41,6 | 21,5 | 21,3 | 7,1 | 10,9 | 13,9 | 8,0 | 2,7 | 4,1 | 0,2 | 0,2 |
2007 | 34,4 | 39,0 | 19,2 | 20,4 | 6,6 | 10,3 | 11,7 | 7,3 | 2,5 | 4,1 | 0,1 | 0,2 |
2008 | 31,7 | 37,5 | 17,3 | 19,9 | 5,7 | 10,5 | 9,4 | 6,8 | 2,1 | 4,2 | 0,2 | 0,3 |
2009 | 26,4 | 35,3 | 16,4 | 19,2 | 6,0 | 10,3 | 7,1 | 6,4 | 2,4 | 4,4 | 0,2 | 0,3 |
2010 | 23,5 | 34,7 | 14,2 | 19,2 | 6,0 | 10,4 | 5,6 | 6,2 | 2,4 | 4,5 | 0,5 | 0,4 |
2011 | 23,9 | 34,1 | 14,1 | 18,8 | 5,8 | 9,9 | 5,2 | 5,8 | 2,7 | 4,5 | 0,3 | 0,4 |
2012 | 25,8 | 32,7 | 14,0 | 17,9 | 5,7 | 9,6 | 5,2 | 5,5 | 2,6 | 4,5 | 0,4 | 0,5 |
2013 | 27,0 | 33,1 | 13,0 | 17,4 | 6,7 | 9,7 | 4,3 | 5,5 | 2,4 | 4,7 | 0,5 | 0,7 |
2014 | 28,7 | 32,0 | 12,7 | 17,0 | 4,9 | 9,0 | 4,5 | 5,5 | 3,0 | 4,8 | 1,3 | 1,3 |
2015 | 28,9 | 32,6 | 12,9 | 16,6 | 3,0 | 8,3 | 6,2 | 6,6 | 3,4 | 5,2 | 2,3 | 2,2 |
2016 | 30,4 | 32,7 | 11,9 | 16,8 | 4,5 | 8,0 | 7,4 | 7,0 | 3,3 | 5,5 | 3,3 | 3,1 |
2017 | 33,3 | 34,0 | 14,0 | 17,0 | 4,8 | 7,8 | 7,8 | 7,8 | 3,3 | 5,7 | 4,9 | 4,5 |
2018 | 36,2 | 35,6 | 14,9 | 16,6 | 3,7 | 7,6 | 8,8 | 8,4 | 3,3 | 5,8 | 6,6 | 5,8 |
2019 | 34,9 | 36,0 | 16,2 | 16,9 | 4,1 | 7,4 | 11,3 | 9,3 | 3,4 | 6,5 | 8,0 | 7,2 |
2020 | 35,0 | 35,5 | 14,2 | 16,3 | 3,5 | 6,6 | 10,3 | 9,5 | 3,5 | 6,1 | 8,5 | 7,8 |
2021 | 35,4 | 35,4 | 13,5 | 15,8 | 3,1 | 6,2 | 11,9 | 10,2 | 3,2 | 6,4 | 10,2 | 9,0 |
2022 | 36,6 | 34,6 | 14,1 | 16,1 | 2,9 | 5,9 | 13,4 | 11,1 | 4,1 | 6,7 | 11,4 | 10,5 |
2023 | 37,6 | 34,7 | 13,0 | 15,6 | 2,5 | 5,9 | 13,0 | 11,5 | 3,5 | 6,7 | 13,6 | 11,4 |
Уравнение | 2010– y= | 2014– y= | 2005– y= | 2005– y= | 2005– y= | 2005– y= | 2013– y= | 2012– y= | 2005– y= | 2005– y= | 2012– y= | 2012– y= |
Значимость | F=195,4; p<0,001; R2=0,94 | F=9,1; p=0,017; R2=0,53 | F=14,8; p=0,001; R2=0,46 | F=169,9; p<0,001; R2=0,91 | F=94,1; p<0,001; R2=0,85 | F=358,7; p<0,001; R2=0,96 | F=236,8; p<0,001; R2=0,96 | F=597,1; p<0,001; R2=0,98 | F=49,8; p<0,001; R2=0,75 | F=329,0; p<0,001; R2=0,95 | F=585,2; p<0,001; R2=0,98 | F=756,0; p<0,001; R2=0,99 |
С 2005 по 2014 г. по Российской Федерации динамика показателей распространённости анемии беременных характеризовалась снижающимся трендом: значения показателя снизились с 41,5 до 32,0%. С 2015 по 2023 г. отмечался умеренный повышающийся тренд (R2=0,53), в ходе которого показатель вначале возрос с 32,0 до 36,0%, затем незначительно снизился до 34,7% (см. рис. 1).
Рис. 1. Динамика показателей распространённости анемии среди беременных в Российской Федерации (РФ) и Иркутской области с 2005 по 2023 г. (на 100 женщин, закончивших беременность).
Fig. 1. Trends in the prevalence of anemia among pregnant women in the Russian Federation and the Irkutsk Region from 2005 to 2023 (per 100 women who completed pregnancy).
В Иркутской области в динамике с 2005 по 2010 г. наблюдалось выраженное снижение распространённости анемии у беременных — с 37,4 до 23,5% на 100 женщин, закончивших беременность. В дальнейшем в 2011–2023 гг. показатель распространённости в столь же выраженном темпе возрастал (при некоторых колебаниях значения в отдельные годы; R2=0,94), увеличившись с 23,5 до 37,6% (см. рис. 1).
Инфекции мочеполовой системы
В начале периода наблюдения (2006–2007 гг.) показатели распространённости инфекций мочеполовой системы среди беременных имели сходные значения в Российской Федерации (21,3–20,4%) и Иркутской области (21,5–19,2%). На обоих объектах имели место понижающиеся тренды показателей (R2=0,96 и R2=0,46 соответственно), в результате чего в 2023 г. в Российской Федерации значение показателя составило 15,6%, в Иркутской области — 13,0% (см. табл. 1).
Болезни системы кровообращения
В период наблюдения в динамике показателей распространённости болезней системы кровообращения среди беременных отмечались сходные снижающиеся тренды в среднем по Российской Федерации (R2=0,96) и в Иркутской области (R2=0,84). При этом значения показателя в Иркутской области в течение всего периода наблюдения (7,5–2,5%) были ниже среднероссийских значений (10,9–5,9%; см. табл. 1).
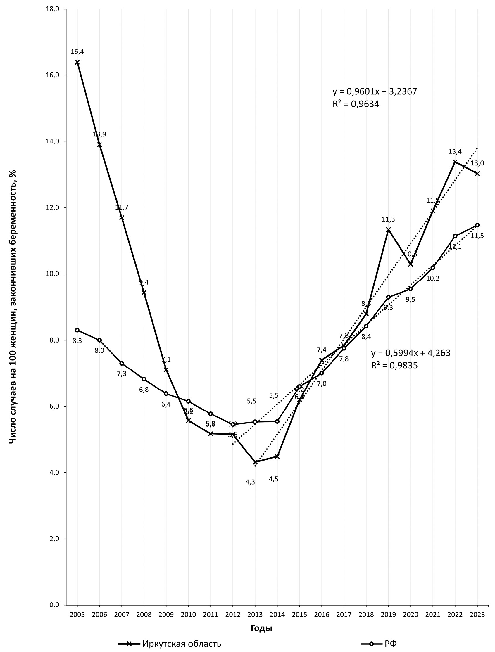
Болезни эндокринной системы
Динамика показателей распространённости болезней эндокринной системы в Российской Федерации и Иркутской области имела сходную конфигурацию в виде вогнутой кривой с более высокими значениями показателя в начале и конце периода наблюдения и более низкими — в середине периода (рис. 2). При этом в начале периода (2005 г.) показатель распространённости по Иркутской области вдвое превышал среднероссийский показатель: 16,4 против 8,3%. Но к 2013–2014 гг. в результате высокого темпа снижения показателя по Иркутской области и низкого темпа снижения среднероссийского показателя их значения сблизились и составили 4,3–5,5%. В период с 2015 по 2023 г. наблюдались устойчивые возрастающие тренды показателей по Российской Федерации (R²=0,98) и по Иркутской области (R²=0,96).
Рис. 2. Динамика показателей распространённости болезней эндокринной системы среди беременных в Российской Федерации (РФ) и Иркутской области с 2005 по 2023 г. (на 100 женщин, закончивших беременность).
Fig. 2. Trends in the prevalence of endocrine system diseases among pregnant women in the Russian Federation and the Irkutsk Region from 2005 to 2023 (per 100 women who completed pregnancy).
Венозные осложнения
Динамика показателей распространённости венозных осложнений у беременных в течение всего периода наблюдения характеризовалась значимыми устойчивыми возрастающими трендами в среднем по Российской Федерации (R²=0,95) и в Иркутской области (R²=0,75; см. табл. 1). В Иркутской области ежегодно регистрировались значения показателя, которые были на 34–50% ниже среднероссийского уровня (см. табл. 1).
Гестационный сахарный диабет
С 2005 по 2013 г. показатели распространённости гестационного сахарного диабета у беременных при медленном возрастании значений ежегодно регистрировались на очень близких уровнях (от 0,10–0,16% до 0,73–0,54%). В последующий период (2014–2023 гг.) произошёл резкий рост значений показателя в обоих наблюдаемых объектах.
При анализе диаграммы (рис. 3) обращает на себя внимание наметившееся в 2019 г. замедление темпа роста гестационного сахарного диабета (кривая стала более пологой). Но в 2020–2023 гг. темп роста гестационного сахарного диабета вновь ускорился.
Рис. 3. Динамика показателей распространённости гестационного сахарного диабета среди беременных в Российской Федерации (РФ) и Иркутской области с 2005 по 2023 г. (на 100 женщин, закончивших беременность).
Fig. 3. Trends in the prevalence of gestational diabetes mellitus among pregnant women in the Russian Federation and the Irkutsk Region from 2005 to 2023 (per 100 women who completed pregnancy).
ОБСУЖДЕНИЕ
В Иркутской области, как и по России в целом, продолжительное время наиболее часто осложнявшими течение беременности были анемия, инфекции мочеполовой системы, болезни системы кровообращения и болезни эндокринной системы. Значительные изменения в иерархии заболеваний беременных произошли в первом-третьем десятилетиях XXI в., когда с 2006 по 2023 г. снизилась распространённость инфекций мочеполовой системы (по Российской Федерации — в 1,36 раза, по Иркутской области — в 1,65 раза) и болезней системы кровообращения (по Российской Федерации — в 1,85 раза, по Иркутской области — в 2,82 раза).
В динамике показателей распространённости анемии беременных в период наблюдения отмечались разнонаправленные тренды. В среднем по Российской Федерации с 2005 по 2014 г., а в Иркутской области с 2005 по 2010 г. отмечалось последовательное снижение значений показателя распространённости анемии. Но в дальнейшем и по Российской Федерации, и в регионе эта тенденция сменилась на противоположную, причём в Иркутской области как снижающийся, так и повышающийся тренды были значительно более выражены, чем в среднем по Российской Федерации. С 2019 г. наметилась определённая стабилизация среднероссийских значений данного показателя. В Иркутской области после стабилизации значений показателя в 2019–2021 гг. вновь наметилась тенденция к его росту в 2022–2023 гг. В отношении вышеописанных разнонаправленных изменений уровня распространённости анемии среди беременных нет достаточной ясности. Возможно, это в какой-то мере обусловлено принятием в 2013 г. новых диагностических критериев, а также изменениями социально-экономической ситуации, не всегда рациональными действиями по реформированию системы здравоохранения.
При всех изменениях масштабов распространённости анемии она продолжает оставаться наиболее массовой экстрагенитальной патологией беременных в России и, в частности, в Иркутской области. Её негативное влияние на репродуктивную функцию женщин носит комплексный характер как фактора, обусловливающего развитие осложнений беременности — тошноты и рвоты в первом триместре (гиперемезис беременных), преэклампсии, эклампсии, угрозы прерывания беременности, и как фактора, обусловливающего патологические изменения у плода — гипоксию головного мозга, отставание в росте и развитии, снижение иммунной резистентности и риск внутриутробного инфицирования [3–6].
С 2019 по 2023 г. проявилась тенденция к последовательному росту показателя распространённости болезней эндокринной системы, который увеличился по Российской Федерации — с 9,3 до 11,5%, по Иркутской области — с 11,3 до 13,0%. Такая динамика внушает тревогу, поскольку течение беременности, сопровождаемое, например, некомпенсированным тиреотоксикозом, может вызывать фетальный гипертиреоз [7]. В случаях, когда проводят лечение беременной, направленное на снижение уровня ТТГ, возможно развитие фетального гипотиреоза и зоба у 25% новорождённых [8].
Наиболее радикальные сдвиги негативного характера произошли в динамике гестационного сахарного диабета, когда в течение десяти лет (2014–2023 гг.) скачкообразно увеличился показатель распространённости данного заболевания: по Российской Федерации — с 1,3 до 11,4%, по Иркутской области — с 1,3 до 13,6%. В качестве одной из причин такой динамики может быть активное внедрение во врачебную практику современного протокола (клинических рекомендаций) по гестационному сахарному диабету с введением новых диагностических критериев. Вероятность влияния фактора усовершенствования диагностики на рост выявляемости беременных с гестационным сахарным диабетом отмечают отечественные и зарубежные авторы [9–11]. Однако такой устойчивый и стремительный рост распространённости данного заболевания одним только фактором совершенствования диагностики объяснить, по-видимому, нельзя. Так, причинами может быть и то, что гестационный сахарный диабет в некоторых случаях является манифестом скрытых заболеваний, сопровождающихся нарушениями углеводного и липидного обмена (например, метаболического синдрома), особенно с учётом тенденции увеличения возраста матери, или заболеваний ятрогенного генеза, например, последствий лекарственной терапии, направленной на сохранение беременности, процедур ЭКО и др. [12]. Обращает на себя внимание наметившееся в 2019 г. замедление темпа роста гестационного сахарного диабета. Но в 2020–2023 гг. рост заболеваемости вновь ускорился. Это ускорение в точности совпало с развернувшейся в 2020–2021 гг. пандемией новой коронавирусной инфекции COVID-19. В этот период появились зарубежные публикации о влиянии COVID-19 на течение беременности. Так, было установлено, что у беременных, инфицированных COVID-19, тяжелее протекает беременность [13–15].
О том, что новая коронавирусная инфекция может способствовать развитию заболеваний, осложняющих беременность, указывали в своих публикациях отечественные авторы [16–20]. Именно поэтому можно допустить, что она стала ещё одним фактором, обусловившим повышение распространённости гестационного сахарного диабета среди беременных.
ЗАКЛЮЧЕНИЕ
С 2005 по 2023 г. в Иркутской области, как и в Российской Федерации в целом, в состоянии здоровья беременных отмечались изменения как позитивного, так и негативного характера: происходило снижение распространённости инфекций мочеполовой системы, болезней системы кровообращения, но в то же время возросла частота выявления болезней эндокринной системы, гестационного сахарного диабета. В динамике распространённости анемии и венозных осложнений происходили разнонаправленные изменения без устойчивой тенденции к росту или снижению. Ситуация в целом далека от благополучной и требует дальнейшего развития современных технологий оказания медицинской помощи беременным, расширения и совершенствования скрининговых программ для беременных. Особое внимание следует уделить мерам по снижению заболеваемости беременных анемией, болезнями эндокринной системы, гестационным сахарным диабетом.
ДОПОЛНИТЕЛЬНАЯ ИНФОРМАЦИЯ
Вклад авторов. Я.А. Лещенко — концепция и дизайн исследования, анализ и интерпретация данных, подготовка и переработка статьи, окончательное редактирование и утверждение рукописи; А.А. Лисовцов — получение и статистическая обработка данных, подготовка статьи, окончательное редактирование и утверждение рукописи. Все авторы одобрили рукопись (версию для публикации), а также согласились нести ответственность за все аспекты работы, гарантируя надлежащее рассмотрение и решение вопросов, связанных с точностью и добросовестностью любой её части.
Этическая экспертиза. Этическую экспертизу протокола исследования не проводили, информированное согласие на участие в исследовании не получали. Основание — в исследовании использованы публичные статистические данные, не содержащие персональных сведений о пациентах.
Источники финансирования. Работа выполнялась по плану научно-исследовательских работ в рамках государственного задания № 075-00484-25-00 утв. 25.12.2024.
Раскрытие интересов. Авторы заявляют об отсутствии отношений, деятельности и интересов за последние три года, связанных с третьими лицами (коммерческими и некоммерческими), интересы которых могут быть затронуты содержанием статьи.
Оригинальность. При создании настоящей работы авторы не использовали ранее опубликованные сведения (текст, иллюстрации, данные).
Доступ к данным. Редакционная политика в отношении совместного использования данных к настоящей работе не применима, новые данные не собирали и не создавали.
Генеративный искусственный интеллект. При создании настоящей статьи технологии генеративного искусственного интеллекта не использовали.
Рассмотрение и рецензирование. Настоящая работа подана в журнал в инициативном порядке и рассмотрена по обычной процедуре. В рецензировании участвовали два внешних рецензента, член редакционной коллегии и научный редактор издания.
ADDITIONAL INFORMATION
Author contributions: Ya.A. Leshchenko: conceptualization, methodology, formal analysis, writing—original draft, writing—review & editing; A.A. Lisovtsov: data curation, formal analysis, writing—original draft, writing—review & editing. All the authors approved the version of the manuscript to be published and agreed to be accountable for all aspects of the work, ensuring that questions related to the accuracy or integrity of any part of the work are appropriately investigated and resolved.
Ethics approval: The study protocol was not reviewed by an ethics committee. No informed consent for participation in the study was obtained, as the study used publicly available data containing no personally identifiable patient information.
Funding sources: The study was conducted as part of the research plan of the state assignment No. 075-00484-25-00, approved on December 25, 2024.
Disclosure of interests: The authors have no relationships, activities, or interests for the last three years related to for-profit or not-for-profit third parties whose interests may be affected by the content of the article.
Statement of originality: No previously obtained or published material (text, images, or data) was used in this study or article.
Data availability statement: The editorial policy regarding data sharing does not apply to this work, as no new data was collected or created.
Generative AI: No generative artificial intelligence technologies were used to prepare this article.
Provenance and peer review: This paper was submitted unsolicited and reviewed following the standard procedure. The peer review process involved two external reviewers, a member of the Editorial Board, and the in-house scientific editor.
1 Стратегия действий по реализации семейной и демографической политики, поддержке многодетности в Российской Федерации до 2036 года. Утверждена распоряжением Правительства Российской Федерации от 15 марта 2025 г. № 615-р. Режим доступа: http://static.government.ru/media/files/r10o4FJgcqMhYx2bGAJRxMNNS2m7pmN4.pdf Дата обращения: 02.06.2025.
2 Статистические базы данных Росстата. Режим доступа: https://rosstat.gov.ru/folder/13721 Дата обращения: 21.01.2020.
3 Подготовлены специалистами Департамента мониторинга, анализа, и стратегического развития здравоохранения Министерства здравоохранения РФ и специалистами ФГБУ «Центральный научно-исследовательский институт организации и информатизации здравоохранения» Министерства здравоохранения РФ.
About the authors
Yaroslav A. Leshchenko
East-Siberian Institute of Medical and Ecological Research
Author for correspondence.
Email: yaleshenko@gmail.com
ORCID iD: 0000-0001-5687-6966
SPIN-code: 3430-2802
MD, Dr. Sci. (Medicine), Professor
Russian Federation, 3 microdistrict 12A, PO box 1170, Angarsk, 665827Alexandr A. Lisovtsov
East-Siberian Institute of Medical and Ecological Research
Email: a.a.lisovtsov@gmail.com
ORCID iD: 0000-0003-2993-4563
SPIN-code: 4369-4741
MD, Cand. Sci. (Medicine)
Russian Federation, 3 microdistrict 12A, PO box 1170, Angarsk, 665827References
- Starodubov VI, Sukhanova LP. Reproductive problems of the demographic development of Russia. Moscow: Menedzher zdravookhraneniya; 2012. 320 p. (In Russ.) EDN: QMDFXF
- Verzilina IN, Churnusov MN. Research of morbidity of pregnant women in the Belgorod region. Challenges in Modern Medicine. 2011;(10):14:154–158. EDN: OONXCN
- Sorokina AV. Anemia in pregnant women. Russian bulletin of Obstetrician-Gynecologist. 2015;15(5):132–137. doi: 10.17116/rosakush2015154132-137 EDN: VHUJIJ
- Petrov YuA, Goryaeva AE. Iron deficiency anemia in pregnant women. International Journal of Applied and Fundamental Research. 2018;(5-1):240–244. EDN: XQGALJ
- Ivanov DO, Iurev VK, Shevtsova KG, et al. Morbidence of pregnant anemia and its impact on infant mortality. Pediatrician (St. Petersburg). 2019;10(1):1:43–48. doi: 10.17816/PED10143-48 EDN: HXPHLR
- Moiseeva KE, Shevtsova KG, Berezkina EN, Kharbedia ShD. Pregnancy anemia as a medical and social problem. Bulletin of Science and Practice. 2019;5(1):103–110. doi: 10.5281/zenodo.2539588 EDN: YUDROX
- Glinoer D. The systematic screening and management of hypothyroidism and hyperthyroidism during pregnancy. Trends Endocrinol Metab. 1998;9(10):403–411. doi: 10.1016/s1043-2760(98)00095-2
- Fadeyev VV. The upper reference level of TSH: are there sufficient arguments for its change. Problems of Endocrinology. 2008;54(1):46–50. doi: 10.14341/probl200854146-50 EDN: CKKMJN
- Sukhikh GT, Krasnopolsky VI, Runikhina NK, et al. Transition to a new level of management of hypertensive and metabolic complications in pregnancy: current diagnostic criteria for gestational diabetes mellitus. Akusherstvo i Ginekologiya. 2013;(3):4–9. EDN: QAWKKB
- Peaceman AM, Clifton RG, Phelan S, et al. Lifestyle interventions limit gestational weight gain in women with overweight or obesity: LIFE-moms prospective meta-analysis. Obesity (Silver Spring). 2018;26(9):1396–1404. doi: 10.1002/oby.22250
- Pastorino S, Bishop T, Crozier SR, et al. Associations between maternal physical activity in early and late pregnancy and offspring birth size: remote federated individual level meta-analysis from eight cohort studies. BJOG. 2018;126(4):459–470. doi: 10.1111/1471-0528.15476
- Dzugkoev SG, Tedtoeva AI, Dzugkoeva FS, et al. Pregnancy and diabetes. Modern Problems of Science and Education. 2016;(4):44. EDN: WIQBON
- Chen L, Li Q, Zheng D, et al. Clinical characteristics of pregnant women with COVID-19 in Wuhan, China. N Engl J Med. 2020;382(25):е100. doi: 10.1056/NEJMc2009226
- Qosimova ZN, Acmalchodjaeva II, Rustamova RI, Qosimova MD. Coronavirus infection during the pregnancy. Mother and Child. 2021;(3):34–36. EDN: QFRYLZ
- Mirzozoda GS, Dodkhoeva MF, Abdullaeva RA. COVID-19 and women's reproductive health. Avicenna Bulletin. 2022;24(3):385–393. doi: 10.25005/2074-0581-2022-24-3-385-393 EDN: ZAWFSH
- Belokrinitskaya TE, Artymuk NV, Filippov OS, Shifman EM. Dynamics of the epidemic process and the course of the COVID-19 in pregnant women of the Far Eastern and Siberian Federal Districts. Gynecology. 2020;22(5):6–11. doi: 10.26442/20795696.2020.5.200439 EDN: JOAWAV
- Belokrinitskaya TE, Artymuk NV, Filippov OS, Frolova NI. Clinical course, maternal and neonatal outcomes of COVID-19 infection in pregnancy: an epidemiological study in Siberia and the Far East. Gynecology. 2021;23(1):43–47. doi: 10.26442/20795696.2021.1.200639 EDN: UUHGDO
- Zhukovets IV, Аndrievskaya IА, Кrivoshchekova NА, et al. First effects of the COVID-19 pandemic: pregnancy complications, newborn health and expected reproductive losses. Bulletin Physiology and Pathology of Respiration. 2022;(84):77–85. doi: 10.36604/1998-5029-2022-84-77-85 EDN: HGZCIJ
- Volkova NI, Panenko SO. Gestational diabetes mellitus: current screening problems. Diabetes Mellitus. 2022;25(1):72–80. doi: 10.14341/DM12727 EDN: OJNTSE
- Belokrinitskaya TЕ, Frolova NI, Mudrov VA, et al. Postcovid syndrome in pregnant women. Akusherstvo i Ginekologiya. 2023;(6):60–68. doi: 10.18565/aig.2023.54 EDN: YZCQPW
Supplementary files






