Quantitative analysis of fat distribution in men and women: contribution of diet, physical activity, and FTO genotype
- Authors: Bondareva E.A.1, Parfenteva O.I.1, Khromov-Borisov N.N.2, Popova E.V.3, Kulemin N.A.1
-
Affiliations:
- Lopukhin Federal Research and Clinical Center of Physical-Chemical Medicine
- Commission for Combating Pseudoscience of the Expert Council of the Russian Academy of Sciences
- Gorno-Altaisk State University
- Issue: Vol 31, No 2 (2024)
- Pages: 121-134
- Section: ORIGINAL STUDY ARTICLES
- Submitted: 09.04.2024
- Accepted: 09.08.2024
- Published: 24.10.2024
- URL: https://hum-ecol.ru/1728-0869/article/view/630163
- DOI: https://doi.org/10.17816/humeco630163
- ID: 630163
Cite item
Full Text
Abstract
BACKGROUND: The Russian Federation is among the top ten countries in terms of obesity prevalence among adults.
AIM: To identify the endogenous (biological factors such as age and FTO genotype) and exogenous (diet and physical activity level) factors that influence body fat accumulation and distribution among a group of women and men from Moscow.
MATERIAL AND METHODS: A total of 464 volunteers, consisting of 231 women and 233 men aged between 18 and 60 years, from Moscow took part in a single-center, cross-sectional, observational study. The program involved measuring body height, weight, body and limb girths, as well as conducting caliperometry, bioimpedance analysis, and administering questionnaires. Indices of body fat distribution were calculated. Additionally, differences in genotype, specifically the rs9939609 T>A variant in the FTO gene, were also determined.
RESULTS: Maintaining a vegetarian diet for at least three years was associated with lower fat and fat-free mass, but not with abdominal fat in both men and women. Engaging in regular physical activity had the most significant impact on abdominal fat in both genders.
Furthermore, participating in amateur or professional sports activities for a minimum of 180 minutes per week was associated with lower overall body fat. We found no association between the FTO rs9939609 gene and fat accumulation or distribution, regardless of diet and physical activity levels.
CONCLUSION: The results suggest that vegetarian diet and regular physical activity are likely to be the most effective total and abdominal fat loss strategy for male and female adult residents of Moscow.
Keywords
Full Text
ОБОСНОВАНИЕ
Российская Федерация входит в десятку стран-лидеров по ожирению у взрослого населения. Эпидемиологические исследования, проведённые в России, оценивают распространённость ожирения и избыточной массы тела у взрослого населения от 20 до 54% [1]. По данным Всемирной организации здравоохранения (ВОЗ), ожирением страдают около четверти совершеннолетних жителей Российской Федерации [2]. Ожирение приводит не только к снижению общей продолжительности жизни, но и к инвалидности людей, в том числе трудоспособного возраста, так как способствует развитию тяжёлых коморбидных заболеваний [3]. Значительный вклад в развитие ожирения вносят экзогенные факторы, которые формируют жирогенную среду обитания (obesogenic environment), стимулирующую потребление избытка калорий в сочетании с гиподинамией [4]. В этой связи исследования, направленные на изучение влияния эндогенных (пол, возраст, индивидуальные генетические характеристики) и экзогенных (особенности диеты, уровень физической активности, факторы жирогенной среды) факторов, приобретают особую актуальность. Они позволяют выделить паттерны, характерные для групп риска, либо, наоборот, для людей, устойчивых к ожирению, а также оценить эффективность различного рода изменений образа жизни для контроля массы тела. Уровень физической активности и изменение калорийности рациона зачастую дают благоприятный синергический эффект при снижении жирового депо и находятся под контролем человека [5, 6], но индивидуальные генетические факторы остаются неизменными на протяжении всей жизни. Именно поэтому исследования ассоциаций генетических маркеров с количественными и качественными признаками жироотложения представляются перспективными не только с фундаментальной точки зрения реализации генотип-средовых взаимодействий в конкретный фенотип, но и с точки зрения практического использования индивидуальных генетических характеристик в качестве диагностического критерия предрасположенности к ожирению. Ген FTO (Fat mass and obesity-associated) экспрессируется в центре контроля голода в гипоталамусе, что делает его перспективным кандидатом для исследования молекулярно-генетических механизмов развития ожирения [7]. FTO катализирует деметилирование m6A, влияя на процессинг и трансляцию мРНК-генов, вовлечённых в адипогенез, синтез и запасание триглицеридов в клетках печени, липолиз жирового депо в тканях [8]. Однонуклеотидные варианты в первом интроне гена FTO были одними из первых генетических маркеров, ассоциированных с ожирением и диабетом 2-го типа [9]. К настоящему моменту проведено большое количество исследований влияния различных SNV в гене FTO на индекс массы тела (ИМТ), массу и состав тела, а также предрасположенность к ожирению. Результаты исследований достаточно противоречивы.
Цель исследования. Анализ влияния эндогенных (пол, возраст, генотип FTO) и экзогенных (особенности диеты, уровень физической активности) факторов на количество жира и его топографию в группе мужчин и женщин, проживающих в Москве.
МАТЕРИАЛ И МЕТОДЫ
Программа исследования
По единой программе были обследованы 464 человека (231 женщина в возрасте от 18 до 60 лет и 233 мужчины в возрасте от 18 до 52 лет). Выборка была разделена на несколько подгрупп (табл. 1). По схеме возрастной периодизации онтогенеза человека, принятой на VII Всесоюзной конференции по проблемам возрастной морфологии, физиологии и биохимии АПН СССР (Москва, 1965 г.), выделили молодой возраст (18–21 и 18–20 лет), первый (22–35 и 21–35 лет) и второй (36–60 и 36–55 лет) взрослый, пожилой (61–74 и 56–74 года) для мужчин для женщин соответственно. Из анализа исключили добровольцев пожилой возрастной группы из-за их малочисленности.
Таблица 1. Подгруппы обследованной выборки
Table 1. Subgroups of the sample
Фактор Factor | Подгруппа Group | Всего Total (n=464) | Женщины Women (n=231) | Мужчины Men (n=233) | Разность долей, % Proportion difference (%) | Padj |
Диета Diet | Вегетарианство Vegetarian | 114 202530 | 65 222836 | 49 152128 | -2717 | 0,23 |
Традиционная Ordinary | 350 707580 | 166 647278 | 184 727985 | |||
Физическая активность Physical activity | Сидячий образ жизни Sedentary | 146 263138 | 57 172533 | 89 303847 | -25132 | 2×109 |
Фитнес Fitness | 166 303642 | 116 415059 | 50 152130 | -162940 | ||
Спортсмены Athletes | 152 273339 | 58 18 25 33 | 94 324050 | -27154 | ||
Возраст* Age* | Молодой (18–21 и 18–20 лет) Young (18–21 & 18–20 y.o.) | 240 455258 | 117 425159 | 123 455361 | -15211 | 0,039 |
Первый взрослый (22–35 и 21–35 лет) Adult 1 (22–35 & 21–35 y.o.) | 164 293542 | 92 324048 | 72 243139 | -4921 | ||
Второй взрослый (36–60 и 36–55 лет) Adult 2 (36–60 & 36–55 y.o.) | 58 81317 | 20 5914 | 38 111623 | -1671,5 | ||
Пожилой (61–74 и 56–74 года) Elderly (61–74 & 56–74 y.o.) | 2 0,040,42,1 | 2 0,070,94,0 | 0 0,00,02,0 | -1,70,94,2 |
Примечания: полужирным шрифтом выделены статистически значимые различия; подстрочные индексы — границы 95% ДИ; * первый возрастной диапазон для мужчин, второй — для женщин. Второй ряд чисел в каждой клетке — доли, выраженные в %, и 95% ДИ для них.
Note: statistically significant differences are in bold. Subscripts are 95% CI; * the first age range is for men, the second is for women.
К подгруппе «вегетарианство» были отнесены добровольцы, которые на момент исследования придерживались данной диеты не менее трёх лет. Добровольцы, которые были отнесены к подгруппе традиционного питания, не имели каких-либо ограничений в выборе и употреблении продуктов в пищу. К подгруппе ведущих сидячий образ жизни были отнесены добровольцы, которые не занимались физическими упражнениями и чья профессиональная деятельность не связана с высокими физическими нагрузками. Подгруппа «фитнес» включала мужчин и женщин, которые не менее 180 мин в неделю (от 180 до 450 мин) посвящают физическим нагрузкам различной направленности с низкой, средней и высокой интенсивностью, но при этом не имеют спортивных званий и разрядов в каком-либо виде спорта. К подгруппе «спортсмены» были отнесены мужчины и женщины, которые на момент исследования имели спортивные звания от кандидата в мастера спорта и выше и являлись выступающими спортсменами. В подгруппе спортсменов время, затраченное на физические нагрузки, составило от 630 до 900 мин в неделю. Особенности рациона, уровень физической активности, спортивную квалификацию и вид спорта, этническую принадлежность фиксировали в ходе анкетирования.
Программа обследования включала в себя измерение длины (лазерный антропометр, КАФА, Россия) и массы тела (Seca, Германия), обхватов корпуса и конечностей неэластичной измерительной лентой, измерение толщины кожно-жировых складок на корпусе и конечностях (калипер системы GMP, Швейцария), определение состава тела методом биоимпедансометрии (АВС-02 «Медасс», НТЦ Медасс, Россия). Антропометрические признаки использовали для расчёта индексов, часть которых используется для оценки нутритивного статуса и доли жировой массы тела (BMI — body mass index и BAI — body adiposity index), а другие для оценки топографии жироотложения (ABSI — a body shape index, WHR — waist to hip ratio, WHI — waist to hip index, WHtR — waist to height ratio, HI — hip index, CI — conicity index, BRI — body roundness index) [10–12]. Нутритивный статус (недостаток массы тела, нормальная масса тела, избыточная масса тела и ожирение) определяли по значению ИМТ согласно критериям ВОЗ. Кроме того, ожирение диагностировали по значению доли жировой массы тела: для женщин ≥30%, для мужчин ≥25%. Центральное ожирение оценивали по значению индекса WHtR ≥0,5. Для оценки силовых показателей использовали медицинский электронный ручной динамометр ДМЭР-120 (ТВЕС, Россия), измерения проводили для правой и левой руки.
Молекулярно-генетический анализ
Были собраны образцы венозной крови для выделения геномной ДНК и последующего определения генотипа по полиморфному локусу гена FTO (T/A, первый интрон, rs9939609).
Статистический анализ
Для анализа связей эндогенных и экзогенных факторов с характеристиками жироотложения в объединённой выборке мужчин и женщин данные стандартизировали (вычисляли z-оценки). Для анализа в подгруппах по полу данные не стандартизировали. Для исследовательского факторного анализа использовали программу jamovi (The jamovi project (2023), jamovi (Version 2.3) [Computer Software]. Retrieved from https://www.jamovi.org). Для анализа различий между группами применяли t-критерий с поправкой Уэлча и критерий Краскела–Уоллиса. Рассчитывали не только p-значения, но и размер эффекта. Анализ проводили в программах PAST и JASP (JASP Team (2024); JASP (Version 0.18.3) [Computer software]). При множественных сравнениях использовали поправку Беньямини–Хохберга (BH).
Для всех оцениваемых статистик рассчитывали 95% доверительные интервалы (ДИ), которые обозначены в тексте подстрочными индексами. Для вычисления точных значений pmid использовали программы Stats (https://www.cog-genomics.org/software/stats) и StatXact (https://www.cytel.com/software/statxact/). Для оценки границ 95% ДИ для долей (частот) и их разностей использовали программы LePAC, StatXact и MOVER-D (https://profrobertnewcomberesources.yolasite.com/resources/mover-d_301013.xls).
Для проверки согласия частот генотипов с равновесием Харди–Вайнберга вычисляли точные значения mid-p и индекс фиксации (FIS) с 95% ДИ (программа FixIndAll). Для оценки частот генотипов и аллелей и их разностей с 95% ДИ использовали программу FixIndAll, для ROC-анализа — программу EasyROC (http://biosoft.erciyes.edu.tr/app/easyROC), для оценки отношения рисков (ОР) и отношения шансов (OШ), а также 95% ДИ к ним — программу LePAC (http://www.univ-rouen.fr/LMRS/Persopage/Lecoutre/PAC.htm).
РЕЗУЛЬТАТЫ
По ИМТ 22% обследуемых (30 женщин и 72 мужчины) имели избыточную массу тела и ожирение, а 6% (23 женщины и 6 мужчин) — недостаток массы тела. Центральное ожирение по индексу WHtR имели 9% (16 женщин и 27 мужчин), скрытое ожирение — 7% (30 женщин и 2 мужчины). При этом случаи скрытого ожирения встречаются в подгруппах с разным уровнем физической активности. Разведочный факторный анализ позволил выделить 3 независимых фактора: фактор 1 — количественные характеристики развития скелета и скелетных мышц (фактор физической крепости организма), фактор 2 — количественные характеристики жирового компонента, фактор 3 — антропометрические индексы, отражающие выраженность абдоминального жироотложения. Коэффициенты корреляции между факторами близки к нулю: 0,065 между факторами 1 и 2; 0,17 между факторами 1 и 3; 0,17 между факторами 2 и 3. Это означает, что в обследованной выборке количество жира и его распределение (топография) являются независимыми.
Анализ влияния генотипа FTO, пола и возраста на количество жира и его топографию в обследованной выборке
Частота генотипов и аллелей FTO представлена в табл. 2. В объединённой выборке, а также в подгруппах мужчин и женщин распределение генотипов соответствовало равновесию Харди–Вайнберга (pmid=0,35; 0,30 и 0,84 соответственно). Доверительные интервалы индексов фиксации (FIS) для данных групп накрывают нулевое значение FIS, что позволяет судить об отсутствии ошибок генотипирования и направленного генетического отбора в исследуемых подгруппах. Распределения генотипов в подгруппах вегетарианцев, испытуемых с ожирением по значению доли жировой массы тела, профессиональных спортсменов и испытуемых с центральным ожирением по значению индекса WHtR также соответствовали равновесию Харди–Вайнберга (pmid=0,91; 0,90; 0,074 и 0,28 соответственно).
Таблица 2. Популяционно-генетический анализ обследованной выборки: численность, наблюдаемые и ожидаемые частоты генотипов и аллелей по гену FTO в подгруппах
Table 2. Population-genetic analysis of the sample: numbers, observed and expected frequencies of genotypes and alleles for the FTO gene in subgroups
Группа Group | FTO | n | fobs | fexp | FIS | Аллель Allele | fobs |
Общая Total | AA | 160 | 0,30,350,41 | 0,36 | -0,14-0,050,05 | FTO*A | 0,570,600,63 |
AT | 228 | 0,440,500,56 | 0,48 | FTO*T | 0,370,400,43 | ||
TT | 67 | 0,110,150,19 | 0,16 | ||||
Мужчины Men | AA | 80 | 0,280,350,43 | 0,37 | -0,20-0,070,06 | FTO*A | 0,560,610,65 |
AT | 116 | 0,430,510,59 | 0,48 | FTO*T | 0,350,390,44 | ||
TT | 31 | 0,090,140,20 | 0,15 | ||||
Женщины Women | AA | 80 | 0,270,350,43 | 0,35 | -0,14-0,010,12 | FTO*A | 0,550,590,64 |
AT | 112 | 0,410,490,57 | 0,48 | FTO*T | 0,360,410,45 | ||
TT | 36 | 0,110,160,22 | 0,16 | ||||
Ожирение по значению доли жировой массы тела Obesity %BF | AA | 20 | 0,180,300,45 | 0,30 | -0,19-0,030,12 | FTO*A | 0,470,550,63 |
AT | 32 | 0,340,490,64 | 0,50 | FTO*T | 0,370,450,53 | ||
TT | 14 | 0,100,200,34 | 0,20 | ||||
Отношение обхвата талии к длине тела ≥0,5 Waist-to-height ratio ≥0,5 | AA | 11 | 0,110,270,46 | 0,30 | -0,230,000,24 | FTO*A | 0,360,480,59 |
AT | 17 | 0,230,410,60 | 0,50 | FTO*T | 0,410,520,64 | ||
TT | 13 | 0,150,320,51 | 0,20 |
Примечание: подстрочные индексы — границы 95% ДИ.
Note: subscripts are 95% CI.
Обнаружены многочисленные статистически значимые различия по морфологическим признакам между подгруппами мужчин и женщин, обусловленные половым диморфизмом.
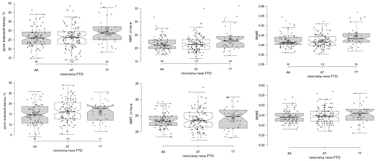
Однофакторный дисперсионный анализ не выявил значимых различий между носителями различных генотипов FTO как в объединённой выборке, так и в подгруппах мужчин и женщин (рис. 1). Результаты двухфакторного дисперсионного анализа с учётом взаимодействия пола и генотипа позволяют заключить, что значимым фактором является пол, но не генотип или взаимодействие этих факторов.
Рис. 1. Распределение значений доли жировой массы, индекса массы тела (ИМТ) и отношения обхвата талии к длине тела (WHtR) у носителей различных генотипов FTO в подгруппах женщин (верхний ряд) и мужчин (нижний ряд). Числа над осью абсцисс — объёмы выборок, кресты — средние значения, перетяжки коробов — медианы, серые прямоугольники — 95% ДИ для средних, ширина вырезов — 95% ДИ для медиан.
Fig. 1. Distribution of body fat percentage, body mass index (BMI), and waist-to-height ratio (WHtR) across FTO genotypes in subgroups of women (top row) and men (bottom row). Numbers above the abscissa are sample sizes. Crosses are mean values, box waists are medians, gray rectangles are 95% CI for means, and notch widths are 95% CI for medians. “Доля жировой массы, %” — percent of body fat, %; “индекс массы тела, кг/кв.м” — BMI, kg/m2; “генотипы гена FTO” — FTO genotypes.
Общепринятыми оценками практической ценности «силы влияния» фактора риска на исход являются значения ОР и ОШ (табл. 3). Согласно известным вербальным шкалам, полученные значения ОР и ОШ (несмотря на формальное преодоление порога статистической значимости на уровне α=5%) следует признать практически ничтожными и очень слабыми соответственно.
Таблица 3. Разности долей, отношения рисков и отношения шансов для подгруппы с избыточной массой тела и ожирением и для подгруппы с абдоминальным ожирением в генерализованной выборке
Table 3. Proportion differences, risk ratios, and odds ratios for the subgroups with overweight and obesity and for the subgroup with abdominal obesity in the pooled sample
Признак Feature | Модель Model | РД PD | ОР RR | ОШ OR |
Индекс массы тела ≥25 Body mass index ≥25 | (AA+AT) vs TT | 0,040,150,27 | 1,171,782,56 | 1,232,193,81 |
AA vs (TT+AT) | -0,010,070,14 | 0,971,422,16 | 0,961,562,58 | |
Ожирение по значению доли жировой массы тела Obesity %BF | (AA+AT) vs TT | -0,010,080,19 | 0,891,572,56 | 0,871,723,24 |
AA vs (TT+AT) | -0,040,030,09 | 0,781,242,07 | 0,741,292,30 | |
Отношение обхвата талии к длине тела ≥0,5 Waist-to-height ratio ≥0,5 | (AA+AT) vs TT | 0,040,130,23 | 1,432,694,8 | 1,493,116,25 |
AA vs (TT+AT) | -0,020,030,08 | 0,781,472,96 | 0,761,523,23 |
Примечания: РД — разница долей; ОР — отношение рисков; ОШ — отношение шансов; полужирным шрифтом выделены статистически значимые значения; подстрочные индексы — границы 95% ДИ.
Note: PD — proportion difference, RR — risk ratio; OR — odds ratio. Statistically significant differences are highlighted in bold. Subscripts are 95% CI.
Для оценки возможности использования Т/А-замены в гене FTO в качестве диагностического критерия для прогноза значений исследуемых признаков применяли ROC-анализ. Были проанализированы две группы: носители А-аллели против носителей ТТ-генотипа. Полученные значения AUC статистически не отличались от неинформативного значения AUC=0,5; 95% ДИ для всех них накрывали это значение: 0,480,590,71 — для обхвата талии, 0,450,560,67 — для доли жировой массы тела, 0,440,560,69 — для ИМТ, 0,430,550,68 — для WHtR. Все значения pBH превышали пороговое значение 0,05, что свидетельствует об отсутствии практической ценности Т/А-замены в гене FTO для диагностики повышенного жироотложения и/или риска ожирения как в объединённой выборке, так и в подгруппах мужчин и женщин.
Возрастные изменения, как известно, оказывают влияние на состав тела мужчин и женщин, выражаясь в снижении безжировой массы тела и увеличении абсолютного и относительного количества жировой массы. В целом обследованная выборка воспроизводит популяционные тренды по выраженности абдоминального жироотложения: молодые люди (18–21 год) имели значимо меньшие (p=0,00) толщину кожно-жировой складки под лопаткой, обхват талии и индексы WHR, WHtR, CI, BRI, ABSI по сравнению с подгруппами первого и второго взрослого возраста. В целом подгруппы первого и второго взрослого возраста оказались схожи по своим морфологическим характеристикам. Значимые различия в генерализованной выборке между возрастными подгруппами по ИМТ, длине и массе тела, скелетно-мышечной массе и доле жировой массы тела отсутствуют. Данные различия воспроизводятся при разбиении по возрастам в подгруппах мужчин и женщин (рис. 2).
Рис. 2. Стандартизованные оценки (z-оценки) антропометрических признаков, характеризующих нутритивный статус и выраженность абдоминального жироотложения в возрастных подгруппах объединённой выборки: ИМТ — индекс массы тела; WHtR — отношение обхвата талии к длине тела.
Fig. 2. Standardized estimates (z-scores) of anthropometric characteristics reflecting nutritional status and severity of abdominal fat deposition in age subgroups of the combined sample: BMI — body mass index; WHtR — waist-to-height ratio; z-оценки ИМТ — BMI z-scores; z-оценки охвата талии — waist circumference z-scores; z-оценки WHtR — WHtR z-scores; 1 взрослый — adult 1, 2 взрослый — adult 2, молодой — young; Возрастная группа — age group.
В подгруппе женщин возрастные изменения морфологических признаков после внесения поправки на множественное сравнение исчезали. В подгруппе мужчин после поправки на множественность сравнений различия сохранились для обхвата талии, толщины кожно-жировой складки под лопаткой, трансверзального диаметра грудной клетки, а также всех индексов, отражающих выраженность абдоминального жироотложения.
Анализ влияния уровня физической активности и вегетарианской диеты на количество жира и его топографию в обследованной выборке
Сравнение морфологических признаков по уровням физической активности (z-оценки) в объединённой выборке выявило следующие значимые различия: у мужчин и женщин с низким уровнем физической активности наблюдались более высокие значения доли жировой массы тела (p <0,001), обхвата талии (p <0,001) и ИМТ (p <0,001). Скелетно-мышечная масса и сила сжатия кисти руки в объединённой выборке спортсменов была значимо выше по сравнению с подгруппами сидячего образа жизни (p=0,002) и фитнеса (p <0,001). По всем антропометрическим индексам, отражающим абдоминальное жироотложение, в подгруппе профессиональных спортсменов наблюдались меньшие значения (меньшее жироотложение на животе) по сравнению с подгруппами сидячего образа жизни и фитнеса. В табл. 4 приведены значения исследуемых признаков у женщин и мужчин в подгруппах, различающихся по уровню физической активности.
Таблица 4. Морфологические характеристики женщин и мужчин в подгруппах с различным уровнем физической активности
Table 4. Morphological characteristics of women and men in subgroups with different levels of physical activity
Признак Feature | Подгруппа Subgroup | Женщины Women | Мужчины Men | ||
Среднее Mean | pBH | Среднее Mean | pBH | ||
Масса тела, кг Weight (kg) | Спорт | Sport | 566272 | <0,001 | 687481 | 0,74 |
Фитнес | Fitness | 525661 | 687279 | |||
Сидячий | Sedentary | 546269 | 647583 | |||
Обхват талии, см Waist, (cm) | Спорт | Sport | 677175 | <0,001 | 757881 | 0,51 |
Фитнес | Fitness | 666871 | 757781 | |||
Сидячий | Sedentary | 687179 | 738085 | |||
Индекс массы тела, кг/м2 Body mass index (kg/m2) | Спорт | Sport | 212224 | <0,001 | 222426 | 0,55 |
Фитнес | Fitness | 192123 | 212325 | |||
Сидячий | Sedentary | 212325 | 212426 | |||
Жировая масса тела, кг Fat mass (kg) | Спорт | Sport | 131621 | <0,001 | 9,21215 | 0,67 |
Фитнес | Fitness | 111518 | 7,61114 | |||
Сидячий | Sedentary | 131824 | 7,51116 | |||
Доля жировой массы тела, % Body fat (%) | Спорт | Sport | 232629 | 0,01 | 131620 | 0,67 |
Фитнес | Fitness | 222629 | 111618 | |||
Сидячий | Sedentary | 252934 | 111521 | |||
Кожно-жировая складка под лопаткой, мм Subscapular skin fold (mm) | Спорт | Sport | 7,48,511 | <0,001 | 7,18,411 | 0,23 |
Фитнес | Fitness | 7,69,212 | 7,89,912 | |||
Сидячий | Sedentary | 91115 | 7,69,812 | |||
Кожно-жировая складка возле пупка, мм Abdominal SF (mm) | Спорт | Sport | 91316 | 0,01 | 6,48,012 | 0,35 |
Фитнес | Fitness | 9,41317 | 7,31015 | |||
Сидячий | Sedentary | 111521 | 6,21017 | |||
Сумма ٨ кожно-жировых складок, мм 8 skin fold sum (mm) | Спорт | Sport | 6491104 | <0,001 | 485670 | 0,35 |
Фитнес | Fitness | 7391108 | 546581 | |||
Сидячий | Sedentary | 86105138 | 466082 | |||
Отношение обхвата талии к длине тела Waist-to-height ratio | Спорт | Sport | 0,400,410,44 | <0,001 | 0,420,440,46 | 0,35 |
Фитнес | Fitness | 0,400,410,43 | 0,410,440,47 | |||
Сидячий | Sedentary | 0,410,440,46 | 0,420,450,48 | |||
Примечание: подстрочные индексы — границы 95% ДИ.
Note: subscripts are 95% CI.
У женщин, которые регулярно выполняют физические упражнения (подгруппы фитнеса и спорта), наблюдали значимо меньшее количество жира и более низкие значения индексов абдоминального жироотложения. При этом спортсменки, наряду со снижением жироотложения, характеризовались лучшим развитием скелетных мышц и силовых характеристик. Женщины, которые регулярно занимаются фитнесом, в целом обладают меньшими значениями жировой и безжировой массы тела, а также массой тела, что на наш взгляд, может быть связано с сознательным уменьшением калорийности рациона. Женщины, ведущие сидячий образ жизни, характеризовались бÓльшим развитием жирового компонента, а также бÓльшими значениями индексов абдоминального жироотложения. У мужчин регулярные занятия физическими упражнениями приводили, главным образом, к выраженному снижению абдоминального жироотложения (WHR, CI, WHI, ABSI). При этом по остальным исследованным признакам различия между этими тремя подгруппами были незначимыми. Таким образом, у женщин занятия спортом вызывают значительно более выраженные изменения количества жира и выраженности его абдоминальной локализации, тогда как у мужчин в большей степени влияние оказывают возрастные измерения, а уровень физической активности значимо сказывается только на выраженности жироотложения в области живота.
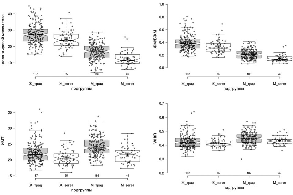
Анализ влияния модификации диеты на количество жира и его топографию был проведён в объединённой выборке, а также в подгруппах мужчин и женщин (рис. 3). Вегетарианцы имели меньшие значения всех обхватных размеров, толщины кожно-жировых складок, жировой массы и её доли, ИМТ и скелетно-мышечной массы (p <0,001).
Рис. 3. Значения доли жировой массы, индекса массы тела (ИМТ), отношения жировой к безжировой массе тела (ЖМ/БЖМ) и отношения обхвата талии к длине тела (WHtR) в подгруппах мужчин (М) и женщин (Ж), придерживающихся традиционной (трад.) и вегетарианской (вегет.) диеты. Числа над осью абсцисс — объёмы выборок, кресты — средние значения, перетяжки коробов — медианы, серые прямоугольники — 95% ДИ для средних, ширина вырезов — 95% ДИ для медиан.
Fig. 3. Values of percent of body fat, body mass index, fat to fat free mass (FM/FFM) ratio, and waist circumference to body height (WHtR) ratio in the subgroups of men (M) and women (W) adhering to a traditional (trad.) and vegetarian (veg.) diet. Numbers above the abscissa are sample volumes. Crosses are mean values, box waists are medians, gray rectangles are 95% CI for means, and the width of the notches is 95% CI for medians. Доля жировой массы, % — percent of body fat, %; индекс массы тела, кг/кв.м — BMI, kg/sq.m; ЖМ/БЖМ — FM/FFM; Ж_трад — F_trad); Ж_вегет — F_veget; М_трад — M_trad; М_вегет — M-veget; подгруппы — subgroups.
Сравнение продольных (длина тела) и поперечных (диаметры грудной клетки и таза) размеров скелета не выявило значимых различий между подгруппами. Практически одинаковыми оказались и индексы абдоминального жироотложения. Таким образом, на фоне снижения количества подкожного жира и скелетно-мышечной массы тела топография жироотложения между подгруппами с вегетарианским и традиционным питанием не различалась.
ОБСУЖДЕНИЕ
Количество жира (абсолютное и доля жировой массы тела) и распределение жирового депо (топография жироотложения) являются независимыми факторами, определяющими риски развития тяжёлых хронических заболеваний [13]. Полученные нами результаты подтверждают, что количество жира и его топография являются независимыми характеристиками в обследованной выборке. Именно поэтому был проведён анализ влияния эндогенных и экзогенных факторов на количество жира и выраженность абдоминального типа жироотложения.
Ранее было показано, что Т/А-замена в гене FTO ассоциирована с особенностями потребления макронутриентов в рационе. Так, в рационе носителей А-аллели больше углеводов и жиров, а также выше калорийность рациона в целом [14]. Например, было проведено исследование взаимодействия SNV в первом интроне гена FTO с эндогенными (пол, возраст) и экзогенными (уровень физической активности, частота употребления подслащенных напитков и употребление алкоголя) факторами на ИМТ в израильской популяции [15]. Авторы обнаружили снижение риска ожирения у носителей А-аллели, ведущих активный образ жизни, по сравнению с носителями А-аллели, ведущими сидячий образ жизни. Результаты, полученные в нашем исследовании, не подтверждают какой-либо значимой связи А-аллели (генотипы АА и АТ) с количественными характеристиками жироотложения, а также с предрасположенностью к абдоминальной топографии жироотложения.
Для обследованной выборки не было обнаружено эффектов взаимодействия между генотипами и полом, диетой, а также уровнем физической активности. Эти результаты подтверждаются и метаанализами связей FTO с ожирением и риском развития коморбидных заболеваний [16], а также ассоциативными исследованиями взаимосвязей FTO с ожирением в контексте трёх различных диетических паттернов. Авторы показали, что на поддержание рекомендованных значений ИМТ и обхвата талии значимое влияние оказывают пищевые привычки европейцев, но не генотип FTO [17].
Особую актуальность приобретает исследование влияния экзогенных (контролируемых) факторов на жироотложение, так как в условиях пандемии ожирения необходимы эффективные инструменты по снижению риска ожирения и его профилактики среди всех возрастных когорт населения. Различные варианты вегетарианской диеты рекомендованы для снижения массы тела при избыточном весе и ожирении, а также для нормализации биохимических показателей липидного и углеводного метаболизма [18]. По всем обхватным признакам у мужчин и женщин, придерживающихся вегетарианской диеты, значения показателей ниже. Приверженность вегетарианской диете приводит к снижению всех компонентов состава тела, массы тела, ИМТ и BAI (у мужчин) на фоне одинаковых значений длины тела и показателей развития скелета. Максимальные значения размера эффекта (d Коуэна) были обнаружены в подгруппе мужчин для следующих показателей: масса тела (0,530,851,18), жировая масса (0,570,891,22), доля жировой массы тела (0,540,861,18), ИМТ (0,620,941,27), ABSI (-1,18-0,86-0,53). Однако 95% ДИ для каждого из этих значений довольно широк и включает зоны умеренных и слабых влияний. Для уточнения силы воздействия вегетарианства на жироотложение необходимо увеличить размеры анализируемых групп. Отношение жировой к безжировой массе тела меньше у вегетарианцев, чем у придерживающихся традиционной диеты, то есть жировая масса снижается сильнее, чем безжировая.
Индексы, отражающие абдоминальный характер жироотложения, за исключением ABSI, оказались значимо ниже у вегетарианцев. Однако размер эффекта для данных индексов является ничтожным, поэтому судить об изменении топографии на фоне вегетарианской диеты преждевременно. Таким образом, длительная (не менее трёх лет) приверженность вегетарианской диете у мужчин и женщин приводит к снижению жировой и безжировой массы тела и не влияет на выраженность абдоминального жироотложения.
Наиболее выраженный эффект на снижение абдоминального жироотложения в подгруппе мужчин и женщин оказывают регулярные физические нагрузки. При этом положительное влияние на снижение количества жира оказывают и любительские, и профессиональные занятия спортом от 180 мин в неделю. Важно отметить, что среди обследованных, которые не являются профессиональными спортсменами, 75% москвичей уделяют время регулярным физическим нагрузкам (см. табл. 1). Положительные эффекты регулярной физической нагрузки на снижение массы тела и поддержание оптимальных значений ИМТ и обхвата талии хорошо известны [19]. Отметим, что в подгруппе женщин регулярная физическая нагрузка оказывает более выраженный эффект на состав тела, чем возраст, что может препятствовать возрастным изменениям состава тела у женщин. Однако для подтверждения полученного результата необходимо расширить группу женщин второго взрослого возраста с высоким уровнем физической активности.
К ограничениям исследования следует отнести относительно невысокую численность добровольцев второго взрослого возраста, а также вегетарианцев, имеющих высокий уровень физической активности.
ЗАКЛЮЧЕНИЕ
Полученные результаты позволяют заключить, что пол и возраст оказывают значимое влияние на состав тела обследованных, в отличие от Т/А-замены (rs9939609) в гене FTO. Носители рисковой А-аллели (генотипы АА и АТ) не отличались от носителей генотипа ТТ ни по одному из исследованных антропометрических признаков и индексов. Для взрослых мужчин и женщин, проживающих в Москве, наиболее эффективными стратегиями по снижению жирового депо и абдоминального жироотложения являются приверженность вегетарианской диете и регулярные физические нагрузки. При этом вегетарианская диета приводит к снижению и безжировой массы тела, включая скелетно-мышечную массу. Аналогичный эффект (снижение всех компонентов состава тела) наблюдается и в подгруппе женщин, занимающихся фитнесом. Факторный анализ выделил абдоминальную топографию жироотложения в качестве независимого признака, однако не удалось выделить конкретных эндогенных или экзогенных причин центрального ожирения. Тем не менее регулярная физическая нагрузка является значимым фактором снижения абдоминального жироотложения у обоих полов. Таким образом, внешние причины оказывают гораздо более значимое влияние на количество жира и его топографию.
ДОПОЛНИТЕЛЬНАЯ ИНФОРМАЦИЯ
Вклад авторов. Э.А. Бондарева — сбор и анализ данных, написание текста статьи; О.И. Парфентьева — написание текста и редактирование статьи; Н.Н. Хромов-Борисов — анализ и интерпретация данных, написание текста статьи; Е.В. Попова — написание текста и редактирование статьи, Н.А. Кулемин — общее руководство и подготовка итогового варианта рукописи. Все авторы подтверждают соответствие своего авторства международным критериям ICMJE (все авторы внесли существенный вклад в разработку концепции, проведение исследования и подготовку статьи, прочли и одобрили финальную версию перед публикацией).
Источник финансирования. Научное исследование проведено при поддержке Российского научного фонда (грант РНФ № 22-75-10122).
Конфликт интересов. Авторы декларируют отсутствие явных и потенциальных конфликтов интересов, связанных с публикацией настоящей статьи.
Информированное согласие на участие в исследовании. Все участники до включения в исследование добровольно подписали форму информированного согласия, утверждённую в составе протокола исследования (№ 2022/12/06 от 06 декабря 2022 г.) этическим комитетом учреждений.
ADDITIONAL INFO
Author contribution: E.A. Bondareva — study concept and design, data collecting, literature review, collection and analysis of literary sources, writing the text and editing the article; O.I. Parfenteva — literature review, collection and analysis of literary sources, preparation and writing of the text of the article; E.V. Popova — literature review, preparation and writing of the text of the article; N.N. Khromov-Borisov — literature review, data analysis, writing the text and editing the article; N.A. Kulemin — general guidance, final editing of the manuscript. All authors confirm that their authorship meets the international ICMJE criteria (all authors have made a significant contribution to the development of the concept, research and preparation of the article, read and approved the final version before publication).
Funding source. This work was supported by the Russian Science Foundation (award #22-75-10122).
Competing interests. The authors declare that they have no competing interests.
Patients’ consent. Written consent was obtained from all the study participants before the study screening in according to the study protocol (No. 2022/12/06 dated December 06 2022) approved by the local ethic committee.
About the authors
Elvira A. Bondareva
Lopukhin Federal Research and Clinical Center of Physical-Chemical Medicine
Email: Bondareva.E@gmail.com
ORCID iD: 0000-0003-3321-7575
SPIN-code: 6732-2072
Cand. Sci. (Biology)
Russian Federation, MoscowOlga I. Parfenteva
Lopukhin Federal Research and Clinical Center of Physical-Chemical Medicine
Email: parfenteva.olga@gmail.com
ORCID iD: 0000-0001-7895-6887
SPIN-code: 6237-1920
Cand. Sci. (Biology)
Russian Federation, MoscowNikita N. Khromov-Borisov
Commission for Combating Pseudoscience of the Expert Council of the Russian Academy of Sciences
Author for correspondence.
Email: Nikita.KhromovBorisov@gmail.com
ORCID iD: 0000-0001-6435-7218
SPIN-code: 1086-2105
Cand. Sci. (Biology)
Russian Federation, St. PetersburgElena V. Popova
Gorno-Altaisk State University
Email: e-popova-08@mail.ru
ORCID iD: 0000-0002-4241-3669
SPIN-code: 3102-5599
Cand. Sci. (Biology);
Russian Federation, Gorno-AltaiskNikolay A. Kulemin
Lopukhin Federal Research and Clinical Center of Physical-Chemical Medicine
Email: maveriksvao@gmail.com
ORCID iD: 0000-0002-8588-3206
SPIN-code: 5926-6356
Cand. Sci. (Biology)
Russian Federation, MoscowReferences
- Leskova IV, Ershova EV, Nikitina EA, et al. Obesity in Russia: modern view in the light of a social problems. Obesity and Metabolism. 2019;16(1):20–26. EDN: KDEROH doi: 10.14341/omet9988
- Who.int [Internet]. World Health Organization Global Health Observatory data repository. Prevalence of obesity among adults, BMI ≥30, age-standardized. Estimates by country. [updated 2017 Sep 22; cited 2019 Jan 28]. Available from: http://apps.who.int/gho/data/node.main.A900A?lang=en
- Perdomo CM, Cohen RV, Sumithran P, et al. Contemporary medical, device, and surgical therapies for obesity in adults. Lancet. 2023;401(10382):1116–1130. doi: 10.1016/S0140-6736(22)02403-5
- Temple NJ. A proposed strategy against obesity: how government policy can counter the obesogenic environment. Nutrients. 2023;15(13):2910. doi: 10.3390/nu15132910
- Pfisterer J, Rausch C, Wohlfarth D, et al. Effectiveness of physical-activity-based interventions targeting overweight and obesity among university students — а systematic review. International Journal of Environmental Research and Public Health. 2022;19(15):9427. doi: 10.3390/ijerph19159427
- Oliveira MC, Ferreira AVM. The Intervention of diet on energy metabolism. Nutrients. 2023;15(11):2544. doi: 10.3390/nu15112544
- Sonestedt E, Roos C, Gullberg B, et al. Fat and carbohydrate intake modify the association between genetic variation in the FTO genotype and obesity. Am. J. Clin. Nutr. 2009;90(5):1418–1425. doi: 10.3945/ajcn.2009.27958
- Yang Z, Yu GL, Zhu X, et al. Critical roles of FTO-mediated mRNA m6A demethylation in regulating adipogenesis and lipid metabolism: Implications in lipid metabolic disorders. Genes Dis. 2021;9(1):51–61. doi: 10.1016/j.gendis.2021.01.005
- Najd-Hassan-Bonab L, Safarpour M, Moazzam-Jazi M, et al. The role of FTO variant rs1421085 in the relationship with obesity: a systematic review and meta-analysis. Eat Weight Disord. 2022;27(8):3053–3062. doi: 10.1007/s40519-022-01509-0
- Calderón-García JF, Roncero-Martín R, Rico-Martín S, et al. Effectiveness of body roundness index (BRI) and a body shape index (ABSI) in predicting hypertension: a systematic review and meta-analysis of observational studies. International Journal of Environmental Research and Public Health. 2021;18(21):11607. doi: 10.3390/ijerph182111607
- Zhang A, Li Y, Ma S, et al. Conicity-index predicts all-cause mortality in Chinese older people: a 10-year community follow-up. BMC Geriatrics. 2022;22(1):971. doi: 10.1186/s12877-022-03664-6
- Tewari A, Kumar G, Maheshwari A, et al. Comparative evaluation of waist-to-height ratio and BMI in predicting adverse cardiovascular outcome in people with diabetes: a systematic review. Cureus. 2023;15(5):e38801. doi: 10.7759/cureus.38801
- Wang S, Shi S, Huang Y, et al. Severity of abdominal obesity and cardiometabolic diseases in US adults. Public Health. 2024;227:154–162. doi: 10.1016/j.puhe.2023.12.010
- Daya M, Pujianto DA, Witjaksono F, et al. Obesity risk and preference for high dietary fat intake are determined by FTO rs9939609 gene polymorphism in selected Indonesian adults. Asia Pacific Journal of Clinical Nutrition. 2019;28(1):183–191. doi: 10.6133/apjcn.201903_28(1).0024
- Chermon D, Birk R. FTO common obesity SNPs interact with actionable environmental factors: physical activity, sugar-sweetened beverages and wine consumption. Nutrients. 2022;14(19):4202. doi: 10.3390/nu14194202
- He H, Cao WT, Zeng YH, et al. Lack of associations between the FTO polymorphisms and gestational diabetes: a meta-analysis and trial sequential analysis. Gene. 2018;677:169–175. doi: 10.1016/j.gene.2018.07.064
- Livingstone KM, Brayner B, Celis-Morales C, et al. Associations between dietary patterns, FTO genotype and obesity in adults from seven European countries. European Journal of Nutrition. 2022;61(6):2953–2965. doi: 10.1007/s00394-022-02858-3
- Garousi N, Tamizifar B, Pourmasoumi M, et al. Effects of lacto-ovo-vegetarian diet vs. standard-weight-loss diet on obese and overweight adults with non-alcoholic fatty liver disease: a randomised clinical trial. Archives of Physiology and Biochemistry. 2023;129(4):975–983. doi: 10.1080/13813455.2021.1890128
- Brandt C, Pedersen BK. Physical activity, obesity and weight loss maintenance. Handbook of Experimental Pharmacology. 2022;274:349–369. doi: 10.1007/164_2021_575
Supplementary files







